Abstract:Model-based reinforcement learning (MBRL) achieves high sample efficiency by simulating future trajectories with learned dynamics and reward models. However, its effectiveness is severely compromised in sparse reward settings. The core limitation lies in the standard paradigm of regressing ground-truth scalar rewards: in sparse environments, this yields a flat, gradient-free landscape that fails to provide directional guidance for planning. To address this challenge, we propose Shaping Landscapes with Optimistic Potential Estimates (SLOPE), a novel framework that shifts reward modeling from predicting scalars to constructing informative potential landscapes. SLOPE employs optimistic distributional regression to estimate high-confidence upper bounds, which amplifies rare success signals and ensures sufficient exploration gradients. Evaluations on 30+ tasks across 5 benchmarks demonstrate that SLOPE consistently outperforms leading baselines in fully sparse, semi-sparse, and dense rewards.
Abstract:Stable and robust robotic grasping is essential for current and future robot applications. In recent works, the use of large datasets and supervised learning has enhanced speed and precision in antipodal grasping. However, these methods struggle with perception and calibration errors due to large planning horizons. To obtain more robust and reactive grasping motions, leveraging reinforcement learning combined with tactile sensing is a promising direction. Yet, there is no systematic evaluation of how the complexity of force-based tactile sensing affects the learning behavior for grasping tasks. This paper compares various tactile and environmental setups using two model-free reinforcement learning approaches for antipodal grasping. Our findings suggest that under imperfect visual perception, various tactile features improve learning outcomes, while complex tactile inputs complicate training.




Abstract:This paper proposes a hierarchical Bayesian multitask learning model that is applicable to the general multi-task binary classification learning problem where the model assumes a shared sparsity structure across different tasks. We derive a computationally efficient inference algorithm based on variational inference to approximate the posterior distribution. We demonstrate the potential of the new approach on various synthetic datasets and for predicting human health status based on microbiome profile. Our analysis incorporates data pooled from multiple microbiome studies, along with a comprehensive comparison with other benchmark methods. Results in synthetic datasets show that the proposed approach has superior support recovery property when the underlying regression coefficients share a common sparsity structure across different tasks. Our experiments on microbiome classification demonstrate the utility of the method in extracting informative taxa while providing well-calibrated predictions with uncertainty quantification and achieving competitive performance in terms of prediction metrics. Notably, despite the heterogeneity of the pooled datasets (e.g., different experimental objectives, laboratory setups, sequencing equipment, patient demographics), our method delivers robust results.
Abstract:Adverse drug events (ADEs) significantly impact clinical research and public health, contributing to failures in clinical trials and leading to increased healthcare costs. The accurate prediction and management of ADEs are crucial for improving the development of safer, more effective medications, and enhancing patient outcomes. To support this effort, we introduce CT-ADE, a novel dataset compiled to enhance the predictive modeling of ADEs. Encompassing over 12,000 instances extracted from clinical trial results, the CT-ADE dataset integrates drug, patient population, and contextual information for multilabel ADE classification tasks in monopharmacy treatments, providing a comprehensive resource for developing advanced predictive models. To mirror the complex nature of ADEs, annotations are standardized at the system organ class level of the Medical Dictionary for Regulatory Activities (MedDRA) ontology. Preliminary analyses using baseline models have demonstrated promising results, achieving 73.33% F1 score and 81.54% balanced accuracy, highlighting CT-ADE's potential to advance ADE prediction. CT-ADE provides an essential tool for researchers aiming to leverage the power of artificial intelligence and machine learning to enhance patient safety and minimize the impact of ADEs on pharmaceutical research and development. Researchers interested in using the CT-ADE dataset can find all necessary resources at https://github.com/xxxx/xxxx.




Abstract:Adversarial attacks can mislead neural network classifiers. The defense against adversarial attacks is important for AI safety. Adversarial purification is a family of approaches that defend adversarial attacks with suitable pre-processing. Diffusion models have been shown to be effective for adversarial purification. Despite their success, many aspects of diffusion purification still remain unexplored. In this paper, we investigate and improve upon three limiting designs of diffusion purification: the use of an improved diffusion model, advanced numerical simulation techniques, and optimal control of randomness. Based on our findings, we propose Purify++, a new diffusion purification algorithm that is now the state-of-the-art purification method against several adversarial attacks. Our work presents a systematic exploration of the limits of diffusion purification methods.




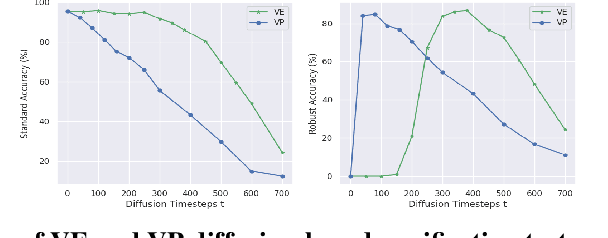
Abstract:Adversarial attacks have the potential to mislead deep neural network classifiers by introducing slight perturbations. Developing algorithms that can mitigate the effects of these attacks is crucial for ensuring the safe use of artificial intelligence. Recent studies have suggested that score-based diffusion models are effective in adversarial defenses. However, existing diffusion-based defenses rely on the sequential simulation of the reversed stochastic differential equations of diffusion models, which are computationally inefficient and yield suboptimal results. In this paper, we introduce a novel adversarial defense scheme named ScoreOpt, which optimizes adversarial samples at test-time, towards original clean data in the direction guided by score-based priors. We conduct comprehensive experiments on multiple datasets, including CIFAR10, CIFAR100 and ImageNet. Our experimental results demonstrate that our approach outperforms existing adversarial defenses in terms of both robustness performance and inference speed.
Abstract:Efficiently sampling from un-normalized target distributions is a fundamental problem in scientific computing and machine learning. Traditional approaches like Markov Chain Monte Carlo (MCMC) guarantee asymptotically unbiased samples from such distributions but suffer from computational inefficiency, particularly when dealing with high-dimensional targets, as they require numerous iterations to generate a batch of samples. In this paper, we propose an efficient and scalable neural implicit sampler that overcomes these limitations. Our sampler can generate large batches of samples with low computational costs by leveraging a neural transformation that directly maps easily sampled latent vectors to target samples without the need for iterative procedures. To train the neural implicit sampler, we introduce two novel methods: the KL training method and the Fisher training method. The former minimizes the Kullback-Leibler divergence, while the latter minimizes the Fisher divergence. By employing these training methods, we effectively optimize the neural implicit sampler to capture the desired target distribution. To demonstrate the effectiveness, efficiency, and scalability of our proposed samplers, we evaluate them on three sampling benchmarks with different scales. These benchmarks include sampling from 2D targets, Bayesian inference, and sampling from high-dimensional energy-based models (EBMs). Notably, in the experiment involving high-dimensional EBMs, our sampler produces samples that are comparable to those generated by MCMC-based methods while being more than 100 times more efficient, showcasing the efficiency of our neural sampler. We believe that the theoretical and empirical contributions presented in this work will stimulate further research on developing efficient samplers for various applications beyond the ones explored in this study.




Abstract:This paper describes the work of the Data Science for Digital Health (DS4DH) group at the TREC Health Misinformation Track 2021. The TREC Health Misinformation track focused on the development of retrieval methods that provide relevant, correct and credible information for health related searches on the Web. In our methodology, we used a two-step ranking approach that includes i) a standard retrieval phase, based on BM25 model, and ii) a re-ranking phase, with a pipeline of models focused on the usefulness, supportiveness and credibility dimensions of the retrieved documents. To estimate the usefulness, we classified the initial rank list using pre-trained language models based on the transformers architecture fine-tuned on the MS MARCO corpus. To assess the supportiveness, we utilized BERT-based models fine-tuned on scientific and Wikipedia corpora. Finally, to evaluate the credibility of the documents, we employed a random forest model trained on the Microsoft Credibility dataset combined with a list of credible sites. The resulting ranked lists were then combined using the Reciprocal Rank Fusion algorithm to obtain the final list of useful, supporting and credible documents. Our approach achieved competitive results, being top-2 in the compatibility measurement for the automatic runs. Our findings suggest that integrating automatic ranking models created for each information quality dimension with transfer learning can increase the effectiveness of health-related information retrieval.




Abstract:Automated claim checking is the task of determining the veracity of a claim given evidence found in a knowledge base of trustworthy facts. While previous work has taken the knowledge base as given and optimized the claim-checking pipeline, we take the opposite approach - taking the pipeline as given, we explore the choice of knowledge base. Our first insight is that a claim-checking pipeline can be transferred to a new domain of claims with access to a knowledge base from the new domain. Second, we do not find a "universally best" knowledge base - higher domain overlap of a task dataset and a knowledge base tends to produce better label accuracy. Third, combining multiple knowledge bases does not tend to improve performance beyond using the closest-domain knowledge base. Finally, we show that the claim-checking pipeline's confidence score for selecting evidence can be used to assess whether a knowledge base will perform well for a new set of claims, even in the absence of ground-truth labels.