



Abstract:The interaction between humans and AI in safety-critical systems presents a unique set of challenges that remain partially addressed by existing frameworks. These challenges stem from the complex interplay of requirements for transparency, trust, and explainability, coupled with the necessity for robust and safe decision-making. A framework that holistically integrates human and AI capabilities while addressing these concerns is notably required, bridging the critical gaps in designing, deploying, and maintaining safe and effective systems. This paper proposes a holistic conceptual framework for critical infrastructures by adopting an interdisciplinary approach. It integrates traditionally distinct fields such as mathematics, decision theory, computer science, philosophy, psychology, and cognitive engineering and draws on specialized engineering domains, particularly energy, mobility, and aeronautics. The flexibility in its adoption is also demonstrated through its instantiation on an already existing framework.
Abstract:The rising proportion of renewable energy in the electricity mix introduces significant operational challenges for power grid operators. Effective power grid management demands adaptive decision-making strategies capable of handling dynamic conditions. With the increase in complexity, more and more Deep Learning (DL) approaches have been proposed to find suitable grid topologies for congestion management. In this work, we contribute to this research by introducing a novel Imitation Learning (IL) approach that leverages soft labels derived from simulated topological action outcomes, thereby capturing multiple viable actions per state. Unlike traditional IL methods that rely on hard labels to enforce a single optimal action, our method constructs soft labels over actions, by leveraging effective actions that prove suitable in resolving grid congestion. To further enhance decision-making, we integrate Graph Neural Networks (GNNs) to encode the structural properties of power grids, ensuring that the topology-aware representations contribute to better agent performance. Our approach significantly outperforms state-of-the-art baselines, all of which use only topological actions, as well as feedforward and GNN-based architectures with hard labels. Most notably, it achieves a 17% better performance compared to the greedy expert agent from which the imitation targets were derived.
Abstract:Power grid operation is becoming more complex due to the increase in generation of renewable energy. The recent series of Learning To Run a Power Network (L2RPN) competitions have encouraged the use of artificial agents to assist human dispatchers in operating power grids. However, the combinatorial nature of the action space poses a challenge to both conventional optimizers and learned controllers. Action space factorization, which breaks down decision-making into smaller sub-tasks, is one approach to tackle the curse of dimensionality. In this study, we propose a centrally coordinated multi-agent (CCMA) architecture for action space factorization. In this approach, regional agents propose actions and subsequently a coordinating agent selects the final action. We investigate several implementations of the CCMA architecture, and benchmark in different experimental settings against various L2RPN baseline approaches. The CCMA architecture exhibits higher sample efficiency and superior final performance than the baseline approaches. The results suggest high potential of the CCMA approach for further application in higher-dimensional L2RPN as well as real-world power grid settings.




Abstract:The energy transition necessitates new congestion management methods. One such method is controlling the grid topology with machine learning (ML). This approach has gained popularity following the Learning to Run a Power Network (L2RPN) competitions. Graph neural networks (GNNs) are a class of ML models that reflect graph structure in their computation, which makes them suitable for power grid modeling. Various GNN approaches for topology control have thus been proposed. We propose the first GNN model for grid topology control that uses only GNN layers. Additionally, we identify the busbar information asymmetry problem that the popular homogeneous graph representation suffers from, and propose a heterogeneous graph representation to resolve it. We train both homogeneous and heterogeneous GNNs and fully connected neural networks (FCNN) baselines on an imitation learning task. We evaluate the models according to their classification accuracy and grid operation ability. We find that the heterogeneous GNNs perform best on in-distribution networks, followed by the FCNNs, and lastly, the homogeneous GNNs. We also find that both GNN types generalize better to out-of-distribution networks than FCNNs.
Abstract:Power grid operation is becoming increasingly complex due to the increase in generation of renewable energy. The recent series of Learning To Run a Power Network (L2RPN) competitions have encouraged the use of artificial agents to assist human dispatchers in operating power grids. In this paper we study the performance of imitation learning for day-ahead power grid operation through topology actions. In particular, we consider two rule-based expert agents: a greedy agent and a N-1 agent. While the latter is more computationally expensive since it takes N-1 safety considerations into account, it exhibits a much higher operational performance. We train a fully-connected neural network (FCNN) on expert state-action pairs and evaluate it in two ways. First, we find that classification accuracy is limited despite extensive hyperparameter tuning, due to class imbalance and class overlap. Second, as a power system agent, the FCNN performs only slightly worse than expert agents. Furthermore, hybrid agents, which incorporate minimal additional simulations, match expert agents' performance with significantly lower computational cost. Consequently, imitation learning shows promise for developing fast, high-performing power grid agents, motivating its further exploration in future L2RPN studies.




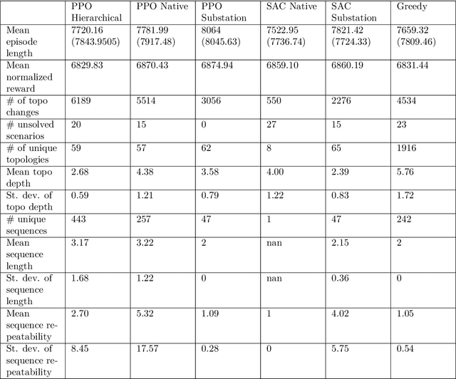
Abstract:Learning in high-dimensional action spaces is a key challenge in applying reinforcement learning (RL) to real-world systems. In this paper, we study the possibility of controlling power networks using RL methods. Power networks are critical infrastructures that are complex to control. In particular, the combinatorial nature of the action space poses a challenge to both conventional optimizers and learned controllers. Hierarchical reinforcement learning (HRL) represents one approach to address this challenge. More precisely, a HRL framework for power network topology control is proposed. The HRL framework consists of three levels of action abstraction. At the highest level, there is the overall long-term task of power network operation, namely, keeping the power grid state within security constraints at all times, which is decomposed into two temporally extended actions: 'do nothing' versus 'propose a topology change'. At the intermediate level, the action space consists of all controllable substations. Finally, at the lowest level, the action space consists of all configurations of the chosen substation. By employing this HRL framework, several hierarchical power network agents are trained for the IEEE 14-bus network. Whereas at the highest level a purely rule-based policy is still chosen for all agents in this study, at the intermediate level the policy is trained using different state-of-the-art RL algorithms. At the lowest level, either an RL algorithm or a greedy algorithm is used. The performance of the different 3-level agents is compared with standard baseline (RL or greedy) approaches. A key finding is that the 3-level agent that employs RL both at the intermediate and the lowest level outperforms all other agents on the most difficult task. Our code is publicly available.




Abstract:The operation of electricity grids has become increasingly complex due to the current upheaval and the increase in renewable energy production. As a consequence, active grid management is reaching its limits with conventional approaches. In the context of the Learning to Run a Power Network challenge, it has been shown that Reinforcement Learning (RL) is an efficient and reliable approach with considerable potential for automatic grid operation. In this article, we analyse the submitted agent from Binbinchen and provide novel strategies to improve the agent, both for the RL and the rule-based approach. The main improvement is a N-1 strategy, where we consider topology actions that keep the grid stable, even if one line is disconnected. More, we also propose a topology reversion to the original grid, which proved to be beneficial. The improvements are tested against reference approaches on the challenge test sets and are able to increase the performance of the rule-based agent by 27%. In direct comparison between rule-based and RL agent we find similar performance. However, the RL agent has a clear computational advantage. We also analyse the behaviour in an exemplary case in more detail to provide additional insights. Here, we observe that through the N-1 strategy, the actions of the agents become more diversified.




Abstract:Power networks, responsible for transporting electricity across large geographical regions, are complex infrastructures on which modern life critically depend. Variations in demand and production profiles, with increasing renewable energy integration, as well as the high voltage network technology, constitute a real challenge for human operators when optimizing electricity transportation while avoiding blackouts. Motivated to investigate the potential of Artificial Intelligence methods in enabling adaptability in power network operation, we have designed a L2RPN challenge to encourage the development of reinforcement learning solutions to key problems present in the next-generation power networks. The NeurIPS 2020 competition was well received by the international community attracting over 300 participants worldwide. The main contribution of this challenge is our proposed comprehensive Grid2Op framework, and associated benchmark, which plays realistic sequential network operations scenarios. The framework is open-sourced and easily re-usable to define new environments with its companion GridAlive ecosystem. It relies on existing non-linear physical simulators and let us create a series of perturbations and challenges that are representative of two important problems: a) the uncertainty resulting from the increased use of unpredictable renewable energy sources, and b) the robustness required with contingent line disconnections. In this paper, we provide details about the competition highlights. We present the benchmark suite and analyse the winning solutions of the challenge, observing one super-human performance demonstration by the best agent. We propose our organizational insights for a successful competition and conclude on open research avenues. We expect our work will foster research to create more sustainable solutions for power network operations.




Abstract:System operators are faced with increasingly volatile operating conditions. In order to manage system reliability in a cost-effective manner, control room operators are turning to computerised decision support tools based on AI and machine learning. Specifically, Reinforcement Learning (RL) is a promising technique to train agents that suggest grid control actions to operators. In this paper, a simple baseline approach is presented using RL to represent an artificial control room operator that can operate a IEEE 14-bus test case for a duration of 1 week. This agent takes topological switching actions to control power flows on the grid, and is trained on only a single well-chosen scenario. The behaviour of this agent is tested on different time-series of generation and demand, demonstrating its ability to operate the grid successfully in 965 out of 1000 scenarios. The type and variability of topologies suggested by the agent are analysed across the test scenarios, demonstrating efficient and diverse agent behaviour.