



Abstract:This chapter delves into the critical aspects of optimizing energy efficiency (EE) in active reconfigurable intelligent surface (RIS)-assisted massive MIMO (M-MIMO) wireless communication systems. We develop a comprehensive and unified theoretical framework to analyze the boundaries of EE within M-MIMO systems integrated with active RIS while adhering to practical constraints. Our research focuses on a formulated EE optimization problem aiming to maximize the EE for active RIS-assisted M-MIMO communication systems. Our goal is to strategically find the number of active RIS elements for outperforming the EE attainable by an entirely passive RIS. Besides, the proposed novel solution has been tailored to the innovative problem. The formulation and solution design consider analytical optimization techniques, such as lagrangian dual transform (LDT) and fractional programming (FP) optimization, facilitating the effective implementation of RIS-aided M-MIMO applications in real-world settings. In particular, our results show that the proposed algorithm can provide up to 120% higher EE than the entirely passive RIS. Besides, we found that the active RIS can operate with less than half of the reflecting elements for the entirely passive RIS. Finally, in view of active RIS achieving the complete utilization of amplification power available, it should be equipped with a reasonable number of reflecting elements above N = 49.
Abstract:We propose a novel random access (RA) protocol that accounts for the network traffic in mixed URLLC-mMTC scenarios. By considering an IoT environment under high mMTC traffic demand, we model the traffic of each service using realistic statistical models, with the mMTC and URLLC use modes presenting a long-term traffic regularity. A long-short term memory (LSTM) neural network (NN) is used as a network traffic predictor, enabling a traffic-aware resource slicing (RS) scheme, aided by a contention access control barring (ACB)-based procedure. The proposed method combines a grant-based RA scheme, where it is introduced an intermediate step in grant-free RA, to deal with collisions. The protocol presents a small overhead, supporting a higher number of packets in a frame thanks to the congestion alleviation enabled by the ACB procedure. Numerical results show the effectiveness in combining the three procedures in terms of accuracy for traffic prediction, resource utilization and channel loading for RS, and increased throughput.% for the proposed LSTM-ACB-based RA protocol. The comparison with a grant-free benchmark reveals substantial improvement in system performance.
Abstract:A novel random access (RA) scheme for mixed URLLC-mMTC traffic scenario is proposed using realistic statistical models, with the use mode presenting long-term traffic regularity. The traffic is predicted by a long short-term memory neural network, which enables a traffic-aware resource slicing aided by contention access class barring-based procedure. The method combines a grant-free (GF) RA scheme with an intermediate step to congestion alleviation. The protocol trade-off is a small overhead while enabling a higher number of decoded received packets thanks to the intermediate step. Numerical results evaluate the system performance for each procedure and combined solution. A comparison with GF benchmark reveals substantial improvement in system performance.




Abstract:In a cell-free massive multiple-input multiple-output (mMIMO) network, multiple access points (APs) actively cooperate to serve users' equipment (UEs). We consider how the problem of random access (RA) to pilots can be addressed by such a network under the occurrence of pilot collisions. To find a solution, we embrace the user-centric perspective, which basically dictates that only a preferred subset of APs needs to service a UE. Due to the success of the strongest-user collision resolution (SUCRe) protocol for cellular mMIMO, we propose an extension of SUCRe considering the new setting. During the extension process, we observe that the user-centric perspective naturally equips a cell-free network with a method for resolving collisions. We refer to this method as spatial separability, which comes from the macro-diversity brought about by the additional AP dimension. We then propose two novel RA protocols for cell-free mMIMO: i) the baseline cell-free (BCF) that resolves collisions with the concept of separability alone and ii) the cell-free SUCRe (CF-SUCRe) that combines SUCRe and spatial separability to resolve collisions. We evaluate our proposed RA protocols against the cellular SUCRe (Ce-SUCRe). The BCF and CF-SUCRe perform 6x to 2x better on average compared to the Ce-SUCRe with an average energy efficiency gain of 45x to 125x, respectively. Among our methods, even with a higher overhead, the CF-SUCRe is superior to BCF because the combination of methods for collision resolution allows many APs to be disconnected from RA without sacrificing much performance.




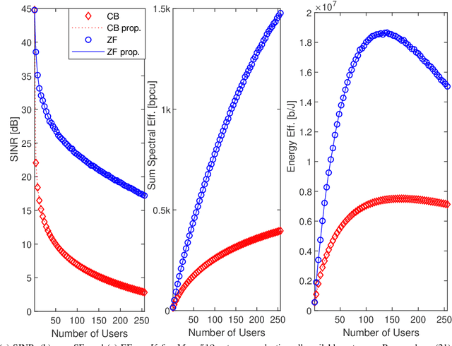
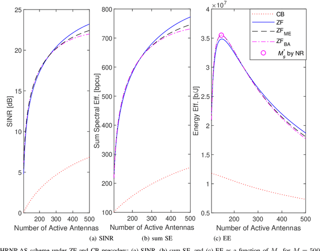
Abstract:We consider the recently proposed extra-large scale massive multiple-input multiple-output (XL-MIMO) systems, with some hundreds of antennas serving a smaller number of users. Since the array length is of the same order as the distance to the users, the long-term fading coefficients of a given user vary with the different antennas at the base station (BS). Thus, the signal transmitted by some antennas might reach the user with much more power than that transmitted by some others. From a green perspective, it is not effective to simultaneously activate hundreds or even thousands of antennas, since the power-hungry radio frequency (RF) chains of the active antennas increase significantly the total energy consumption. Besides, a larger number of selected antennas increases the power required by linear processing, such as precoding matrix computation, and short-term channel estimation. In this paper, we propose four antenna selection (AS) approaches to be deployed in XL-MIMO systems aiming at maximizing the total energy efficiency (EE). Besides, employing some simplifying assumptions, we derive a closed-form analytical expression for the EE of the XL-MIMO system, and propose a straightforward iterative method to determine the optimal number of selected antennas able to maximize it. The proposed AS schemes are based solely on long-term fading parameters, thus, the selected antennas set remains valid for a relatively large time/frequency intervals. Comparing the results, we find that the genetic-algorithm based AS scheme usually achieves the best EE performance, although our proposed highest normalized received power AS scheme also achieves very promising EE performance in a simple and straightforward way.