Abstract:This paper presents a feature-based Partially Observable Markov Decision Process (POMDP) framework for quantum network routing, combining belief-state planning with Graph Neural Networks (GNNs) to address partial observability, decoherence, and scalability challenges in dynamic quantum systems. Our approach encodes complex quantum network dynamics, including entanglement degradation and time-varying channel noise, into a low-dimensional feature space, enabling efficient belief updates and scalable policy learning. The core of our framework is a hybrid GNN-POMDP architecture that processes graph-structured representations of entangled links to learn routing policies, coupled with a noise-adaptive mechanism that fuses POMDP belief updates with GNN outputs for robust decision making. We provide a theoretical analysis establishing guarantees for belief convergence, policy improvement, and robustness to noise. Experiments on simulated quantum networks with up to 100 nodes demonstrate significant improvements in routing fidelity and entanglement delivery rates compared to state-of-the-art baselines, particularly under high decoherence and nonstationary conditions.
Abstract:We introduce a comprehensive framework for the detection and demodulation of covert electromagnetic signals using solid-state spin sensors. Our approach, named RAPID, is a two-stage hybrid strategy that leverages nitrogen-vacancy (NV) centers to operate below the classical noise floor employing a robust adaptive policy via imitation and distillation. We first formulate the joint detection and estimation task as a unified stochastic optimal control problem, optimizing a composite Bayesian risk objective under realistic physical constraints. The RAPID algorithm solves this by first computing a robust, non-adaptive baseline protocol grounded in the quantum Fisher information matrix (QFIM), and then using this baseline to warm-start an online, adaptive policy learned via deep reinforcement learning (Soft Actor-Critic). This method dynamically optimizes control pulses, interrogation times, and measurement bases to maximize information gain while actively suppressing non-Markovian noise and decoherence. Numerical simulations demonstrate that the protocol achieves a significant sensitivity gain over static methods, maintains high estimation precision in correlated noise environments, and, when applied to sensor arrays, enables coherent quantum beamforming that achieves Heisenberg-like scaling in precision. This work establishes a theoretically rigorous and practically viable pathway for deploying quantum sensors in security-critical applications such as electronic warfare and covert surveillance.
Abstract:We propose a joint learning framework for Byzantine-resilient spectrum sensing and secure intelligent reflecting surface (IRS)--assisted opportunistic access under channel state information (CSI) uncertainty. The sensing stage performs logit-domain Bayesian updates with trimmed aggregation and attention-weighted consensus, and the base station (BS) fuses network beliefs with a conservative minimum rule, preserving detection accuracy under a bounded number of Byzantine users. Conditioned on the sensing outcome, we pose downlink design as sum mean-squared error (MSE) minimization under transmit-power and signal-leakage constraints and jointly optimize the BS precoder, IRS phase shifts, and user equalizers. With partial (or known) CSI, we develop an augmented-Lagrangian alternating algorithm with projected updates and provide provable sublinear convergence, with accelerated rates under mild local curvature. With unknown CSI, we perform constrained Bayesian optimization (BO) in a geometry-aware low-dimensional latent space using Gaussian process (GP) surrogates; we prove regret bounds for a constrained upper confidence bound (UCB) variant of the BO module, and demonstrate strong empirical performance of the implemented procedure. Simulations across diverse network conditions show higher detection probability at fixed false-alarm rate under adversarial attacks, large reductions in sum MSE for honest users, strong suppression of eavesdropper signal power, and fast convergence. The framework offers a practical path to secure opportunistic communication that adapts to CSI availability while coherently coordinating sensing and transmission through joint learning.
Abstract:Early and accurate interpretation of screening mammograms is essential for effective breast cancer detection, yet it remains a complex challenge due to subtle imaging findings and diagnostic ambiguity. Many existing AI approaches fall short by focusing on single view inputs or single-task outputs, limiting their clinical utility. To address these limitations, we propose a novel multi-view, multitask hybrid deep learning framework that processes all four standard mammography views and jointly predicts diagnostic labels and BI-RADS scores for each breast. Our architecture integrates a hybrid CNN VSSM backbone, combining convolutional encoders for rich local feature extraction with Visual State Space Models (VSSMs) to capture global contextual dependencies. To improve robustness and interpretability, we incorporate a gated attention-based fusion module that dynamically weights information across views, effectively handling cases with missing data. We conduct extensive experiments across diagnostic tasks of varying complexity, benchmarking our proposed hybrid models against baseline CNN architectures and VSSM models in both single task and multi task learning settings. Across all tasks, the hybrid models consistently outperform the baselines. In the binary BI-RADS 1 vs. 5 classification task, the shared hybrid model achieves an AUC of 0.9967 and an F1 score of 0.9830. For the more challenging ternary classification, it attains an F1 score of 0.7790, while in the five-class BI-RADS task, the best F1 score reaches 0.4904. These results highlight the effectiveness of the proposed hybrid framework and underscore both the potential and limitations of multitask learning for improving diagnostic performance and enabling clinically meaningful mammography analysis.




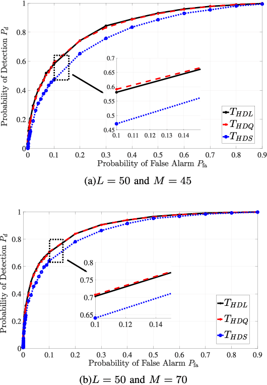
Abstract:We investigate the problem of spectrum sensing in cognitive radios (CRs) when the receivers are equipped with a large array of antennas. We propose and derive three detectors based on the concept of linear spectral statistics (LSS) in the field of random matrix theory (RMT). These detectors correspond to the generalized likelihood ratio (GLR), Frobenius norm, and Rao tests employed in conventional multiple antenna spectrum sensing (MASS). Subsequently, we compute the Gaussian distribution of the proposed detectors under the noise-only hypothesis, leveraging the central limit theorem (CLT) applied to high-dimensional random matrices. We evaluate the performance of the proposed detectors and analyze the impact of the number of antennas and samples on their efficacy. Furthermore, we assess the accuracy of the theoretical results by comparing them with simulation outcomes. The simulation results provide evidence that the proposed detectors exhibit efficient performance in wireless networks featuring large array antennas. These detectors find practical applications in diverse domains, including massive MIMO wireless communications, radar systems, and astronomical applications.
Abstract:The deployment of low earth orbit (LEO) satellites with terrestrial networks can potentially increase the efficiency and reduce the cost of relaying content from a data center to a set of edge caches hosted by 6G and beyond enabled macro base stations. In this work, the characteristics of the communication system and the mobility of LEO satellites are thoroughly discussed to describe the channel characteristics of LEO satellites, in terms of their frequency bands, latency, Doppler shifts, fading effects, and satellite access. Three different scenarios are proposed for the relay of data from data centers to edge caches via LEO satellites, which are the "Immediate Forward", "Relay and Forward", and "Store and Forward" scenarios. A comparative problem formulation is utilized to obtain numerical results from simulations to demonstrate the effectiveness and validity as well as the trade-offs of the proposed system model. The simulation results indicate that the integration of LEO satellites in edge caching for 6G and beyond networks decreased the required transmission power for relaying the data from the data center to the edge caches. Future research directions based on the proposed model are discussed.




Abstract:We investigate THz communication uplink multiple access using cascaded intelligent reflecting surfaces (IRSs) assuming correlated channels. Two independent objectives to be achieved via adjusting the phases of the cascaded IRSs: 1) maximizing the received rate of a desired user under interference from the second user and 2) maximizing the sum rate of both users. The resulting optimization problems are non-convex. For the first objective, we devise a sub-optimal analytical solution by maximizing the received power of the desired user, however, this results in an over determined system. Approximate solutions using pseudo-inverse and block-based approaches are attempted. For the second objective, a loose upperbound is derived and an exhaustive search solution is utilized. We then use deep reinforcement learning (DRL) to solve both objectives. Results reveal the suitability of DRL for such complex configurations. For the first objective, the DRL-based solution is superior to the sub-optimal mathematical methods, while for the second objective, it produces sum rates almost close to the exhaustive search. Further, the results reveal that as the correlation-coefficient increases, the sum rate of DRL increases, since it benefits from the presence of correlation in the channel to improve statistical learning.




Abstract:This paper focuses on providing an analytical framework for the quantification and evaluation of the pointing error for a general case at high-frequency millimeter wave (mmWave) and terahertz (THz) communication links. For this aim, we first derive the the probability density function (PDF) and cumulative distribution functions (CDF) of the pointing error between an unstable transmitter (Tx) and receiver (Rx), that have different antenna patterns and for which the vibrations are not similar in the Yaw and Pitch directions. The special case where the Tx and Rx are both equipped with uniform linear array antenna is also investigated. In addition, using $\alpha-\mu$ distribution, which is a valid model for small-scale fading of mmWave/THz links, the end-to-end PDF and CDF of the considered channel is derived for all the considered cases. Finally, by employing Monte-Carlo simulations, the accuracy of the analytical expressions is verified and the performance of the system is studied.




Abstract:We propose a fixed wing unmanned aerial vehicles (UAV)-based millimeter wave (mmWave) backhaul links, that is offered as a cost effective and easy to deploy solution, to connect a disaster or remote area to the nearest core network. First, we fully characterize the single relay fixed-wing UAV-based communication system by taking into account the effects of realistic physical parameters, such as the UAV's circular path, critical points of the flight path, heights and positions of obstacles, flight altitude, tracking error, the severity of UAV's vibrations, the real 3D antenna pattern, mmWave atmospheric channel loss, temperature and air pressure. Second, we derive the distribution of the signal-to-noise ratio (SNR) metric, which is based on the sum of a series of Dirac delta functions. Using the SNR distribution, we derive closed-form expressions for the outage probability and the ergodic capacity of the considered system as a function of all system parameters. To provide an acceptable quality of service for longer link lengths, we extend the analytical expressions to a multi-relay system. The accuracy of the closed-form expressions are verified by Monte-Carlo simulations. Finally, by providing sufficient simulation results, we investigate the effects of key channel parameters such as antenna pattern gain and flight path on the performance of the considered system; and we carefully analyze the relationships between these parameters in order to maximize the average channel capacity.




Abstract:The main contribution of this paper is to analyze a long networked flying platform (NFP)-based millimeter wave (mmWave) backhaul link that is offered as a cost effective and easy to deploy solution to connect a disaster or remote area to the nearest core network. For this aim, we characterize the backhaul channel as a function of realistic physical parameters such as heights and distances of obstacles along the route, flight altitude and the intensity of NFPs' vibrations, the real 3D antenna pattern provided by 3GPP, etc. For the characterized channel, we derive an analytical closed-form expression for the outage probability. Finally, using the obtained results, we provide a fast algorithm for the optimal parameter design of the considered system that minimizes the cost.