



Abstract:We introduced PRISMATIC, the first multimodal structural priming dataset, and proposed a reference-free evaluation metric that assesses priming effects without predefined target sentences. Using this metric, we constructed and tested models with different multimodal encoding architectures (dual encoder and fusion encoder) to investigate their structural preservation capabilities. Our findings show that models with both encoding methods demonstrate comparable syntactic priming effects. However, only fusion-encoded models exhibit robust positive correlations between priming effects and visual similarity, suggesting a cognitive process more aligned with human psycholinguistic patterns. This work provides new insights into evaluating and understanding how syntactic information is processed in multimodal language models.




Abstract:Multimodal knowledge graph completion (MMKGC) aims to predict missing links in multimodal knowledge graphs (MMKGs) by leveraging information from various modalities alongside structural data. Existing MMKGC approaches primarily extend traditional knowledge graph embedding (KGE) models, which often require creating an embedding for every entity. This results in large model sizes and inefficiencies in integrating multimodal information, particularly for real-world graphs. Meanwhile, Transformer-based models have demonstrated competitive performance in knowledge graph completion (KGC). However, their focus on single-modal knowledge limits their capacity to utilize cross-modal information. Recently, Large vision-language models (VLMs) have shown potential in cross-modal tasks but are constrained by the high cost of training. In this work, we propose a novel approach that integrates Transformer-based KGE models with cross-modal context generated by pre-trained VLMs, thereby extending their applicability to MMKGC. Specifically, we employ a pre-trained VLM to transform relevant visual information from entities and their neighbors into textual sequences. We then frame KGC as a sequence-to-sequence task, fine-tuning the model with the generated cross-modal context. This simple yet effective method significantly reduces model size compared to traditional KGE approaches while achieving competitive performance across multiple large-scale datasets with minimal hyperparameter tuning.




Abstract:Question answering (QA) over tables and text has gained much popularity over the years. Multi-hop table-text QA requires multiple hops between the table and text, making it a challenging QA task. Although several works have attempted to solve the table-text QA task, most involve training the models and requiring labeled data. In this paper, we have proposed a model - TTQA-RS: A break-down prompting approach for Multi-hop Table-Text Question Answering with Reasoning and Summarization. Our model uses augmented knowledge including table-text summary with decomposed sub-question with answer for a reasoning-based table-text QA. Using open-source language models our model outperformed all existing prompting methods for table-text QA tasks on existing table-text QA datasets like HybridQA and OTT-QA's development set. Our results are comparable with the training-based state-of-the-art models, demonstrating the potential of prompt-based approaches using open-source LLMs. Additionally, by using GPT-4 with LLaMA3-70B, our model achieved state-of-the-art performance for prompting-based methods on multi-hop table-text QA.
Abstract:Large language model (LLM) has marked a pivotal moment in the field of machine learning and deep learning. Recently its capability for query planning has been investigated, including both single-modal and multi-modal queries. However, there is no work on the query optimization capability of LLM. As a critical (or could even be the most important) step that significantly impacts the execution performance of the query plan, such analysis and attempts should not be missed. From another aspect, existing query optimizers are usually rule-based or rule-based + cost-based, i.e., they are dependent on manually created rules to complete the query plan rewrite/transformation. Given the fact that modern optimizers include hundreds to thousands of rules, designing a multi-modal query optimizer following a similar way is significantly time-consuming since we will have to enumerate as many multi-modal optimization rules as possible, which has not been well addressed today. In this paper, we investigate the query optimization ability of LLM and use LLM to design LaPuda, a novel LLM and Policy based multi-modal query optimizer. Instead of enumerating specific and detailed rules, LaPuda only needs a few abstract policies to guide LLM in the optimization, by which much time and human effort are saved. Furthermore, to prevent LLM from making mistakes or negative optimization, we borrow the idea of gradient descent and propose a guided cost descent (GCD) algorithm to perform the optimization, such that the optimization can be kept in the correct direction. In our evaluation, our methods consistently outperform the baselines in most cases. For example, the optimized plans generated by our methods result in 1~3x higher execution speed than those by the baselines.
Abstract:In recent research, contrastive learning has proven to be a highly effective method for representation learning and is widely used for dense retrieval. However, we identify that relying solely on contrastive learning can lead to suboptimal retrieval performance. On the other hand, despite many retrieval datasets supporting various learning objectives beyond contrastive learning, combining them efficiently in multi-task learning scenarios can be challenging. In this paper, we introduce M3, an advanced recursive Multi-hop dense sentence retrieval system built upon a novel Multi-task Mixed-objective approach for dense text representation learning, addressing the aforementioned challenges. Our approach yields state-of-the-art performance on a large-scale open-domain fact verification benchmark dataset, FEVER. Code and data are available at: https://github.com/TonyBY/M3




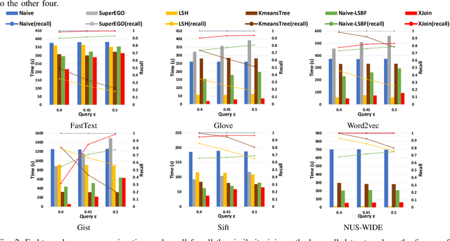
Abstract:Similarity join finds all pairs of close points within a given distance threshold. Many similarity join methods have been proposed, but they are usually not efficient on high-dimensional space due to the curse of dimensionality and data-unawareness. We investigate the possibility of using metric space Bloom filter (MSBF), a family of data structures checking if a query point has neighbors in a multi-dimensional space, to speed up similarity join. However, there are several challenges when applying MSBF to similarity join, including excessive information loss, data-unawareness and hard constraint on the distance metric. In this paper, we propose Xling, a generic framework to build a learning-based metric space filter with any existing regression model, aiming at accurately predicting whether a query point has enough number of neighbors. The framework provides a suite of optimization strategies to further improve the prediction quality based on the learning model, which has demonstrated significantly higher prediction quality than existing MSBF. We also propose XJoin, one of the first filter-based similarity join methods, based on Xling. By predicting and skipping those queries without enough neighbors, XJoin can effectively reduce unnecessary neighbor searching and therefore it achieves a remarkable acceleration. Benefiting from the generalization capability of deep learning models, XJoin can be easily transferred onto new dataset (in similar distribution) without re-training. Furthermore, Xling is not limited to being applied in XJoin, instead, it acts as a flexible plugin that can be inserted to any loop-based similarity join methods for a speedup.




Abstract:Question Answering (QA) systems on patient-related data can assist both clinicians and patients. They can, for example, assist clinicians in decision-making and enable patients to have a better understanding of their medical history. Significant amounts of patient data are stored in Electronic Health Records (EHRs), making EHR QA an important research area. In EHR QA, the answer is obtained from the medical record of the patient. Because of the differences in data format and modality, this differs greatly from other medical QA tasks that employ medical websites or scientific papers to retrieve answers, making it critical to research EHR question answering. This study aimed to provide a methodological review of existing works on QA over EHRs. We searched for articles from January 1st, 2005 to September 30th, 2023 in four digital sources including Google Scholar, ACL Anthology, ACM Digital Library, and PubMed to collect relevant publications on EHR QA. 4111 papers were identified for our study, and after screening based on our inclusion criteria, we obtained a total of 47 papers for further study. Out of the 47 papers, 25 papers were about EHR QA datasets, and 37 papers were about EHR QA models. It was observed that QA on EHRs is relatively new and unexplored. Most of the works are fairly recent. Also, it was observed that emrQA is by far the most popular EHR QA dataset, both in terms of citations and usage in other papers. Furthermore, we identified the different models used in EHR QA along with the evaluation metrics used for these models.




Abstract:Knowledge Graph (KG)-to-Text Generation has seen recent improvements in generating fluent and informative sentences which describe a given KG. As KGs are widespread across multiple domains and contain important entity-relation information, and as text simplification aims to reduce the complexity of a text while preserving the meaning of the original text, we propose KGSimple, a novel approach to unsupervised text simplification which infuses KG-established techniques in order to construct a simplified KG path and generate a concise text which preserves the original input's meaning. Through an iterative and sampling KG-first approach, our model is capable of simplifying text when starting from a KG by learning to keep important information while harnessing KG-to-text generation to output fluent and descriptive sentences. We evaluate various settings of the KGSimple model on currently-available KG-to-text datasets, demonstrating its effectiveness compared to unsupervised text simplification models which start with a given complex text. Our code is available on GitHub.




Abstract:Recent works in neural knowledge graph inference attempt to combine logic rules with knowledge graph embeddings to benefit from prior knowledge. However, they usually cannot avoid rule grounding, and injecting a diverse set of rules has still not been thoroughly explored. In this work, we propose InjEx, a mechanism to inject multiple types of rules through simple constraints, which capture definite Horn rules. To start, we theoretically prove that InjEx can inject such rules. Next, to demonstrate that InjEx infuses interpretable prior knowledge into the embedding space, we evaluate InjEx on both the knowledge graph completion (KGC) and few-shot knowledge graph completion (FKGC) settings. Our experimental results reveal that InjEx outperforms both baseline KGC models as well as specialized few-shot models while maintaining its scalability and efficiency.




Abstract:Check-worthy claim detection aims at providing plausible misinformation to downstream fact-checking systems or human experts to check. This is a crucial step toward accelerating the fact-checking process. Many efforts have been put into how to identify check-worthy claims from a small scale of pre-collected claims, but how to efficiently detect check-worthy claims directly from a large-scale information source, such as Twitter, remains underexplored. To fill this gap, we introduce MythQA, a new multi-answer open-domain question answering(QA) task that involves contradictory stance mining for query-based large-scale check-worthy claim detection. The idea behind this is that contradictory claims are a strong indicator of misinformation that merits scrutiny by the appropriate authorities. To study this task, we construct TweetMythQA, an evaluation dataset containing 522 factoid multi-answer questions based on controversial topics. Each question is annotated with multiple answers. Moreover, we collect relevant tweets for each distinct answer, then classify them into three categories: "Supporting", "Refuting", and "Neutral". In total, we annotated 5.3K tweets. Contradictory evidence is collected for all answers in the dataset. Finally, we present a baseline system for MythQA and evaluate existing NLP models for each system component using the TweetMythQA dataset. We provide initial benchmarks and identify key challenges for future models to improve upon. Code and data are available at: https://github.com/TonyBY/Myth-QA