Abstract:This letter introduces the concept of fluid integrated reflecting and emitting surface (FIRES), which constitutes a new paradigm seamlessly integrating the flexibility of fluid-antenna systems (FASs) with the dual functionality of simultaneous transmitting and reflecting reconfigurable intelligent surfaces (STAR-RISs). The potential of the proposed metasurface structure is studied though an FIRES-enabled multicast system based on the energy splitting protocol. In this model, the FIRES is divided into non-overlapping subareas, each functioning as a 'fluid' element capable of concurrent reflection and transmission and changing its position of radiation within the subarea. In particular, we formulate an optimization problem for the design of the triple tunable features of the surface unit elements, which is solved via a tailored particle swarm optimization approach. Our results showcase that the proposed FIRES architecture significantly outperforms its conventional STAR-RIS counterpart.

Abstract:This letter studies the impact of fluid antenna system (FAS) technology on the performance of unmanned aerial vehicle (UAV)-assisted multiuser communication networks. Specifically, we consider a scenario where a fixed-position antenna (FPA) base station (BS) serves K FAS-equipped users with the assistance of a UAV acting as an aerial relay. The BS employs rate-splitting multiple access (RSMA), while the UAV operates in half-duplex (HD) mode using the decode-and-forward (DF) strategy. For this system, we derive a compact analytical expression for the outage probability (OP) and its asymptotic behavior in the high signal-to-noise ratio (SNR) regime, leveraging the multivariate t-distribution. Our results show how deploying FAS at ground users (GUs) in UAV-aided communications improves overall system performance compared to using FPA GUs.





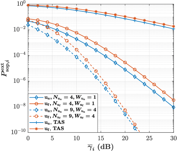
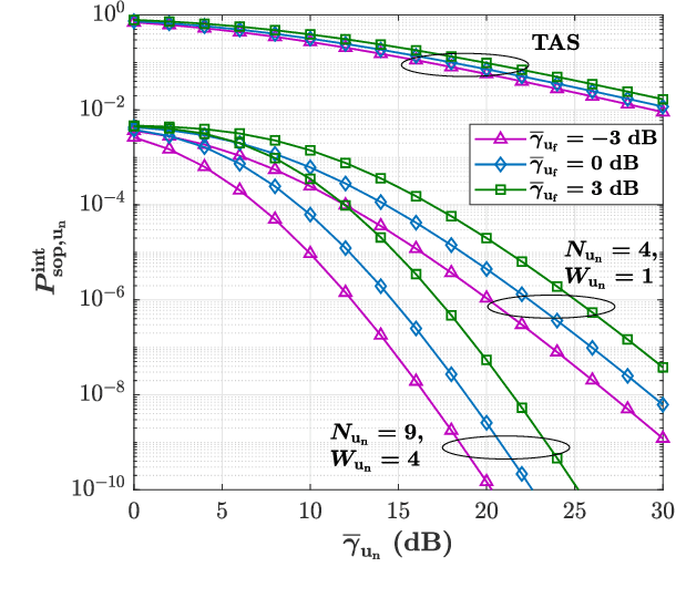
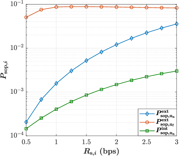
Abstract:This paper considers communication between a base station (BS) to two users, each from one side of a simultaneously transmitting-reflecting reconfigurable intelligent surface (STAR-RIS) in the absence of a direct link. Rate-splitting multiple access (RSMA) strategy is employed and the STAR-RIS is subjected to phase errors. The users are equipped with a planar fluid antenna system (FAS) with position reconfigurability for spatial diversity. First, we derive the distribution of the equivalent channel gain at the FAS-equipped users, characterized by a t-distribution. We then obtain analytical expressions for the outage probability (OP) and average capacity (AC), with the latter obtained via a heuristic approach. Our findings highlight the potential of FAS to mitigate phase imperfections in STAR-RIS-assisted communications, significantly enhancing system performance compared to traditional antenna systems (TAS). Also, we quantify the impact of practical phase errors on system efficiency, emphasizing the importance of robust strategies for next-generation wireless networks.

Abstract:This paper investigates the impact of deploying the fluid antenna system (FAS) on the performance of covert communications. In particular, we focus on a scenario where a transmitter seeks to covertly communicate with a receiver, while a warden attempts to detect the transmission. Both the receiver and the warden are assumed to utilize planar FAS. We derive compact analytical expressions for the covertness outage probability (COP), defined as the complement of the sum of false alarm (FA) and missed detection (MD) probabilities. By determining the optimal detection threshold that maximizes the COP, we characterize the success probability for the legitimate transmission, highlighting the trade-off between covertness and transmission success. Our numerical results confirm that while deploying FAS at the warden enhances its detection ability compared to fixed-position antennas (FPAs), equipping the receiver with FAS rather than FPAs significantly improves reception quality, leading to more reliable transmission.





Abstract:The rapid evolution of communication technologies and the emergence of sixth-generation (6G) networks have introduced unprecedented opportunities for ultra-reliable, low-latency, and energy-efficient communication. However, the integration of advanced technologies like non-orthogonal multiple access (NOMA) and wireless powered communication networks (WPCNs) brings significant challenges, particularly in terms of energy constraints and security vulnerabilities. Traditional antenna systems and orthogonal multiple access schemes struggle to meet the increasing demands for performance and security in such environments. To address this gap, this paper investigates the impact of emerging fluid antenna systems (FAS) on the performance of physical layer security (PLS) in WPCNs. Specifically, we consider a scenario in which a transmitter, powered by a power beacon via an energy link, transmits confidential messages to legitimate FAS-aided users over information links while an external eavesdropper attempts to decode the transmitted signals. Additionally, users leverage the NOMA scheme, where the far user may also act as an internal eavesdropper. For the proposed model, we first derive the distributions of the equivalent channels at each node and subsequently obtain compact expressions for the secrecy outage probability (SOP) and average secrecy capacity (ASC), using the Gaussian quadrature methods. Our results reveal that incorporating the FAS for NOMA users, instead of the TAS, enhances the performance of the proposed secure WPCN.

Abstract:Backscattering tag-to-tag networks (BTTNs) represent a passive radio frequency identification (RFID) system that enables direct communication between tags within an external radio frequency (RF) field. However, low spectral efficiency and short-range communication capabilities, along with the ultra-low power nature of the tags, create significant challenges for reliable and practical applications of BTTNs. To address these challenges, this paper introduces integrating an indoor reconfigurable intelligent surface (RIS) into BTTN and studying RIS's impact on the system's performance. To that end, we first derive compact analytical expressions of the probability density function (PDF) and cumulative distribution function (CDF) for the received signal-to-noise ratio (SNR) at the receiver tag by exploiting the moment matching technique. Then, based on the derived PDF and CDF, we further derive analytical expressions of outage probability (OP), bit error rate (BER), and average capacity (AC) rate. Eventually, the Monte Carlo simulation is used to validate the accuracy of the analytical results, revealing that utilizing RIS can greatly improve the performance of BTTNs in terms of AC, BER, OP, and coverage region relative to traditional BTTNs setups that do not incorporate RIS.




Abstract:This paper studies the performance of a wireless powered communication network (WPCN) under the non-orthogonal multiple access (NOMA) scheme, where users take advantage of an emerging fluid antenna system (FAS). More precisely, we consider a scenario where a transmitter is powered by a remote power beacon (PB) to send information to the planar NOMA FAS-equipped users through Rayleigh fading channels. After introducing the distribution of the equivalent channel coefficients to the users, we derive compact analytical expressions for the outage probability (OP) in order to evaluate the system performance. Additionally, we present asymptotic OP in the high signal-to-noise ratio (SNR) regime. Eventually, results reveal that deploying the FAS with only one activated port in NOMA users can significantly enhance the WPCN performance compared with using traditional antenna systems (TAS).

Abstract:This paper studies the performance of backscatter communications (BC) over emerging fluid antenna (FA) technology. In particular, a single-antenna source sends information to a FA reader through the wireless forward (i.e., source-to-tag) and backscatter (tag-to-reader) channels. For the considered BC, we first derive the cumulative distribution function (CDF) of the equivalent channel at the FA receiver, and then we obtain closed-form expressions of the outage probability (OP) and delay outage rate (DOR) under a correlated Rayleigh distribution. Moreover, in order to gain more insights into the system performance, we present analytical expressions of the OP and DOR at the high SNR regime. Numerical results indicate that considering the FA at the reader can significantly improve the performance of BC in terms of the OP and DOR compared with a single-antenna reader.

Abstract:This paper investigates the performance of physical layer security (PLS) in a vehicle-to-vehicle (V2V) communication system, where a transmitter vehicle exploits a dual reconfigurable intelligent surface (RIS) to send confidential information to legitimate receiver vehicles under the non-orthogonal multiple access (NOMA) scheme in the presence of an eavesdropper vehicle. In particular, it is assumed that an RIS is near the transmitter vehicle and another RIS is close to the receiver vehicles to provide a wider smart radio environment. Besides, we suppose that the channels between two RISs suffer from the Fisher-Snedecor F fading model. Under this scenario, we first provide the marginal distributions of equivalent channels at the legitimate receiver vehicles by exploiting the central limit theorem (CLT). Then, in order to evaluate the PLS performance of the considered secure communication system, we derive analytical expressions of the average secrecy capacity (ASC), secrecy outage probability (SOP), and secrecy energy efficiency (SEE) by using the Gauss-Laguerre quadrature and the Gaussian quadrature techniques. Moreover, to gain more insights into the secrecy performance, the asymptotic expression of the ASC is obtained. The numerical results indicate that incorporating the dual RIS in the secure V2V communication under the NOMA scheme can significantly provide ultra-reliable transmission and guarantee more secure communication for intelligent transportation systems (ITS).

Abstract:This paper investigates the performance of vehicleto-vehicle (V2V) communications assisted by a reconfigurable intelligent surface (RIS) and a simultaneous transmitting and reflecting intelligent omni-surface (STAR-IOS) under nonorthogonal multiple access (NOMA) and orthogonal multiple access (OMA) schemes. In particular, we consider that the RIS is close to the transmitter vehicle while the STAR-IOS is near the receiver vehicles. In addition, we assume that the STAR-IOS exploits the energy-splitting (ES) protocol for communication and the fading channels between the RIS and STAR-IOS follow composite Fisher-Snedecor F distribution. Under such assumptions, we first use the central limit theorem (CLT) to derive the PDF and the CDF of equivalent channels at receiver vehicles, and then, we derive the closed-form expression of outage probability (OP) under NOMA/OMA scenarios. Additionally, by exploiting Jensen's inequality, we propose an upper bound of the ergodic capacity (EC), and then, we derive an analytical expression of the energy efficiency (EE) for both NOMA and OMA cases. Further, our analytical results, which are double-checked with the Monte-Carlo simulation, reveal that applying RIS/STAR-RIS in V2V communications can significantly improve the performance of intelligent transportation systems (ITS). Besides, the results indicate that considering the NOMA scheme provides better performance in terms of the OP, EC, and EE as compared with the OMA case for the considered V2V communication.
