



Abstract:This paper investigates the role and the impact of control operations for dynamic mobile edge computing (MEC) empowered by Reconfigurable Intelligent Surfaces (RISs), in which multiple devices offload their computation tasks to an access point (AP) equipped with an edge server (ES), with the help of the RIS. While usually ignored, the control aspects related to channel estimation (CE), resource allocation (RA), and control signaling play a fundamental role in the user-perceived delay and energy consumption. In general, the higher the resources involved in the control operations, the higher their reliability; however, this introduces an overhead, which reduces the number of resources available for computation offloading, possibly increasing the overall latency experienced. Conversely, a lower control overhead translates to more resources available for computation offloading but impacts the CE accuracy and RA flexibility. This paper establishes a basic framework for integrating the impact of control operations in the performance evaluation of the RIS-aided MEC paradigm, clarifying their trade-offs through theoretical analysis and numerical simulations.
Abstract:Consider an active learning setting in which a learner has a training set with few labeled examples and a pool set with many unlabeled inputs, while a remote teacher has a pre-trained model that is known to perform well for the learner's task. The learner actively transmits batches of unlabeled inputs to the teacher through a constrained communication channel for labeling. This paper addresses the following key questions: (i) Active batch selection: Which batch of inputs should be sent to the teacher to acquire the most useful information and thus reduce the number of required communication rounds? (ii) Batch encoding: How do we encode the batch of inputs for transmission to the teacher to reduce the communication resources required at each round? We introduce Communication-Constrained Bayesian Active Knowledge Distillation (CC-BAKD), a novel protocol that integrates Bayesian active learning with compression via a linear mix-up mechanism. Bayesian active learning selects the batch of inputs based on their epistemic uncertainty, addressing the "confirmation bias" that is known to increase the number of required communication rounds. Furthermore, the proposed mix-up compression strategy is integrated with the epistemic uncertainty-based active batch selection process to reduce the communication overhead per communication round.


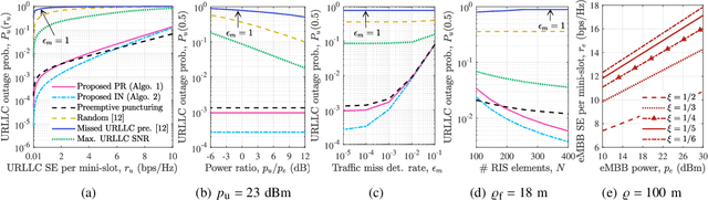
Abstract:Reconfigurable intelligent surfaces (RISs) with their potential of enabling a programmable environment comprise a promising technology to support the coexistence of enhanced mobile broadband (eMBB) and ultra-reliable-low-latency communication (URLLC) services. In this paper, we propose a RIS-assisted scheme for multiplexing hybrid eMBB-URLLC uplink traffic. Specifically, the scheme relies on the computation of two RIS configurations, given that only eMBB channel state information (CSI) is available. The first configuration optimizes the eMBB quality of service, while the second one mitigates the eMBB interference in the URLLC traffic. Analyzing the outage probability achieved by the scheme, we demonstrate that a RIS can improve the reliability of URLLC transmissions even in the absence of URLLC CSI.




Abstract:To obviate the control of reflective intelligent surfaces (RISs) and the related control overhead, recent works envisioned autonomous and self-configuring RISs that do not need explicit use of control channels. Instead, these devices, named hybrid RISs (HRISs), are equipped with receiving radio-frequency (RF) chains and can perform sensing operations to act independently and in parallel to the other network entities. A natural problem then emerges: as the HRIS operates concurrently with the communication protocols, how should its operation modes be scheduled in time such that it helps the network while minimizing any undesirable effects? In this paper, we propose an orchestration framework that answers this question revealing an engineering trade-off, called the self-configuring trade-off, that characterizes the applicability of self-configuring HRISs under the consideration of massive multiple-input multiple-output (mMIMO) networks. We evaluate our proposed framework considering two different HRIS hardware architectures, the power- and signal-based HRISs that differ in their hardware complexity. The numerical results show that the self-configuring HRIS can offer significant performance gains when adopting our framework.




Abstract:The research on Reconfigurable Intelligent Surfaces (RISs) has dominantly been focused on physical-layer aspects and analyses of the achievable adaptation of the propagation environment. Compared to that, the questions related to link/MAC protocol and system-level integration of RISs have received much less attention. This paper addresses the problem of designing and analyzing control/signaling procedures, which are necessary for the integration of RISs as a new type of network element within the overall wireless infrastructure. We build a general model for designing control channels along two dimensions: i) allocated bandwidth (in-band and out-of band) and ii) rate selection (multiplexing or diversity). Specifically, the second dimension results in two transmission schemes, one based on channel estimation and the subsequent adapted RIS configuration, while the other is based on sweeping through predefined RIS phase profiles. The paper analyzes the performance of the control channel in multiple communication setups, obtained as combinations of the aforementioned dimensions. While necessarily simplified, our analysis reveals the basic trade-offs in designing control channels and the associated communication algorithms. Perhaps the main value of this work is to serve as a framework for subsequent design and analysis of various system-level aspects related to the RIS technology.
Abstract:We introduce OnRMap, an online radio mapping (RMap) approach for the sensing and localization of active users (AUs), devices that are transmitting radio signals, and passive elements (PEs), elements that are in the environment and are illuminated by the AUs' radio signals. OnRMap processes the signals received by a large intelligent surface and produces a radio map (RM) of the environment based on signal processing techniques. The method then senses and locate the different elements without the need for offline scanning phases, which is important for environments with frequently changing spatial layouts. Empirical results demonstrate that OnRMap presents a higher localization accuracy than an offline method, but the price paid for being an online method is a moderate reduction in the detection rate.




Abstract:A reconfigurable intelligent surface (RIS) can shape the wireless propagation channel by inducing controlled phase shift variations to the impinging signals. Multiple works have considered the use of RIS by time-varying configurations of reflection coefficients. In this work we use the RIS to control the channel coherence time and introduce a generalized discrete-time-varying channel model for RIS-aided systems. We characterize the temporal variation of channel correlation by assuming that a configuration of RIS' elements changes at every time step. The analysis converges to a randomized framework to control the channel coherence time by setting the number of RIS' elements and their phase shifts. The main result is a framework for a flexible block-fading model, where the number of samples within a coherence block can be dynamically adapted.




Abstract:The widespread adoption of Reconfigurable Intelligent Surfaces (RISs) in future practical wireless systems is critically dependent on the design and implementation of efficient access protocols, an issue that has received less attention in the research literature. In this paper, we propose a grant-free random access (RA) protocol for a RIS-assisted wireless communication setting, where a massive number of users' equipment (UEs) try to access an access point (AP). The proposed protocol relies on a channel oracle, which enables the UEs to infer the best RIS configurations that provide opportunistic access to UEs. The inference is based on a model created during a training phase with a greatly reduced set of RIS configurations. Specifically, we consider a system whose operation is divided into three blocks: i) a downlink training block, which trains the model used by the oracle, ii) an uplink access block, where the oracle infers the best access slots, and iii) a downlink acknowledgment block, which provides feedback to the UEs that were successfully decoded by the AP during access. Numerical results show that the proper integration of the RIS into the protocol design is able to increase the expected end-to-end throughput by approximately 40% regarding the regular repetition slotted ALOHA protocol.



Abstract:Reconfigurable intelligent surfaces (RISs) are arrays of passive elements that can control the reflection of the incident electromagnetic waves. While RIS are particularly useful to avoid blockages, the protocol aspects for their implementation have been largely overlooked. In this paper, we devise a random access protocol for a RIS-assisted wireless communication setting. Rather than tailoring RIS reflections to meet the positions of users equipment (UEs), our protocol relies on a finite set of RIS configurations designed to cover the area of interest. The protocol is comprised of a downlink training phase followed by an uplink access phase. During these phases, a base station (BS) controls the RIS to sweep over its configurations. The UEs then receive training signals to measure the channel quality with the different RIS configurations and refine their access policies. Numerical results show that our protocol increases the average number of successful access attempts; however, at the expense of increased access delay due to the realization of a training period. Promising results are further observed in scenarios with a high access load.




Abstract:In a cell-free massive multiple-input multiple-output (mMIMO) network, multiple access points (APs) actively cooperate to serve users' equipment (UEs). We consider how the problem of random access (RA) to pilots can be addressed by such a network under the occurrence of pilot collisions. To find a solution, we embrace the user-centric perspective, which basically dictates that only a preferred subset of APs needs to service a UE. Due to the success of the strongest-user collision resolution (SUCRe) protocol for cellular mMIMO, we propose an extension of SUCRe considering the new setting. During the extension process, we observe that the user-centric perspective naturally equips a cell-free network with a method for resolving collisions. We refer to this method as spatial separability, which comes from the macro-diversity brought about by the additional AP dimension. We then propose two novel RA protocols for cell-free mMIMO: i) the baseline cell-free (BCF) that resolves collisions with the concept of separability alone and ii) the cell-free SUCRe (CF-SUCRe) that combines SUCRe and spatial separability to resolve collisions. We evaluate our proposed RA protocols against the cellular SUCRe (Ce-SUCRe). The BCF and CF-SUCRe perform 6x to 2x better on average compared to the Ce-SUCRe with an average energy efficiency gain of 45x to 125x, respectively. Among our methods, even with a higher overhead, the CF-SUCRe is superior to BCF because the combination of methods for collision resolution allows many APs to be disconnected from RA without sacrificing much performance.