Technical University of Munich




Abstract:Robust precoding is efficiently feasible in frequency division duplex (FDD) systems by incorporating the learnt statistics of the propagation environment through a generative model. We build on previous work that successfully designed site-specific precoders based on a combination of Gaussian mixture models (GMMs) and graph neural networks (GNNs). In this paper, by utilizing a vector quantized-variational autoencoder (VQ-VAE), we circumvent one of the key drawbacks of GMMs, i.e., the number of GMM components scales exponentially to the feedback bits. In addition, the deep learning architecture of the VQ-VAE allows us to jointly train the GNN together with VQ-VAE along with pilot optimization forming an end-to-end (E2E) model, resulting in considerable performance gains in sum rate for multi-user wireless systems. Simulations demonstrate the superiority of the proposed frameworks over the conventional methods involving the sub-discrete Fourier transform (DFT) pilot matrix and iterative precoder algorithms enabling the deployment of systems characterized by fewer pilots or feedback bits.
Abstract:Reconfigurable intelligent surface (RIS) is a promising technology for future wireless communication systems. However, the conventional RIS can only reflect the incident signal. Hence, it provides a limited coverage, as compared to a simultaneously transmitting and reflecting RIS (STAR-RIS). Prior works on the STAR-RIS address the power minimisation or the sum-rate maximisation problem by reformulating the objective problem as a convex optimisation problem and then employing numerical tools like CVX to obtain the solution, which introduces significant computational complexity leading to a huge runtime, making the algorithms impractical for real-world implementation. In this paper, we propose a low complexity solution for the optimisation of a multi-user STAR-RIS system, where the non-convex optimisation problem is decomposed into multiple convex sub-problems with closed-form optimal solutions. The simulation results illustrate that our proposed algorithm achieves similar performance to CVX-based solutions in the literature while being computationally efficient.
Abstract:This letter proposes a graph neural network (GNN)-based framework for statistical precoder design that leverages model-based insights to compactly represent statistical knowledge, resulting in efficient, lightweight architectures. The framework also supports approximate statistical information in frequency division duplex (FDD) systems obtained through a Gaussian mixture model (GMM)-based limited feedback scheme in massive multiple-input multiple-output (MIMO) systems with low pilot overhead. Simulations using a spatial channel model and measurement data demonstrate the effectiveness of the proposed framework. It outperforms baseline methods, including stochastic iterative algorithms and Discrete Fourier transform (DFT) codebook-based approaches, particularly in low pilot overhead systems.
Abstract:We propose decoupling networks for the reconfigurable intelligent surface (RIS) array as a solution to benefit from the mutual coupling between the reflecting elements. In particular, we show that when incorporating these networks, the system model reduces to the same structure as if no mutual coupling is present. Hence, all algorithms and theoretical discussions neglecting mutual coupling can be directly applied when mutual coupling is present by utilizing our proposed decoupling networks. For example, by including decoupling networks, the channel gain maximization in RIS-aided single-input single-output (SISO) systems does not require an iterative algorithm but is given in closed form as opposed to using no decoupling network. In addition, this closed-form solution allows to analytically analyze scenarios under mutual coupling resulting in novel connections to the conventional transmit array gain. In particular, we show that super-quadratic (up to quartic) channel gains w.r.t. the number of RIS elements are possible and, therefore, the system with mutual coupling performs significantly better than the conventional uncoupled system in which only squared gains are possible. We consider diagonal as well as beyond diagonal (BD)-RISs and give various analytical and numerical results, including the inevitable losses at the RIS array. In addition, simulation results validate the superior performance of decoupling networks w.r.t. the channel gain compared to other state-of-the-art methods.




Abstract:In this work, we propose an approach to robust precoder design based on a minorization maximization technique that optimizes a surrogate function of the achievable spectral efficiency. The presented method accounts for channel estimation errors during the optimization process and is, hence, robust in the case of imperfect channel state information (CSI). Additionally, the design method is adapted such that the need for a line search to satisfy the power constraint is eliminated, that significantly accelerates the precoder computation. Simulation results demonstrate that the proposed robust precoding method is competitive with weighted minimum mean square error (WMMSE) precoding, in particular, under imperfect CSI scenarios.
Abstract:In this work, we propose a low-cost rate splitting (RS) technique for a multi-user multiple-input single-output (MISO) system operating in frequency division duplex (FDD) mode. The proposed iterative optimisation algorithm only depends on the second-order statistical channel knowledge and the pilot training matrix. Additionally, it offers a closed-form solution in each update step. This reduces the design complexity of the system drastically as we only need to optimise the precoding filters in every coherence interval of the covariance matrices, instead of doing that in every channel state information (CSI) coherence interval. Moreover, since the algorithm is based on closed-form solutions, there is no need for interior point solvers like CVX, which are typically required in most state-of-the-art techniques.




Abstract:Rate splitting multiple access (RSMA) and reconfigurable intelligent surface (RIS) are two prospective technologies for improving the spectral and energy efficiency in future wireless communication systems. In this work, we investigate a rate splitting (RS) technique for an RIS-aided system in the presence of only statistical channel knowledge. We propose an algorithm with a quasi closed-form solution based only on the second-order channel statistics, which reduces the design complexity of the system as it does not require estimation of the channel state information (CSI) and optimisation of the precoding filters and phase shifts of the RIS in every channel coherence interval.


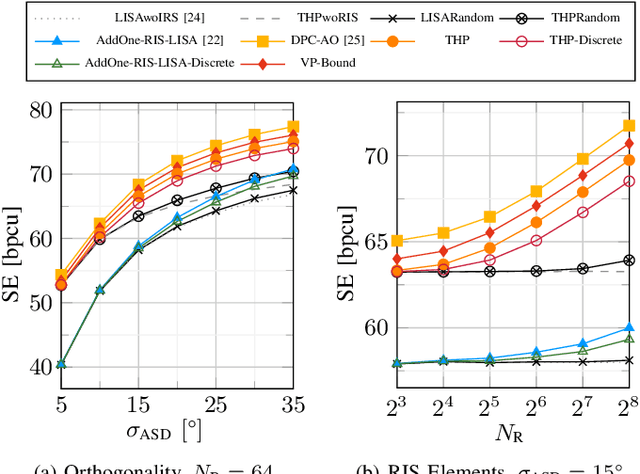
Abstract:We propose to use Tomlinson-Harashima Precoding (THP) for the reconfigurable intelligent surface (RIS)-aided multiple-input multiple-output (MIMO) broadcast channel where we assume a line of sight (LOS) connection between the base station (BS) and the RIS. In this scenario, nonlinear precoding, like THP or dirty paper coding (DPC), has certain advantages compared to linear precoding as it is more robust in case the BS-RIS channel is not orthogonal to the direct channel. Additionally, THP and DPC allow a simple phase shift optimization which is in strong contrast to linear precoding for which the solution is quite intricate. Besides being difficult to optimize, it can be shown that linear precoding has fundamental limitations for statistical and random phase shifts which do not hold for nonlinear precoding. Moreover, we show that the advantages of THP/DPC are especially pronounced for discrete phase shifts.
Abstract:In this work, we propose a Gaussian mixture model (GMM)-based pilot design scheme for downlink (DL) channel estimation in single- and multi-user multiple-input multiple-output (MIMO) frequency division duplex (FDD) systems. In an initial offline phase, the GMM captures prior information during training, which is then utilized for pilot design. In the single-user case, the GMM is utilized to construct a codebook of pilot matrices and, once shared with the mobile terminal (MT), can be employed to determine a feedback index at the MT. This index selects a pilot matrix from the constructed codebook, eliminating the need for online pilot optimization. We further establish a sum conditional mutual information (CMI)-based pilot optimization framework for multi-user MIMO (MU-MIMO) systems. Based on the established framework, we utilize the GMM for pilot matrix design in MU-MIMO systems. The analytic representation of the GMM enables the adaptation to any signal-to-noise ratio (SNR) level and pilot configuration without re-training. Additionally, an adaption to any number of MTs is facilitated. Extensive simulations demonstrate the superior performance of the proposed pilot design scheme compared to state-of-the-art approaches. The performance gains can be exploited, e.g., to deploy systems with fewer pilots.



Abstract:We compare dirty paper coding (DPC) and linear precoding methods in a reconfigurable intelligent surface (RIS)- aided high-signal-to-noise ratio (SNR) scenario, where the channel between the base station (BS) and the RIS is dominated by a line-of-sight (LOS) component. Furthermore, we consider two groups of users where one group can be efficiently served by the BS, whereas the other one has a negligible direct channel and has to be served via the RIS. These considerations allow us to analytically show fundamental differences between DPC and linear methods. In particular, our analysis addresses two essential aspects, i.e., the orthogonality of the BS-RIS channel with the direct channel and an interference term that is present only for linear precoding techniques. The interference term leads to strong limitations for the linear method, especially for random or statistical phase shifts. Moreover, we discuss under which circumstances this interference term is negligible and in which scenarios DPC and linear precoding lead to the same performance.