Abstract:In MIMO systems, the presence of phase noise is a significant factor that can degrade performance. For MIMO testbeds build from SDR devices, phase noise cannot be ignored, particular in applications that require phase synchronization. This is especially relevant in MIMO systems that employ digital beamforming, where precise phase alignment is crucial. Accordingly, accurate phase noise modelling of SDR devices is essential. However, the information provided in data sheets for different SDR models varies widely and is often insufficient for comprehensive characterization of their phase noise performance. While numerical simulations of PLL phase noise behavior are documented in the literature, there is a lack of extensive measurements supported by appropriate system modelling. In this work, we present a practical phase noise modeling methodology applied to an SDR from the USRP X310 series. Based on measurement data, we derive estimates of key PLL performance indicators such as cycle-to-cycle jitter, oscillator constants, and PLL bandwidth. Furthermore, we propose a parametric model for the phase noise PSD of the PLL circuit and provide corresponding parameter estimates. This model can be used for further investigation into the impact of phase noise on MIMO system performance implemented by similar SDR devices.




Abstract:In this work, we utilize a Gaussian mixture model (GMM) to capture the underlying probability density function (PDF) of the channel trajectories of moving mobile terminals (MTs) within the coverage area of a base station (BS) in an offline phase. We propose to leverage the same GMM for channel prediction in the online phase. Our proposed approach does not require signal-to-noise ratio (SNR)-specific training and allows for parallelization. Numerical simulations for both synthetic and measured channel data demonstrate the effectiveness of our proposed GMM-based channel predictor compared to state-ofthe-art channel prediction methods.
Abstract:The 3rd Generation Partnership Project (3GPP) is currently studying machine learning (ML) for the fifth generation (5G)-Advanced New Radio (NR) air interface, where spatial and temporal-domain beam prediction are important use cases. With this background, this letter presents a low-complexity ML design that expedites the spatial-domain beam prediction to reduce the power consumption and the reference signaling overhead, which are currently imperative for frequent beam measurements. Complexity analysis and evaluation results showcase that the proposed model achieves state-of-the-art accuracy with lower computational complexity, resulting in reduced power consumption and faster beam prediction. Furthermore, important observations on the generalization of the proposed model are presented in this letter.




Abstract:The increasing relevance of resilience in wireless connectivity for Industry 4.0 stems from the growing complexity and interconnectivity of industrial systems, where a single point of failure can disrupt the entire network, leading to significant downtime and productivity losses. It is thus essential to constantly monitor the network and identify any anomaly such as a jammer. Hereby, technologies envisioned to be integrated in 6G, in particular joint communications and sensing (JCAS) and accurate indoor positioning of transmitters, open up the possibility to build a digital twin (DT) of the radio environment. This paper proposes a new approach for anomaly detection in wireless networks enabled by such a DT which allows to integrate contextual information on the network in the anomaly detection procedure. The basic approach is thereby to compare expected received signal strengths (RSSs) from the DT with measurements done by distributed sensing units (SUs). Employing simulations, different algorithms are compared regarding their ability to infer from the comparison on the presence or absence of an anomaly, particular a jammer. Overall, the feasibility of anomaly detection using the proposed approach is demonstrated which integrates in the ongoing research on employing DTs for comprehensive monitoring of wireless networks.




Abstract:The projected sub-THz (100 - 300 GHz) part of the upcoming 6G standard will require a careful design of the waveform and choice of slot structure. Not only that the design of the physical layer for 6G will be driven by ambitious system performance requirements, but also hardware limitations, specific to sub-THz frequencies, pose a fundamental design constraint for the waveform. In this contribution, general guidelines for the waveform design are given, together with a non-exhaustive list of exemplary waveforms that can be used to meet the design requirements.




Abstract:As cellular networks evolve towards the 6th Generation (6G), Machine Learning (ML) is seen as a key enabling technology to improve the capabilities of the network. ML provides a methodology for predictive systems, which, in turn, can make networks become proactive. This proactive behavior of the network can be leveraged to sustain, for example, a specific Quality of Service (QoS) requirement. With predictive Quality of Service (pQoS), a wide variety of new use cases, both safety- and entertainment-related, are emerging, especially in the automotive sector. Therefore, in this work, we consider maximum throughput prediction enhancing, for example, streaming or HD mapping applications. We discuss the entire ML workflow highlighting less regarded aspects such as the detailed sampling procedures, the in-depth analysis of the dataset characteristics, the effects of splits in the provided results, and the data availability. Reliable ML models need to face a lot of challenges during their lifecycle. We highlight how confidence can be built on ML technologies by better understanding the underlying characteristics of the collected data. We discuss feature engineering and the effects of different splits for the training processes, showcasing that random splits might overestimate performance by more than twofold. Moreover, we investigate diverse sets of input features, where network information proved to be most effective, cutting the error by half. Part of our contribution is the validation of multiple ML models within diverse scenarios. We also use Explainable AI (XAI) to show that ML can learn underlying principles of wireless networks without being explicitly programmed. Our data is collected from a deployed network that was under full control of the measurement team and covered different vehicular scenarios and radio environments.




Abstract:This paper presents two wireless measurement campaigns in industrial testbeds: industrial Vehicle-to-vehicle (iV2V) and industrial Vehicle-to-infrastructure plus Sensor (iV2I+). Detailed information about the two captured datasets is provided as well. iV2V covers sidelink communication scenarios between Automated Guided Vehicles (AGVs), while iV2I+ is conducted at an industrial setting where an autonomous cleaning robot is connected to a private cellular network. The combination of different communication technologies, together with a common measurement methodology, provides insights that can be exploited by Machine Learning (ML) for tasks such as fingerprinting, line-of-sight detection, prediction of quality of service or link selection. Moreover, the datasets are labelled and pre-filtered for fast on-boarding and applicability. The corresponding testbeds and measurements are also presented in detail for both datasets.
Abstract:The evolution of wireless communications into 6G and beyond is expected to rely on new machine learning (ML)-based capabilities. These can enable proactive decisions and actions from wireless-network components to sustain quality-of-service (QoS) and user experience. Moreover, new use cases in the area of vehicular and industrial communications will emerge. Specifically in the area of vehicle communication, vehicle-to-everything (V2X) schemes will benefit strongly from such advances. With this in mind, we have conducted a detailed measurement campaign with the purpose of enabling a plethora of diverse ML-based studies. The resulting datasets offer GPS-located wireless measurements across diverse urban environments for both cellular (with two different operators) and sidelink radio access technologies, thus enabling a variety of different studies towards V2X. The datasets are labeled and sampled with a high time resolution. Furthermore, we make the data publicly available with all the necessary information to support the on-boarding of new researchers. We provide an initial analysis of the data showing some of the challenges that ML needs to overcome and the features that ML can leverage, as well as some hints at potential research studies.




Abstract:Long Range (LoRa) has become a key enabler technology for low power wide area networks. However, due to its ALOHA-based medium access scheme, LoRa has to cope with collisions that limit the capacity and network scalability. Collisions between randomly overlapped signals modulated with different spreading factors (SFs) result in inter-SF interference, which increases the packet loss likelihood when signal-to-interference ratio (SIR) is low. This issue cannot be resolved by channel coding since the probability of error distance is not concentrated around the adjacent symbol. In this paper, we analytically model this interference, and propose an interference cancellation method based on the idea of segmentation of the received signal. This scheme has three steps. First, the SF of the interference signal is identified, then the equivalent data symbol and complex amplitude of the interference are estimated. Finally, the estimated interference signal is subtracted from the received signal before demodulation. Unlike conventional serial interference cancellation (SIC), this scheme can directly estimate and reconstruct the non-aligned inter-SF interference without synchronization. Simulation results show that the proposed method can significantly reduce the symbol error rate (SER) under low SIR compared with the conventional demodulation. Moreover, it also shows high robustness to fractional sample timing offset (STO) and carrier frequency offset (CFO) of interference. The presented results clearly show the effectiveness of the proposed method in terms of the SER performance.




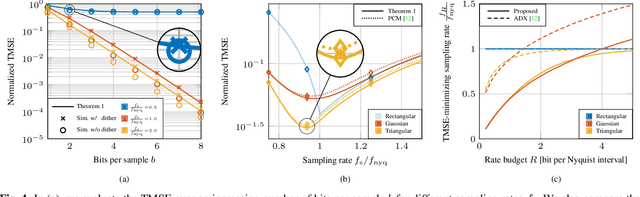
Abstract:In this work, we consider the acquisition of stationary signals using uniform analog-to-digital converters (ADCs), i.e., employing uniform sampling and scalar uniform quantization. We jointly optimize the pre-sampling and reconstruction filters to minimize the time-averaged mean-squared error (TMSE) in recovering the continuous-time input signal for a fixed sampling rate and quantizer resolution and obtain closed-form expressions for the minimal achievable TMSE. We show that the TMSE-minimizing pre-sampling filter omits aliasing and discards weak frequency components to resolve the remaining ones with higher resolution when the rate budget is small. In our numerical study, we validate our results and show that sub-Nyquist sampling often minimizes the TMSE under tight rate budgets at the output of the ADC.