Abstract:This letter investigates the performance of emerging wireless communication systems assisted by a fluid reconfigurable intelligent surface (FRIS). Unlike conventional reconfigurable intelligent surfaces (RISs), an FRIS consists of fluid-inspired metamaterials arranged in a densely packed matrix of sub-elements over a surface. It dynamically activates specific elements for signal reflection and modulation based on real-time channel conditions. Considering a downlink scenario where a base station communicates with a user terminal via a FRIS, we first characterize the statistical behavior of the equivalent end-to-end channel by deriving closed-form approximations for its cumulative distribution and probability density functions. Using these expressions, an analytical approximation for the outage probability and a tight upper bound on the ergodic capacity, including their asymptotic behaviors for high signal-to-noise ratio values, are derived. Our findings reveal key performance trends demonstrating that FRIS can substantially improve link reliability and spectral efficiency compared to conventional RISs, owing to its capability to dynamically select optimal elements from a dense preconfigured grid.
Abstract:This letter introduces the concept of fluid integrated reflecting and emitting surface (FIRES), which constitutes a new paradigm seamlessly integrating the flexibility of fluid-antenna systems (FASs) with the dual functionality of simultaneous transmitting and reflecting reconfigurable intelligent surfaces (STAR-RISs). The potential of the proposed metasurface structure is studied though an FIRES-enabled multicast system based on the energy splitting protocol. In this model, the FIRES is divided into non-overlapping subareas, each functioning as a 'fluid' element capable of concurrent reflection and transmission and changing its position of radiation within the subarea. In particular, we formulate an optimization problem for the design of the triple tunable features of the surface unit elements, which is solved via a tailored particle swarm optimization approach. Our results showcase that the proposed FIRES architecture significantly outperforms its conventional STAR-RIS counterpart.




Abstract:This paper considers communication between a base station (BS) to two users, each from one side of a simultaneously transmitting-reflecting reconfigurable intelligent surface (STAR-RIS) in the absence of a direct link. Rate-splitting multiple access (RSMA) strategy is employed and the STAR-RIS is subjected to phase errors. The users are equipped with a planar fluid antenna system (FAS) with position reconfigurability for spatial diversity. First, we derive the distribution of the equivalent channel gain at the FAS-equipped users, characterized by a t-distribution. We then obtain analytical expressions for the outage probability (OP) and average capacity (AC), with the latter obtained via a heuristic approach. Our findings highlight the potential of FAS to mitigate phase imperfections in STAR-RIS-assisted communications, significantly enhancing system performance compared to traditional antenna systems (TAS). Also, we quantify the impact of practical phase errors on system efficiency, emphasizing the importance of robust strategies for next-generation wireless networks.



Abstract:This paper investigates the impact of deploying the fluid antenna system (FAS) on the performance of covert communications. In particular, we focus on a scenario where a transmitter seeks to covertly communicate with a receiver, while a warden attempts to detect the transmission. Both the receiver and the warden are assumed to utilize planar FAS. We derive compact analytical expressions for the covertness outage probability (COP), defined as the complement of the sum of false alarm (FA) and missed detection (MD) probabilities. By determining the optimal detection threshold that maximizes the COP, we characterize the success probability for the legitimate transmission, highlighting the trade-off between covertness and transmission success. Our numerical results confirm that while deploying FAS at the warden enhances its detection ability compared to fixed-position antennas (FPAs), equipping the receiver with FAS rather than FPAs significantly improves reception quality, leading to more reliable transmission.

Abstract:This letter considers a fluid antenna system (FAS)-aided rate-splitting multiple access (RSMA) approach for downlink transmission. In particular, a base station (BS) equipped with a single traditional antenna system (TAS) uses RSMA signaling to send information to several mobile users (MUs) each equipped with FAS. To understand the achievable performance, we first present the distribution of the equivalent channel gain based on the joint multivariate t-distribution and then derive a compact analytical expression for the outage probability (OP). Moreover, we obtain the asymptotic OP in the high signal-to-noise ratio (SNR) regime. Numerical results show that combining FAS with RSMA significantly outperforms TAS and conventional multiple access schemes, such as non-orthogonal multiple access (NOMA), in terms of OP. The results also indicate that FAS can be the tool that greatly improves the practicality of RSMA.




Abstract:This paper investigates a two-user downlink system for integrated sensing and communication (ISAC) in which the two users deploy a fluid antenna system (FAS) and adopt the nonorthogonal multiple access (NOMA) strategy. Specifically, the integrated sensing and backscatter communication (ISABC) model is considered, where a dual-functional base station (BS) serves to communicate the two users and sense a tag's surrounding. In contrast to conventional ISAC, the backscattering tag reflects the signals transmitted by the BS to the NOMA users and enhances their communication performance. Furthermore, the BS extracts environmental information from the same backscatter signal in the sensing stage. Firstly, we derive closed-form expressions for both the cumulative distribution function (CDF) and probability density function (PDF) of the equivalent channel at the users utilizing the moment matching method and the Gaussian copula. Then in the communication stage, we obtain closed-form expressions for both the outage probability and for the corresponding asymptotic expressions in the high signal-to-noise ratio (SNR) regime. Moreover, using numerical integration techniques such as the Gauss-Laguerre quadrature (GLQ), we have series-form expressions for the user ergodic communication rates (ECRs). In addition, we get a closed-form expression for the ergodic sensing rate (ESR) using the Cramer-Rao lower bound (CRLB). Finally, the accuracy of our analytical results is validated numerically, and we confirm the superiority of employing FAS over traditional fixed-position antenna systems in both ISAC and ISABC.




Abstract:This paper investigates the performance of physical layer security (PLS) in fluid antenna-aided communication systems under arbitrary correlated fading channels. In particular, it is considered that a single fixed-antenna transmitter aims to send confidential information to a legitimate receiver equipped with a planar fluid antenna system (FAS), while an eavesdropper, also taking advantage of a planar FAS, attempts to decode the desired message. For this scenario, we first present analytical expressions of the equivalent channel distributions at the legitimate user and eavesdropper by using copula, so that the obtained analytical results are valid for any arbitrarily correlated fading distributions. Then, with the help of Gauss-Laguerre quadrature, we derive compact analytical expressions for the average secrecy capacity (ASC), the secrecy outage probability (SOP), and the secrecy energy efficiency (SEE) for the FAS wiretap channel. Moreover, for exemplary purposes, we also obtain the compact expression of ASC, SOP, and SEE by utilizing the Gaussian copula under correlated Rayleigh fading channels as a special case. Eventually, numerical results indicate that applying the fluid antenna with only one active port to PLS can guarantee more secure and reliable transmission, when compared to traditional antenna systems (TAS) exploiting maximal ratio combining (MRC).


Abstract:This letter investigates the application of the emerging fluid antenna (FA) technology in multiuser communication systems when side information (SI) is available at the transmitters. In particular, we consider a K-user dirty multiple access channel (DMAC) with non-causally known SI at the transmitters, where K users send independent messages to a common receiver with a FA capable of changing its location depending on the channel condition. By connecting Jakes' model to copula theory through Spearman's {\rho} rank correlation coefficient, we accurately describe the spatial correlation between the FA channels, and derive a closed-form expression for the outage probability (OP) under Fisher-Snedecor F fading. Numerical results illustrate how considering FA can improve the performance of multiuser communication systems in terms of the OP and also support a large number of users using only one FA at the common receiver in a few wavelengths of space.




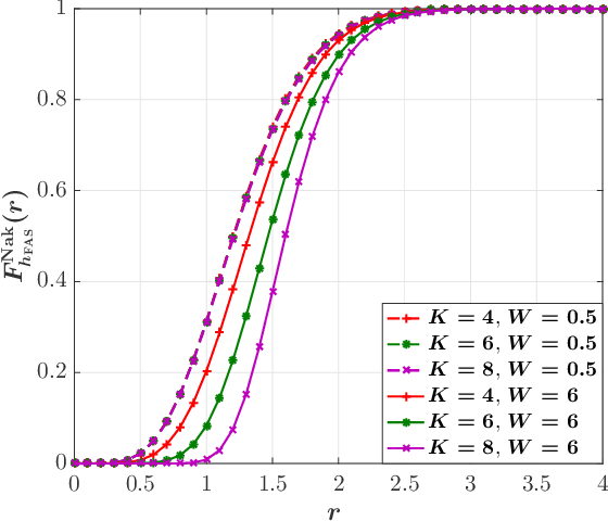
Abstract:This paper investigates the performance of a singleuser fluid antenna system (FAS), by exploiting a class of elliptical copulas to describe the structure of dependency amongst the fluid antenna ports. By expressing Jakes' model in terms of the Gaussian copula, we consider two cases: (i) the general case, i.e., any arbitrary correlated fading distribution; and (ii) the specific case, i.e., correlated Nakagami-m fading. For both scenarios, we first derive analytical expressions for the cumulative distribution function (CDF) and probability density function (PDF) of the equivalent channel in terms of multivariate normal distribution. Then, we obtain the outage probability (OP) and the delay outage rate (DOR) to analyze the performance of the FAS. By employing the popular rank correlation coefficients such as Spearman's \{rho} and Kendall's {\tau}, we measure the degree of dependency in correlated arbitrary fading channels and illustrate how the Gaussian copula can be accurately connected to Jakes' model in FAS without complicated mathematical analysis. Numerical results show that increasing the fluid antenna size provides lower OP and DOR, but the system performance saturates as the number of antenna ports increases. In addition, our results indicate that FAS provides better performance compared to conventional single-fixed antenna systems even when the size of fluid antenna is small.
Abstract:As new wireless standards are developed, the use of higher operation frequencies comes in hand with new use cases and propagation effects that differ from the well-established state of the art. Numerous stochastic fading models have recently emerged under the umbrella of generalized fading conditions, to provide a fine-grain characterization of propagation channels in the mmWave and sub-THz bands. For the first time in literature, this work carries out an experimental validation of a class of such ray-based models, in a wide range of propagation conditions (anechoic, reverberation and indoor) at mmWave bands. We show that the independently fluctuating two-ray (IFTR) model has good capabilities to recreate rather dissimilar environments with high accuracy. We also put forth that the key limitations of the IFTR model arise in the presence of reduced diffuse propagation, and also due to a limited phase variability for the dominant specular components.