



Abstract:AI assistants are being increasingly used by students enrolled in higher education institutions. While these tools provide opportunities for improved teaching and education, they also pose significant challenges for assessment and learning outcomes. We conceptualize these challenges through the lens of vulnerability, the potential for university assessments and learning outcomes to be impacted by student use of generative AI. We investigate the potential scale of this vulnerability by measuring the degree to which AI assistants can complete assessment questions in standard university-level STEM courses. Specifically, we compile a novel dataset of textual assessment questions from 50 courses at EPFL and evaluate whether two AI assistants, GPT-3.5 and GPT-4 can adequately answer these questions. We use eight prompting strategies to produce responses and find that GPT-4 answers an average of 65.8% of questions correctly, and can even produce the correct answer across at least one prompting strategy for 85.1% of questions. When grouping courses in our dataset by degree program, these systems already pass non-project assessments of large numbers of core courses in various degree programs, posing risks to higher education accreditation that will be amplified as these models improve. Our results call for revising program-level assessment design in higher education in light of advances in generative AI.
Abstract:In this paper, we study sampling from a posterior derived from a neural network. We propose a new probabilistic model consisting of adding noise at every pre- and post-activation in the network, arguing that the resulting posterior can be sampled using an efficient Gibbs sampler. The Gibbs sampler attains similar performances as the state-of-the-art Monte Carlo Markov chain methods, such as the Hamiltonian Monte Carlo or the Metropolis adjusted Langevin algorithm, both on real and synthetic data. By framing our analysis in the teacher-student setting, we introduce a thermalization criterion that allows us to detect when an algorithm, when run on data with synthetic labels, fails to sample from the posterior. The criterion is based on the fact that in the teacher-student setting we can initialize an algorithm directly at equilibrium.




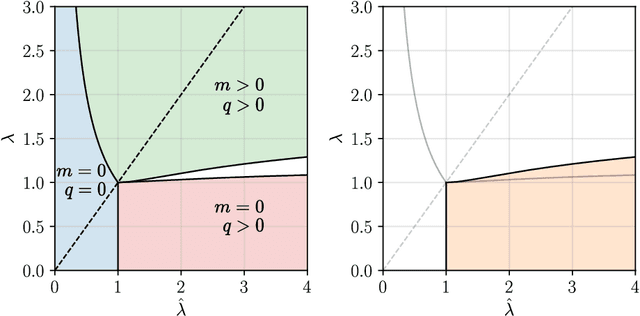
Abstract:In this paper we study a fully connected planted spin glass named the planted XY model. Motivation for studying this system comes both from the spin glass field and the one of statistical inference where it models the angular synchronization problem. We derive the replica symmetric (RS) phase diagram in the temperature, ferromagnetic bias plane using the approximate message passing (AMP) algorithm and its state evolution (SE). While the RS predictions are exact on the Nishimori line (i.e. when the temperature is matched to the ferromagnetic bias), they become inaccurate when the parameters are mismatched, giving rise to a spin glass phase where AMP is not able to converge. To overcome the defects of the RS approximation we carry out a one-step replica symmetry breaking (1RSB) analysis based on the approximate survey propagation (ASP) algorithm. Exploiting the state evolution of ASP, we count the number of metastable states in the measure, derive the 1RSB free entropy and find the behavior of the Parisi parameter throughout the spin glass phase.