Abstract:We study data curation for multimodal reasoning through the NeurIPS 2025 Data Curation for Vision-Language Reasoning (DCVLR) challenge, which isolates dataset selection by fixing the model and training protocol. Using a compact curated dataset derived primarily from Walton Multimodal Cold Start, our submission placed first in the challenge. Through post-competition ablations, we show that difficulty-based example selection on an aligned base dataset is the dominant driver of performance gains. Increasing dataset size does not reliably improve mean accuracy under the fixed training recipe, but mainly reduces run-to-run variance, while commonly used diversity and synthetic augmentation heuristics provide no additional benefit and often degrade performance. These results characterize DCVLR as a saturation-regime evaluation and highlight the central role of alignment and difficulty in data-efficient multimodal reasoning.




Abstract:Summarization of legal judgments poses a heavy cognitive burden on law practitioners due to the complexity of the language, context-sensitive legal jargon, and the length of the document. Therefore, the automatic summarization of legal documents has attracted serious attention from natural language processing researchers. Since the abstractive summaries of legal documents generated by deep neural methods remain prone to the risk of misrepresenting nuanced legal jargon or overlooking key contextual details, we envisage a rising trend toward the use of extractive case summarizers. Given the high cost of human annotation for gold standard extractive summaries, we engineer a light and transparent pipeline that leverages existing abstractive gold standard summaries to create the corresponding extractive gold standard versions. The approach ensures that the experts` opinions ensconced in the original gold standard abstractive summaries are carried over to the transformed extractive summaries. We aim to augment seven existing case summarization datasets, which include abstractive summaries, by incorporating corresponding extractive summaries and create an enriched data resource for case summarization research community. To ensure the quality of the augmented extractive summaries, we perform an extensive comparative evaluation with the original abstractive gold standard summaries covering structural, lexical, and semantic dimensions. We also compare the domain-level information of the two summaries. We commit to release the augmented datasets in the public domain for use by the research community and believe that the resource will offer opportunities to advance the field of automatic summarization of legal documents.
Abstract:This paper presents an efficient preference elicitation framework for uncertain matroid optimization, where precise weight information is unavailable, but insights into possible weight values are accessible. The core innovation of our approach lies in its ability to systematically elicit user preferences, aligning the optimization process more closely with decision-makers' objectives. By incrementally querying preferences between pairs of elements, we iteratively refine the parametric uncertainty regions, leveraging the structural properties of matroids. Our method aims to achieve the exact optimum by reducing regret with a few elicitation rounds. Additionally, our approach avoids the computation of Minimax Regret and the use of Linear programming solvers at every iteration, unlike previous methods. Experimental results on four standard matroids demonstrate that our method reaches optimality more quickly and with fewer preference queries than existing techniques.




Abstract:Multimodal fusion learning has shown significant promise in classifying various diseases such as skin cancer and brain tumors. However, existing methods face three key limitations. First, they often lack generalizability to other diagnosis tasks due to their focus on a particular disease. Second, they do not fully leverage multiple health records from diverse modalities to learn robust complementary information. And finally, they typically rely on a single attention mechanism, missing the benefits of multiple attention strategies within and across various modalities. To address these issues, this paper proposes a dual robust information fusion attention mechanism (DRIFA) that leverages two attention modules, i.e. multi-branch fusion attention module and the multimodal information fusion attention module. DRIFA can be integrated with any deep neural network, forming a multimodal fusion learning framework denoted as DRIFA-Net. We show that the multi-branch fusion attention of DRIFA learns enhanced representations for each modality, such as dermoscopy, pap smear, MRI, and CT-scan, whereas multimodal information fusion attention module learns more refined multimodal shared representations, improving the network's generalization across multiple tasks and enhancing overall performance. Additionally, to estimate the uncertainty of DRIFA-Net predictions, we have employed an ensemble Monte Carlo dropout strategy. Extensive experiments on five publicly available datasets with diverse modalities demonstrate that our approach consistently outperforms state-of-the-art methods. The code is available at https://github.com/misti1203/DRIFA-Net.
Abstract:Landmark judgments are of prime importance in the Common Law System because of their exceptional jurisprudence and frequent references in other judgments. In this work, we leverage contextual references available in citing judgments to create an extractive summary of the target judgment. We evaluate the proposed algorithm on two datasets curated from the judgments of Indian Courts and find the results promising.




Abstract:Legal research is a crucial task in the practice of law. It requires intense human effort and intellectual prudence to research a legal case and prepare arguments. Recent boom in generative AI has not translated to proportionate rise in impactful legal applications, because of low trustworthiness and and the scarcity of specialized datasets for training Large Language Models (LLMs). This position paper explores the potential of LLMs within Legal Text Analytics (LTA), highlighting specific areas where the integration of human expertise can significantly enhance their performance to match that of experts. We introduce a novel dataset and describe a human centered, compound AI system that principally incorporates human inputs for performing LTA tasks with LLMs.
Abstract:Knowledge infusion is a promising method for enhancing Large Language Models for domain-specific NLP tasks rather than pre-training models over large data from scratch. These augmented LLMs typically depend on additional pre-training or knowledge prompts from an existing knowledge graph, which is impractical in many applications. In contrast, knowledge infusion directly from relevant documents is more generalisable and alleviates the need for structured knowledge graphs while also being useful for entities that are usually not found in any knowledge graph. With this motivation, we propose a simple yet generalisable approach for knowledge infusion by generating prompts from the context in the input text. Our experiments show the effectiveness of our approach which we evaluate by probing the fine-tuned LLMs.
Abstract:Generative language models, such as ChatGPT, have garnered attention for their ability to generate human-like writing in various fields, including academic research. The rapid proliferation of generated texts has bolstered the need for automatic identification to uphold transparency and trust in the information. However, these generated texts closely resemble human writing and often have subtle differences in the grammatical structure, tones, and patterns, which makes systematic scrutinization challenging. In this work, we attempt to detect the Abstracts generated by ChatGPT, which are much shorter in length and bounded. We extract the texts semantic and lexical properties and observe that traditional machine learning models can confidently detect these Abstracts.
Abstract:Recommender systems aim to enhance the overall user experience by providing tailored recommendations for a variety of products and services. These systems help users make more informed decisions, leading to greater user satisfaction with the platform. However, the implementation of these systems largely depends on the context, which can vary from recommending an item or package to a user or a group. This requires careful exploration of several models during the deployment, as there is no comprehensive and unified approach that deals with recommendations at different levels. Furthermore, these individual models must be closely attuned to their generated recommendations depending on the context to prevent significant variation in their generated recommendations. In this paper, we propose a novel unified recommendation framework that addresses all four recommendation tasks, namely personalized, group, package, or package-to-group recommendation, filling the gap in the current research landscape. The proposed framework can be integrated with most of the traditional matrix factorization-based collaborative filtering models. The idea is to enhance the formulation of the existing approaches by incorporating components focusing on the exploitation of the group and package latent factors. These components also help in exploiting a rich latent representation of the user/item by enforcing them to align closely with their corresponding group/package representation. We consider two prominent CF techniques, Regularized Matrix Factorization and Maximum Margin Matrix factorization, as the baseline models and demonstrate their customization to various recommendation tasks. Experiment results on two publicly available datasets are reported, comparing them to other baseline approaches that consider individual rating feedback for group or package recommendations.




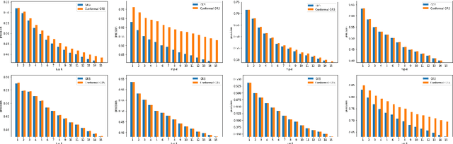
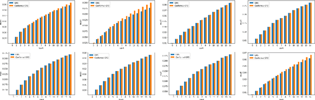
Abstract:Group recommender systems (GRS) are critical in discovering relevant items from a near-infinite inventory based on group preferences rather than individual preferences, like recommending a movie, restaurant, or tourist destination to a group of individuals. The traditional models of group recommendation are designed to act like a black box with a strict focus on improving recommendation accuracy, and most often, they place the onus on the users to interpret recommendations. In recent years, the focus of Recommender Systems (RS) research has shifted away from merely improving recommendation accuracy towards value additions such as confidence and explanation. In this work, we propose a conformal prediction framework that provides a measure of confidence with prediction in conjunction with a group recommender system to augment the system-generated plain recommendations. In the context of group recommender systems, we propose various nonconformity measures that play a vital role in the efficiency of the conformal framework. We also show that defined nonconformity satisfies the exchangeability property. Experimental results demonstrate the effectiveness of the proposed approach over several benchmark datasets. Furthermore, our proposed approach also satisfies validity and efficiency properties.