

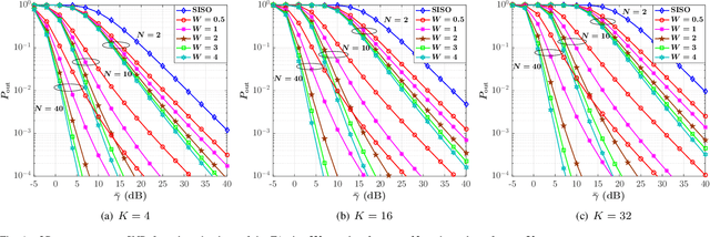
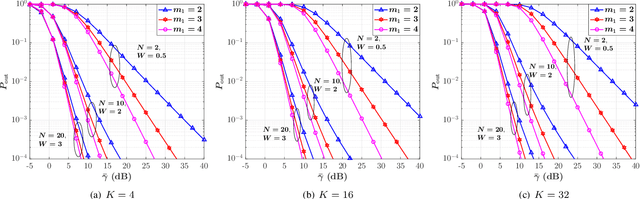
This letter investigates the application of the emerging fluid antenna (FA) technology in multiuser communication systems when side information (SI) is available at the transmitters. In particular, we consider a K-user dirty multiple access channel (DMAC) with non-causally known SI at the transmitters, where K users send independent messages to a common receiver with a FA capable of changing its location depending on the channel condition. By connecting Jakes' model to copula theory through Spearman's {\rho} rank correlation coefficient, we accurately describe the spatial correlation between the FA channels, and derive a closed-form expression for the outage probability (OP) under Fisher-Snedecor F fading. Numerical results illustrate how considering FA can improve the performance of multiuser communication systems in terms of the OP and also support a large number of users using only one FA at the common receiver in a few wavelengths of space.