



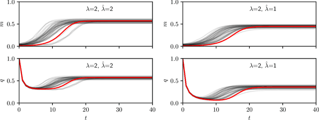
In this paper we study a fully connected planted spin glass named the planted XY model. Motivation for studying this system comes both from the spin glass field and the one of statistical inference where it models the angular synchronization problem. We derive the replica symmetric (RS) phase diagram in the temperature, ferromagnetic bias plane using the approximate message passing (AMP) algorithm and its state evolution (SE). While the RS predictions are exact on the Nishimori line (i.e. when the temperature is matched to the ferromagnetic bias), they become inaccurate when the parameters are mismatched, giving rise to a spin glass phase where AMP is not able to converge. To overcome the defects of the RS approximation we carry out a one-step replica symmetry breaking (1RSB) analysis based on the approximate survey propagation (ASP) algorithm. Exploiting the state evolution of ASP, we count the number of metastable states in the measure, derive the 1RSB free entropy and find the behavior of the Parisi parameter throughout the spin glass phase.