Abstract:The advancement of imaging devices and countless image data generated everyday impose an increasingly high demand on efficient and effective image denoising. In this paper, we present a computationally simple denoising algorithm, termed Haar-tSVD, aiming to explore the nonlocal self-similarity prior and leverage the connection between principal component analysis (PCA) and the Haar transform under circulant representation. We show that global and local patch correlations can be effectively captured through a unified tensor-singular value decomposition (t-SVD) projection with the Haar transform. This results in a one-step, highly parallelizable filtering method that eliminates the need for learning local bases to represent image patches, striking a balance between denoising speed and performance. Furthermore, we introduce an adaptive noise estimation scheme based on a CNN estimator and eigenvalue analysis to enhance the robustness and adaptability of the proposed method. Experiments on different real-world denoising tasks validate the efficiency and effectiveness of Haar-tSVD for noise removal and detail preservation. Datasets, code and results are publicly available at https://github.com/ZhaomingKong/Haar-tSVD.
Abstract:Two types of radio frequency (RF) impairments frequently occur in a cable broadband network: impairments that occur inside a cable network and impairments occur at the edge of the broadband network, i.e., in a subscriber's premise. Differentiating these two types of faults is important, as different faults require different types of technical personnel to repair them. Presently, the cable industry lacks publicly available tools to automatically diagnose the type of fault. In this work, we present TelApart, a fault diagnosis system for cable broadband networks. TelApart uses telemetry data collected by the Proactive Network Maintenance (PNM) infrastructure in cable networks to effectively differentiate the type of fault. Integral to TelApart's design is an unsupervised machine learning model that groups cable devices sharing similar anomalous patterns together. We use metrics derived from an ISP's customer trouble tickets to programmatically tune the model's hyper-parameters so that an ISP can deploy TelApart in various conditions without hand-tuning its hyper-parameters. We also address the data challenge that the telemetry data collected by the PNM system contain numerous missing, duplicated, and unaligned data points. Using real-world data contributed by a cable ISP, we show that TelApart can effectively identify different types of faults.
Abstract:Cable broadband networks are one of the few "last-mile" broadband technologies widely available in the U.S. Unfortunately, they have poor reliability after decades of deployment. The cable industry proposed a framework called Proactive Network Maintenance (PNM) to diagnose the cable networks. However, there is little public knowledge or systematic study on how to use these data to detect and localize cable network problems. Existing tools in the public domain have prohibitive high false-positive rates. In this paper, we propose CableMon, the first public-domain system that applies machine learning techniques to PNM data to improve the reliability of cable broadband networks. CableMon tackles two key challenges faced by cable ISPs: accurately detecting failures, and distinguishing whether a failure occurs within a network or at a subscriber's premise. CableMon uses statistical models to generate features from time series data and uses customer trouble tickets as hints to infer abnormal/failure thresholds for these generated features. Further, CableMon employs an unsupervised learning model to group cable devices sharing similar anomalous patterns and effectively identify impairments that occur inside a cable network and impairments occur at a subscriber's premise, as these two different faults require different types of technical personnel to repair them. We use eight months of PNM data and customer trouble tickets from an ISP and experimental deployment to evaluate CableMon's performance. Our evaluation results show that CableMon can effectively detect and distinguish failures from PNM data and outperforms existing public-domain tools.




Abstract:Image denoising is an appealing and challenging task, in that noise statistics of real-world observations may vary with local image contents and different image channels. Specifically, the green channel usually has twice the sampling rate in raw data. To handle noise variances and leverage such channel-wise prior information, we propose a simple and effective green channel prior-based image denoising (GCP-ID) method, which integrates GCP into the classic patch-based denoising framework. Briefly, we exploit the green channel to guide the search for similar patches, which aims to improve the patch grouping quality and encourage sparsity in the transform domain. The grouped image patches are then reformulated into RGGB arrays to explicitly characterize the density of green samples. Furthermore, to enhance the adaptivity of GCP-ID to various image contents, we cast the noise estimation problem into a classification task and train an effective estimator based on convolutional neural networks (CNNs). Experiments on real-world datasets demonstrate the competitive performance of the proposed GCP-ID method for image and video denoising applications in both raw and sRGB spaces. Our code is available at https://github.com/ZhaomingKong/GCP-ID.




Abstract:Directional motion towards a specified destination is a common occurrence in physical processes and human societal activities. Utilizing this prior information can significantly improve the control and predictive performance of system models. This paper primarily focuses on reconstructing linear dynamic system models based on destination constraints in the set-valued framework. We treat destination constraints as inherent information in the state evolution process and employ convex optimization techniques to construct a coherent and robust state model. This refined model effectively captures the impact of destination constraints on the state evolution at each time step. Furthermore, we design an optimal weight matrix for the reconstructed model to ensure smoother and more natural trajectories of state evolution. We also analyze the theoretical guarantee of optimality for this weight matrix and the properties of the reconstructed model. Finally, simulation experiments verify that the reconstructed model has significant advantages over the unconstrained and unoptimized weighted models and constrains the evolution of state trajectories with different starting and ending points.
Abstract:Noise removal in the standard RGB (sRGB) space remains a challenging task, in that the noise statistics of real-world images can be different in R, G and B channels. In fact, the green channel usually has twice the sampling rate in raw data and a higher signal-to-noise ratio than red/blue ones. However, the green channel prior (GCP) is often understated or ignored in color image denoising since many existing approaches mainly focus on modeling the relationship among image patches. In this paper, we propose a simple and effective one step GCP-based image denoising (GCP-ID) method, which aims to exploit the GCP for denoising in the sRGB space by integrating it into the classic nonlocal transform domain denoising framework. Briefly, we first take advantage of the green channel to guide the search of similar patches, which improves the patch search quality and encourages sparsity in the transform domain. Then we reformulate RGB patches into RGGB arrays to explicitly characterize the density of green samples. The block circulant representation is utilized to capture the cross-channel correlation and the channel redundancy. Experiments on both synthetic and real-world datasets demonstrate the competitive performance of the proposed GCP-ID method for the color image and video denoising tasks. The code is available at github.com/ZhaomingKong/GCP-ID.




Abstract:The advancement of imaging devices and countless images generated everyday pose an increasingly high demand on image denoising, which still remains a challenging task in terms of both effectiveness and efficiency. To improve denoising quality, numerous denoising techniques and approaches have been proposed in the past decades, including different transforms, regularization terms, algebraic representations and especially advanced deep neural network (DNN) architectures. Despite their sophistication, many methods may fail to achieve desirable results for simultaneous noise removal and fine detail preservation. In this paper, to investigate the applicability of existing denoising techniques, we compare a variety of denoising methods on both synthetic and real-world datasets for different applications. We also introduce a new dataset for benchmarking, and the evaluations are performed from four different perspectives including quantitative metrics, visual effects, human ratings and computational cost. Our experiments demonstrate: (i) the effectiveness and efficiency of representative traditional denoisers for various denoising tasks, (ii) a simple matrix-based algorithm may be able to produce similar results compared with its tensor counterparts, and (iii) the notable achievements of DNN models, which exhibit impressive generalization ability and show state-of-the-art performance on various datasets. In spite of the progress in recent years, we discuss shortcomings and possible extensions of existing techniques. Datasets, code and results are made publicly available and will be continuously updated at https://github.com/ZhaomingKong/Denoising-Comparison.




Abstract:Filtering multi-dimensional images such as color images, color videos, multispectral images and magnetic resonance images is challenging in terms of both effectiveness and efficiency. Leveraging the nonlocal self-similarity (NLSS) characteristic of images and sparse representation in the transform domain, the block-matching and 3D filtering (BM3D) based methods show powerful denoising performance. Recently, numerous new approaches with different regularization terms, transforms and advanced deep neural network (DNN) architectures are proposed to improve denoising quality. In this paper, we extensively compare over 60 methods on both synthetic and real-world datasets. We also introduce a new color image and video dataset for benchmarking, and our evaluations are performed from four different perspectives including quantitative metrics, visual effects, human ratings and computational cost. Comprehensive experiments demonstrate: (i) the effectiveness and efficiency of the BM3D family for various denoising tasks, (ii) a simple matrix-based algorithm could produce similar results compared with its tensor counterparts, and (iii) several DNN models trained with synthetic Gaussian noise show state-of-the-art performance on real-world color image and video datasets. Despite the progress in recent years, we discuss shortcomings and possible extensions of existing techniques. Datasets and codes for evaluation are made publicly available at https://github.com/ZhaomingKong/Denoising-Comparison.
Abstract:CANDECOMP/PARAFAC (CP) decomposition has been widely used to deal with multi-way data. For real-time or large-scale tensors, based on the ideas of randomized-sampling CP decomposition algorithm and online CP decomposition algorithm, a novel CP decomposition algorithm called randomized online CP decomposition (ROCP) is proposed in this paper. The proposed algorithm can avoid forming full Khatri-Rao product, which leads to boost the speed largely and reduce memory usage. The experimental results on synthetic data and real-world data show the ROCP algorithm is able to cope with CP decomposition for large-scale tensors with arbitrary number of dimensions. In addition, ROCP can reduce the computing time and memory usage dramatically, especially for large-scale tensors.




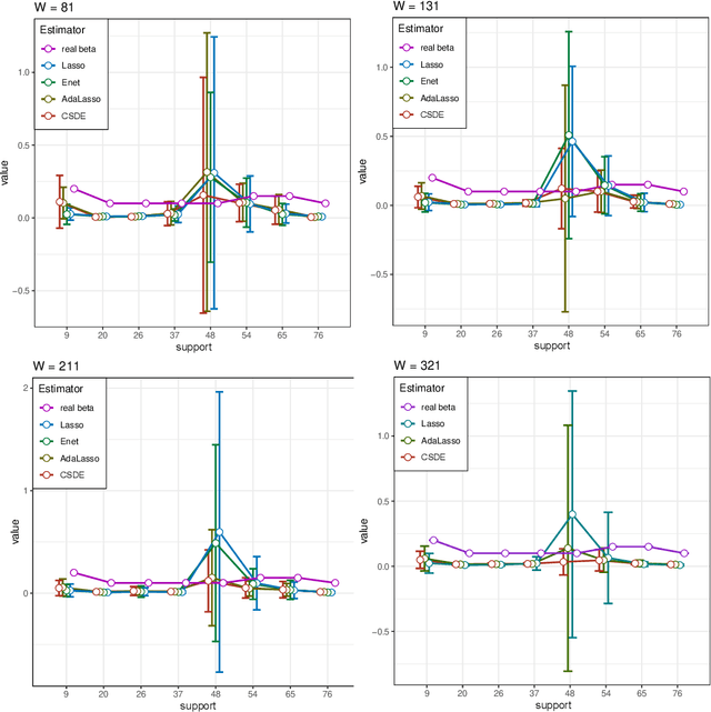
Abstract:This paper aims to build an estimate of an unknown density of the data with measurement error as a linear combination of functions of a dictionary. Inspired by penalization approach, we propose the weighted Elastic-net penalized minimal $L_2$-distance method for sparse coefficients estimation, where the weights adaptively coming from sharp concentration inequalities. The optimal weighted tuning parameters are obtained by the first-order conditions holding with high-probability. Under local coherence or minimal eigenvalue assumptions, non-asymptotical oracle inequalities are derived. These theoretical results are transposed to obtain the support recovery with high-probability. Then, the issue of calibrating these procedures is studied by some numerical experiments for discrete and continuous distributions, it shows the significant improvement obtained by our procedure when compared with other conventional approaches. Finally, the application is performed for a meteorology data set. It shows that our method has potency and superiority of detecting the shape of multi-mode density compared with other conventional approaches.