



Abstract:The explosive growth of teletraffic, fueled by the convergence of cyber-physical systems and data-intensive applications, such as the Internet of Things (IoT), autonomous systems, and immersive communications, demands a multidisciplinary suite of innovative solutions across the physical and network layers. Fluid antenna systems (FAS) represent a transformative advancement in antenna design, offering enhanced spatial degrees of freedom through dynamic reconfigurability. By exploiting spatial flexibility, FAS can adapt to varying channel conditions and optimize wireless performance, making it a highly promising candidate for next-generation communication networks. This paper provides a comprehensive survey of the state of the art in FAS research. We begin by examining key application scenarios in which FAS offers significant advantages. We then present the fundamental principles of FAS, covering channel measurement and modeling, single-user configurations, and the multi-user fluid antenna multiple access (FAMA) framework. Following this, we delve into key network-layer techniques such as quality-of-service (QoS) provisioning, power allocation, and content placement strategies. We conclude by identifying prevailing challenges and outlining future research directions to support the continued development of FAS in next-generation wireless networks.
Abstract:This letter investigates the performance of emerging wireless communication systems assisted by a fluid reconfigurable intelligent surface (FRIS). Unlike conventional reconfigurable intelligent surfaces (RISs), an FRIS consists of fluid-inspired metamaterials arranged in a densely packed matrix of sub-elements over a surface. It dynamically activates specific elements for signal reflection and modulation based on real-time channel conditions. Considering a downlink scenario where a base station communicates with a user terminal via a FRIS, we first characterize the statistical behavior of the equivalent end-to-end channel by deriving closed-form approximations for its cumulative distribution and probability density functions. Using these expressions, an analytical approximation for the outage probability and a tight upper bound on the ergodic capacity, including their asymptotic behaviors for high signal-to-noise ratio values, are derived. Our findings reveal key performance trends demonstrating that FRIS can substantially improve link reliability and spectral efficiency compared to conventional RISs, owing to its capability to dynamically select optimal elements from a dense preconfigured grid.
Abstract:This letter introduces the concept of fluid integrated reflecting and emitting surface (FIRES), which constitutes a new paradigm seamlessly integrating the flexibility of fluid-antenna systems (FASs) with the dual functionality of simultaneous transmitting and reflecting reconfigurable intelligent surfaces (STAR-RISs). The potential of the proposed metasurface structure is studied though an FIRES-enabled multicast system based on the energy splitting protocol. In this model, the FIRES is divided into non-overlapping subareas, each functioning as a 'fluid' element capable of concurrent reflection and transmission and changing its position of radiation within the subarea. In particular, we formulate an optimization problem for the design of the triple tunable features of the surface unit elements, which is solved via a tailored particle swarm optimization approach. Our results showcase that the proposed FIRES architecture significantly outperforms its conventional STAR-RIS counterpart.
Abstract:This letter studies the impact of fluid antenna system (FAS) technology on the performance of unmanned aerial vehicle (UAV)-assisted multiuser communication networks. Specifically, we consider a scenario where a fixed-position antenna (FPA) base station (BS) serves K FAS-equipped users with the assistance of a UAV acting as an aerial relay. The BS employs rate-splitting multiple access (RSMA), while the UAV operates in half-duplex (HD) mode using the decode-and-forward (DF) strategy. For this system, we derive a compact analytical expression for the outage probability (OP) and its asymptotic behavior in the high signal-to-noise ratio (SNR) regime, leveraging the multivariate t-distribution. Our results show how deploying FAS at ground users (GUs) in UAV-aided communications improves overall system performance compared to using FPA GUs.




Abstract:This paper considers communication between a base station (BS) to two users, each from one side of a simultaneously transmitting-reflecting reconfigurable intelligent surface (STAR-RIS) in the absence of a direct link. Rate-splitting multiple access (RSMA) strategy is employed and the STAR-RIS is subjected to phase errors. The users are equipped with a planar fluid antenna system (FAS) with position reconfigurability for spatial diversity. First, we derive the distribution of the equivalent channel gain at the FAS-equipped users, characterized by a t-distribution. We then obtain analytical expressions for the outage probability (OP) and average capacity (AC), with the latter obtained via a heuristic approach. Our findings highlight the potential of FAS to mitigate phase imperfections in STAR-RIS-assisted communications, significantly enhancing system performance compared to traditional antenna systems (TAS). Also, we quantify the impact of practical phase errors on system efficiency, emphasizing the importance of robust strategies for next-generation wireless networks.



Abstract:This paper investigates the impact of deploying the fluid antenna system (FAS) on the performance of covert communications. In particular, we focus on a scenario where a transmitter seeks to covertly communicate with a receiver, while a warden attempts to detect the transmission. Both the receiver and the warden are assumed to utilize planar FAS. We derive compact analytical expressions for the covertness outage probability (COP), defined as the complement of the sum of false alarm (FA) and missed detection (MD) probabilities. By determining the optimal detection threshold that maximizes the COP, we characterize the success probability for the legitimate transmission, highlighting the trade-off between covertness and transmission success. Our numerical results confirm that while deploying FAS at the warden enhances its detection ability compared to fixed-position antennas (FPAs), equipping the receiver with FAS rather than FPAs significantly improves reception quality, leading to more reliable transmission.




Abstract:The rapid evolution of communication technologies and the emergence of sixth-generation (6G) networks have introduced unprecedented opportunities for ultra-reliable, low-latency, and energy-efficient communication. However, the integration of advanced technologies like non-orthogonal multiple access (NOMA) and wireless powered communication networks (WPCNs) brings significant challenges, particularly in terms of energy constraints and security vulnerabilities. Traditional antenna systems and orthogonal multiple access schemes struggle to meet the increasing demands for performance and security in such environments. To address this gap, this paper investigates the impact of emerging fluid antenna systems (FAS) on the performance of physical layer security (PLS) in WPCNs. Specifically, we consider a scenario in which a transmitter, powered by a power beacon via an energy link, transmits confidential messages to legitimate FAS-aided users over information links while an external eavesdropper attempts to decode the transmitted signals. Additionally, users leverage the NOMA scheme, where the far user may also act as an internal eavesdropper. For the proposed model, we first derive the distributions of the equivalent channels at each node and subsequently obtain compact expressions for the secrecy outage probability (SOP) and average secrecy capacity (ASC), using the Gaussian quadrature methods. Our results reveal that incorporating the FAS for NOMA users, instead of the TAS, enhances the performance of the proposed secure WPCN.

Abstract:This letter considers a fluid antenna system (FAS)-aided rate-splitting multiple access (RSMA) approach for downlink transmission. In particular, a base station (BS) equipped with a single traditional antenna system (TAS) uses RSMA signaling to send information to several mobile users (MUs) each equipped with FAS. To understand the achievable performance, we first present the distribution of the equivalent channel gain based on the joint multivariate t-distribution and then derive a compact analytical expression for the outage probability (OP). Moreover, we obtain the asymptotic OP in the high signal-to-noise ratio (SNR) regime. Numerical results show that combining FAS with RSMA significantly outperforms TAS and conventional multiple access schemes, such as non-orthogonal multiple access (NOMA), in terms of OP. The results also indicate that FAS can be the tool that greatly improves the practicality of RSMA.




Abstract:Backscattering tag-to-tag networks (BTTNs) represent a passive radio frequency identification (RFID) system that enables direct communication between tags within an external radio frequency (RF) field. However, low spectral efficiency and short-range communication capabilities, along with the ultra-low power nature of the tags, create significant challenges for reliable and practical applications of BTTNs. To address these challenges, this paper introduces integrating an indoor reconfigurable intelligent surface (RIS) into BTTN and studying RIS's impact on the system's performance. To that end, we first derive compact analytical expressions of the probability density function (PDF) and cumulative distribution function (CDF) for the received signal-to-noise ratio (SNR) at the receiver tag by exploiting the moment matching technique. Then, based on the derived PDF and CDF, we further derive analytical expressions of outage probability (OP), bit error rate (BER), and average capacity (AC) rate. Eventually, the Monte Carlo simulation is used to validate the accuracy of the analytical results, revealing that utilizing RIS can greatly improve the performance of BTTNs in terms of AC, BER, OP, and coverage region relative to traditional BTTNs setups that do not incorporate RIS.




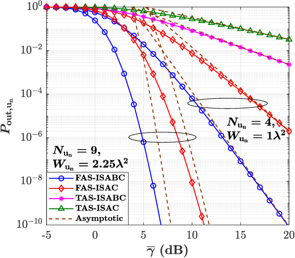
Abstract:This paper investigates a two-user downlink system for integrated sensing and communication (ISAC) in which the two users deploy a fluid antenna system (FAS) and adopt the nonorthogonal multiple access (NOMA) strategy. Specifically, the integrated sensing and backscatter communication (ISABC) model is considered, where a dual-functional base station (BS) serves to communicate the two users and sense a tag's surrounding. In contrast to conventional ISAC, the backscattering tag reflects the signals transmitted by the BS to the NOMA users and enhances their communication performance. Furthermore, the BS extracts environmental information from the same backscatter signal in the sensing stage. Firstly, we derive closed-form expressions for both the cumulative distribution function (CDF) and probability density function (PDF) of the equivalent channel at the users utilizing the moment matching method and the Gaussian copula. Then in the communication stage, we obtain closed-form expressions for both the outage probability and for the corresponding asymptotic expressions in the high signal-to-noise ratio (SNR) regime. Moreover, using numerical integration techniques such as the Gauss-Laguerre quadrature (GLQ), we have series-form expressions for the user ergodic communication rates (ECRs). In addition, we get a closed-form expression for the ergodic sensing rate (ESR) using the Cramer-Rao lower bound (CRLB). Finally, the accuracy of our analytical results is validated numerically, and we confirm the superiority of employing FAS over traditional fixed-position antenna systems in both ISAC and ISABC.