Abstract:A common approach to aggregate classification estimates in an ensemble of decision trees is to either use voting or to average the probabilities for each class. The latter takes uncertainty into account, but not the reliability of the uncertainty estimates (so to say, the "uncertainty about the uncertainty"). More generally, much remains unknown about how to best combine probabilistic estimates from multiple sources. In this paper, we investigate a number of alternative prediction methods. Our methods are inspired by the theories of probability, belief functions and reliable classification, as well as a principle that we call evidence accumulation. Our experiments on a variety of data sets are based on random decision trees which guarantees a high diversity in the predictions to be combined. Somewhat unexpectedly, we found that taking the average over the probabilities is actually hard to beat. However, evidence accumulation showed consistently better results on all but very small leafs.




Abstract:Classifier chains are an effective technique for modeling label dependencies in multi-label classification. However, the method requires a fixed, static order of the labels. While in theory, any order is sufficient, in practice, this order has a substantial impact on the quality of the final prediction. Dynamic classifier chains denote the idea that for each instance to classify, the order in which the labels are predicted is dynamically chosen. The complexity of a naive implementation of such an approach is prohibitive, because it would require to train a sequence of classifiers for every possible permutation of the labels. To tackle this problem efficiently, we propose a new approach based on random decision trees which can dynamically select the label ordering for each prediction. We show empirically that a dynamic selection of the next label improves over the use of a static ordering under an otherwise unchanged random decision tree model. % and experimental environment. In addition, we also demonstrate an alternative approach based on extreme gradient boosted trees, which allows for a more target-oriented training of dynamic classifier chains. Our results show that this variant outperforms random decision trees and other tree-based multi-label classification methods. More importantly, the dynamic selection strategy allows to considerably speed up training and prediction.




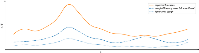
Abstract:Early outbreak detection is a key aspect in the containment of infectious diseases, as it enables the identification and isolation of infected individuals before the disease can spread to a larger population. Instead of detecting unexpected increases of infections by monitoring confirmed cases, syndromic surveillance aims at the detection of cases with early symptoms, which allows a more timely disclosure of outbreaks. However, the definition of these disease patterns is often challenging, as early symptoms are usually shared among many diseases and a particular disease can have several clinical pictures in the early phase of an infection. To support epidemiologists in the process of defining reliable disease patterns, we present a novel, data-driven approach to discover such patterns in historic data. The key idea is to take into account the correlation between indicators in a health-related data source and the reported number of infections in the respective geographic region. In an experimental evaluation, we use data from several emergency departments to discover disease patterns for three infectious diseases. Our results suggest that the proposed approach is able to find patterns that correlate with the reported infections and often identifies indicators that are related to the respective diseases.




Abstract:In multi-label classification, where a single example may be associated with several class labels at the same time, the ability to model dependencies between labels is considered crucial to effectively optimize non-decomposable evaluation measures, such as the Subset 0/1 loss. The gradient boosting framework provides a well-studied foundation for learning models that are specifically tailored to such a loss function and recent research attests the ability to achieve high predictive accuracy in the multi-label setting. The utilization of second-order derivatives, as used by many recent boosting approaches, helps to guide the minimization of non-decomposable losses, due to the information about pairs of labels it incorporates into the optimization process. On the downside, this comes with high computational costs, even if the number of labels is small. In this work, we address the computational bottleneck of such approach -- the need to solve a system of linear equations -- by integrating a novel approximation technique into the boosting procedure. Based on the derivatives computed during training, we dynamically group the labels into a predefined number of bins to impose an upper bound on the dimensionality of the linear system. Our experiments, using an existing rule-based algorithm, suggest that this may boost the speed of training, without any significant loss in predictive performance.



Abstract:Infectious disease surveillance is of great importance for the prevention of major outbreaks. Syndromic surveillance aims at developing algorithms which can detect outbreaks as early as possible by monitoring data sources which allow to capture the occurrences of a certain disease. Recent research mainly focuses on the surveillance of specific, known diseases, putting the focus on the definition of the disease pattern under surveillance. Until now, only little effort has been devoted to what we call non-specific syndromic surveillance, i.e., the use of all available data for detecting any kind of outbreaks, including infectious diseases which are unknown beforehand. In this work, we revisit published approaches for non-specific syndromic surveillance and present a set of simple statistical modeling techniques which can serve as benchmarks for more elaborate machine learning approaches. Our experimental comparison on established synthetic data and real data in which we injected synthetic outbreaks shows that these benchmarks already achieve very competitive results and often outperform more elaborate algorithms.


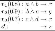
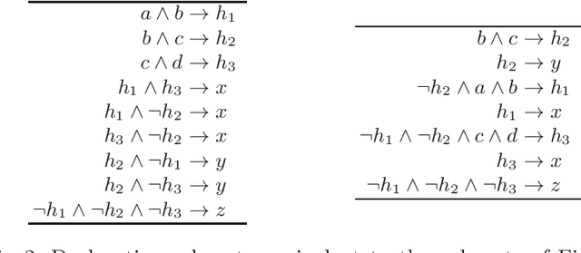
Abstract:Arguably the key reason for the success of deep neural networks is their ability to autonomously form non-linear combinations of the input features, which can be used in subsequent layers of the network. The analogon to this capability in inductive rule learning is to learn a structured rule base, where the inputs are combined to learn new auxiliary concepts, which can then be used as inputs by subsequent rules. Yet, research on rule learning algorithms that have such capabilities is still in their infancy, which is - we would argue - one of the key impediments to substantial progress in this field. In this position paper, we want to draw attention to this unsolved problem, with a particular focus on previous work in predicate invention and multi-label rule learning


Abstract:In multi-label classification, where the evaluation of predictions is less straightforward than in single-label classification, various meaningful, though different, loss functions have been proposed. Ideally, the learning algorithm should be customizable towards a specific choice of the performance measure. Modern implementations of boosting, most prominently gradient boosted decision trees, appear to be appealing from this point of view. However, they are mostly limited to single-label classification, and hence not amenable to multi-label losses unless these are label-wise decomposable. In this work, we develop a generalization of the gradient boosting framework to multi-output problems and propose an algorithm for learning multi-label classification rules that is able to minimize decomposable as well as non-decomposable loss functions. Using the well-known Hamming loss and subset 0/1 loss as representatives, we analyze the abilities and limitations of our approach on synthetic data and evaluate its predictive performance on multi-label benchmarks.




Abstract:While a variety of ensemble methods for multilabel classification have been proposed in the literature, the question of how to aggregate the predictions of the individual members of the ensemble has received little attention so far. In this paper, we introduce a formal framework of ensemble multilabel classification, in which we distinguish two principal approaches: "predict then combine" (PTC), where the ensemble members first make loss minimizing predictions which are subsequently combined, and "combine then predict" (CTP), which first aggregates information such as marginal label probabilities from the individual ensemble members, and then derives a prediction from this aggregation. While both approaches generalize voting techniques commonly used for multilabel ensembles, they allow to explicitly take the target performance measure into account. Therefore, concrete instantiations of CTP and PTC can be tailored to concrete loss functions. Experimentally, we show that standard voting techniques are indeed outperformed by suitable instantiations of CTP and PTC, and provide some evidence that CTP performs well for decomposable loss functions, whereas PTC is the better choice for non-decomposable losses.


Abstract:We analyze the trade-off between model complexity and accuracy for random forests by breaking the trees up into individual classification rules and selecting a subset of them. We show experimentally that already a few rules are sufficient to achieve an acceptable accuracy close to that of the original model. Moreover, our results indicate that in many cases, this can lead to simpler models that clearly outperform the original ones.




Abstract:Being able to model correlations between labels is considered crucial in multi-label classification. Rule-based models enable to expose such dependencies, e.g., implications, subsumptions, or exclusions, in an interpretable and human-comprehensible manner. Albeit the number of possible label combinations increases exponentially with the number of available labels, it has been shown that rules with multiple labels in their heads, which are a natural form to model local label dependencies, can be induced efficiently by exploiting certain properties of rule evaluation measures and pruning the label search space accordingly. However, experiments have revealed that multi-label heads are unlikely to be learned by existing methods due to their restrictiveness. To overcome this limitation, we propose a plug-in approach that relaxes the search space pruning used by existing methods in order to introduce a bias towards larger multi-label heads resulting in more expressive rules. We further demonstrate the effectiveness of our approach empirically and show that it does not come with drawbacks in terms of training time or predictive performance.