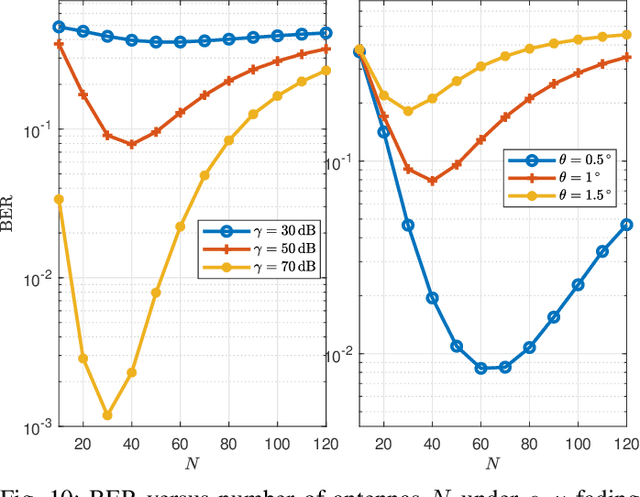
Abstract:This paper presents an efficient analytical framework for evaluating the performance of inter-satellite communication systems utilizing orbital angular momentum (OAM) beams under pointing errors. An accurate analytical model is first developed to characterize intermodal crosstalk caused by beam misalignment in OAM-based inter-satellite links. Building upon this model, we derive efficient expressions to analyze and optimize system performance in terms of bit error rate (BER). Unlike traditional Monte Carlo-based methods that are computationally intensive, the proposed approach offers accurate performance predictions. This enables a substantial decrease in computation time while maintaining high accuracy, thanks to the use of analytical expressions for both crosstalk and BER. This fast and accurate evaluation capability is particularly critical for dynamic low Earth orbit (LEO) satellite constellations, where network topology and channel conditions change rapidly, requiring real-time link adaptation. Furthermore, we systematically design and evaluate asymmetric OAM mode sets, which significantly outperform symmetric configurations in the presence of pointing errors. Our results also reveal key insights into the interaction between beam divergence, tracking accuracy, and link distance, demonstrating that the proposed framework enables real-time optimization of system parameters with high fidelity. The analytical findings are rigorously validated against extensive Monte Carlo simulations, confirming their practical applicability for high-mobility optical wireless systems such as LEO satellite networks.
Abstract:Entanglement-based quantum key distribution (QKD) protocols, such as E91 and BBM92, offer strong information-theoretic security and are naturally suited for satellite-to-satellite QKD (SatQKD) links. However, implementing these protocols over long-distance inter-satellite free-space optical (FSO) channels poses critical physical-layer challenges that are not addressed in the existing literature. In particular, photon losses due to beam divergence, pointing errors, and background noise can severely degrade the key generation rate and quantum bit error rate (QBER), especially under narrow receiver field-of-view (FoV) constraints. This paper presents a comprehensive performance analysis of entanglement-based inter-satellite QKD, focusing on photon-level modeling and the impact of practical impairments. We develop analytical expressions for signal detection probabilities, background photon influence, multi-pair emissions, and QBER, incorporating key parameters such as link distance, transmitter tracking jitter, receiver misalignment, and photon pair generation rate. Simulation results reveal the nonlinear sensitivity of system performance to tracking error and FoV limitations, and highlight optimal parameter regimes that jointly maximize secret key rate while maintaining QBER below acceptable thresholds. The proposed model provides actionable design insights for reliable and efficient deployment of entanglement-based SatQKD systems.
Abstract:Unmanned Aerial Vehicles (UAVs) have emerged as a critical component in next-generation wireless networks, particularly for disaster recovery scenarios, due to their flexibility, mobility, and rapid deployment capabilities. This paper focuses on optimizing UAV trajectories to ensure effective communication in disaster-stricken areas using terahertz (THz) links. We address specific challenges such as energy consumption, user priority levels, and navigating complex urban environments to maintain Line of Sight (LoS) connections amidst 3D obstacles. Our contributions include the development of a detailed modeling approach using online 3D map data, the formulation of an optimal trajectory optimization problem, and the proposal of a Genetic Algorithm (GA)-based method alongside an enhanced heuristic algorithm for faster convergence. Through 3D simulations, we demonstrate the trade-off between minimizing total service time and prioritizing higher-weight nodes, showing the impact of different priority weight factors on the trajectory time. The proposed algorithms are evaluated using real-world data from the West Bay area of Doha, Qatar, demonstrating their effectiveness in optimizing UAV trajectories for emergency response.
Abstract:Terahertz (THz) links require a line-of-sight (LoS) connection, which is hard to be obtained in most scenarios. For THz communications, analyses based on LoS probability are not accurate, and a new real LoS model should be considered to determine the LoS status of the link in a real 3D environment. Considering unmanned aerial vehicle (UAV)-based THz networks, LoS coverage is analyzed in this work, where nodes are accurately determined to be in LoS or not. Specifically, by modeling an environment with 3D blocks, our target is to locate a set of UAVs equipped with directional THz links to provide LoS connectivity for the distributed users among the 3D obstacles. To this end, we first characterize and model the environment with 3D blocks. Then, we propose a user-friendly algorithm based on 3D spatial vectors, which determines the LoS status of nodes in the target area. In addition, using 3D modeling, several meta-heuristic algorithms are proposed for UAVs' positioning under 3D blocks in order to maximize the LoS coverage percentage. In the second part of the paper, for a UAV-based THz communication network, a geometrical analysis-based algorithm is proposed, which jointly clusters the distributed nodes and locates the set of UAVs to maximize average network capacity while ensuring the LoS state of distributed nodes among 3D obstacles. Moreover, we also propose a sub-optimal hybrid k-means-geometrical-based algorithm with a low computational complexity that can be used for networks where the topology continuously changes, and thus, users' clustering and UAVs' positioning need to be regularly updated. Finally, by providing various 3D simulations, we evaluate the effect of various system parameters such as the number and heights of UAVs, as well as the density and height of 3D obstacles on the LoS coverage.
Abstract:This paper focuses on the optimal design of a modulated retroreflector (MRR) laser link to establish a high-speed downlink for cube satellites (CubeSats), taking into account the weight and power limitations commonly encountered by these tiny satellites. To this end, first, a comprehensive channel modeling is conducted considering key real channel parameters including mechanical gimbal error, fast steering mirror angle error, laser beamwidth, MRR area, atmospheric turbulence, and channel coherence time. Accordingly, a closed-form expression for the distribution of the received signal is derived and utilized to propose a maximum likelihood based method to sense and estimate the initial position of the satellite. Subsequently, the distribution of the distance estimation error during the sensing phase is formulated as a function of the laser beamwidth and the gimbal error, which enables us to fine-tune the optimal laser beamwidth to minimize sensing time. Moreover, using the sensing and initial satellite distance estimation, two positioning algorithms are proposed. To compare the performance of the proposed positioning method, we obtain the lower bound of the positioning error as a benchmark. Finally, by providing comprehensive simulations, we evaluate the effect of different parameters on the performance of the considered MRR-based system in both the sensing and positioning phases.




Abstract:As an alternative solution for quick disaster recovery of backhaul/fronthaul links, in this paper, a dynamic unmanned aerial vehicles (UAV)-assisted heterogeneous (HetNet) network equipped with directional terahertz (THz) antennas is studied to solve the problem of transferring traffic of distributed small cells. To this end, we first characterize a detailed three-dimensional modeling of the dynamic UAV-assisted HetNet, and then, we formulate the problem for UAV trajectory to minimize the maximum outage probability of directional THz links. Then, using deep reinforcement learning (DRL) method, we propose an efficient algorithm to learn the optimal trajectory. Finally, using simulations, we investigate the performance of the proposed DRL-based trajectory method.




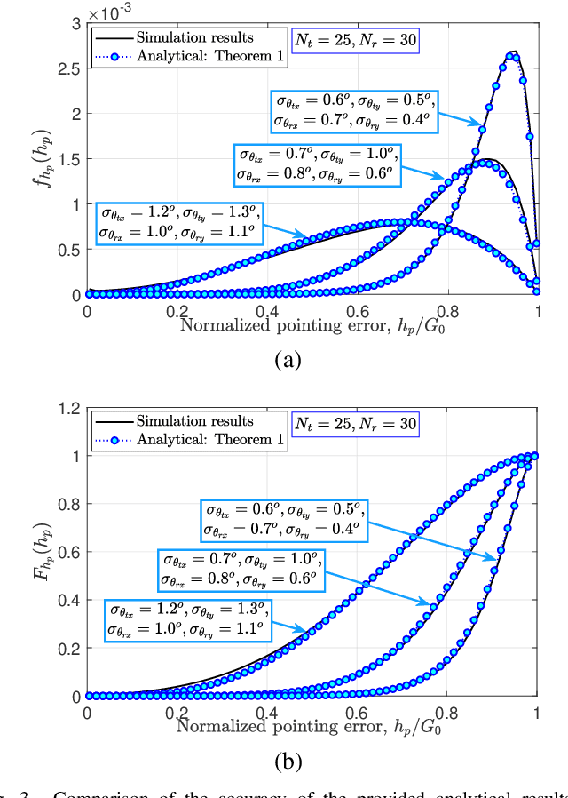
Abstract:This paper focuses on providing an analytical framework for the quantification and evaluation of the pointing error for a general case at high-frequency millimeter wave (mmWave) and terahertz (THz) communication links. For this aim, we first derive the the probability density function (PDF) and cumulative distribution functions (CDF) of the pointing error between an unstable transmitter (Tx) and receiver (Rx), that have different antenna patterns and for which the vibrations are not similar in the Yaw and Pitch directions. The special case where the Tx and Rx are both equipped with uniform linear array antenna is also investigated. In addition, using $\alpha-\mu$ distribution, which is a valid model for small-scale fading of mmWave/THz links, the end-to-end PDF and CDF of the considered channel is derived for all the considered cases. Finally, by employing Monte-Carlo simulations, the accuracy of the analytical expressions is verified and the performance of the system is studied.




Abstract:In this paper, an unmanned aerial vehicles (UAV)-based heterogeneous network is studied to solve the problem of transferring massive traffic of distributed small cells to the core network. First, a detailed three-dimensional (3D) model of the downlink channel is characterized by taking into account the real antenna pattern, UAVs' vibrations, random distribution of small cell base stations (SBSs), and the position of UAVs in 3D space. Then, a rigorous analysis of interference is performed for two types pf interference: intra-cell interference and inter-cell interference. The interference analysis results are then used to derive an upper bound of outage probability on the considered system. Using numerical results show that the analytical and simulation results match one another. The results show that, in the presence of UAV's fluctuations, optimizing radiation pattern shape requires balancing an inherent tradeoff between increasing pattern gain to reduce the interference as well as to compensate large path loss at mmWave frequencies and decreasing it to alleviate the adverse effect of a UAV's vibrations. The analytical derivations enable the derivation of the optimal antenna pattern for any condition in a short time instead of using time-consuming extensive simulations.




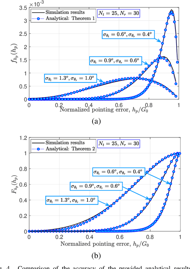
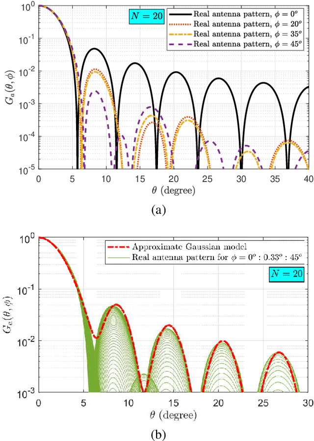
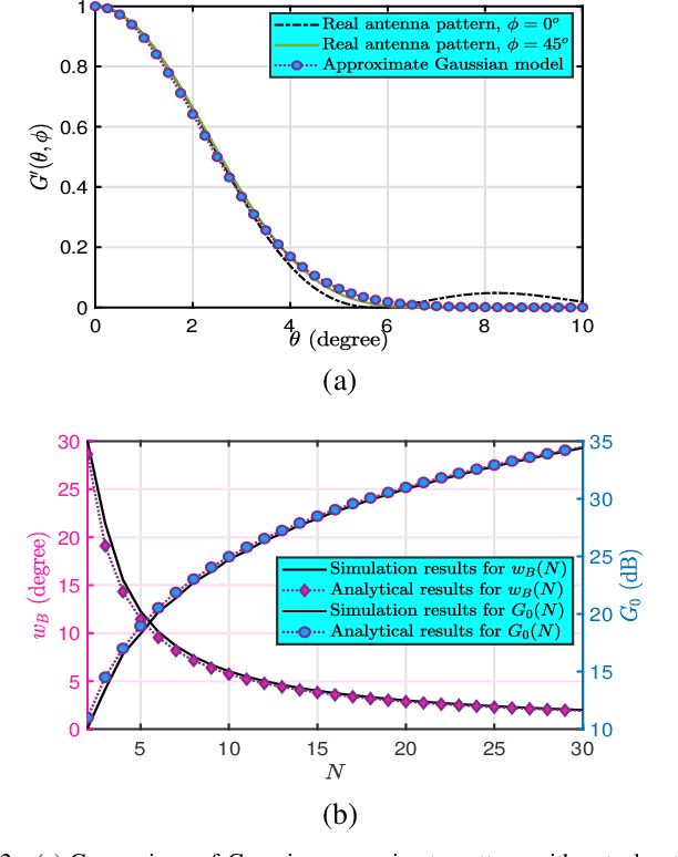
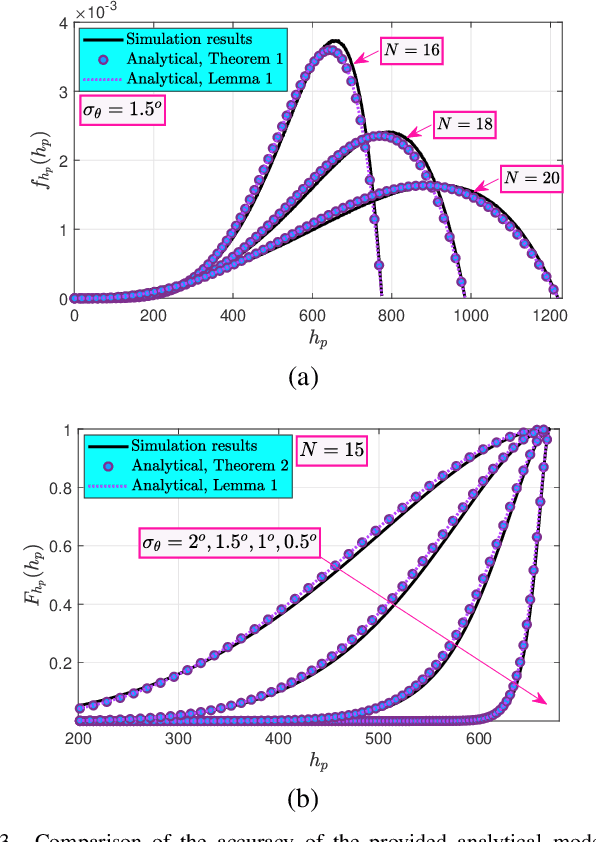
Abstract:This paper focuses on providing an analytical framework for the quantification and evaluation of the pointing error at high-frequency millimeter wave (mmWave) and terahertz (THz) communication links. For this aim, we first characterize the channel of a point-to-point communication link between to unstable transmitter (Tx) and receiver (Rx) and then, we derive the probability density function (PDF) and cumulative distribution functions (CDF) of the pointing error in the presence of an unstable Tx and Rx as a function of the antennas' pattern. Specifically, for the standard array antenna, a closed-form expression is provided for PDF of the pointing error, which is a function of the number of antenna elements. Moreover, a more tractable approximate model is provided for the CDF and PDF of pointing error. In addition, using $\alpha-\mu$ distribution, which is a common model for small-scale fading of THz links, the end-to-end PDF of the considered channel is derived and used to calculate the outage probability of the considered system. Finally, by employing Monte-Carlo simulations, the accuracy of the analytical expressions is verified and the performance of the system is studied.




Abstract:In this study, we consider an unmanned aerial vehicle (UAV)-assisted heterogeneous network that is offered as a cost-effective and easy to deploy solution to solve the problem related to transferring traffic of distributed small cells to the core network. For any given distribution of small cell base stations (SBSs), we first characterize an accurate millimeter wave (mmWave) channel model for SBS to networked flying platform (NFP) by taking into consideration real parameters such as UAV's vibrations, distribution of SBSs, position of UAVs in the sky, real three-dimensional (3D) antenna pattern model provided by 3GPP along with interference caused by antenna side lobes and frequency reuse. Then, for the characterized channel, we derive an analytical closed-form expression for the end-to-end signal-to-noise plus interference ratio (SINR). Based on that, we derive the closed-form expressions for the outage probability and channel capacity of the considered UAV-based mmWave uplinks. The accuracy of the derived analytical expressions is verified by Monte Carlo simulations. Finally, we investigate the effects of different channel parameters such as antenna pattern gain, strength of UAV's vibrations, UAVs' positions in the sky, distribution of SBSs, and frequency reuse on the performance of the considered UAV-based uplink channel in terms of average capacity and outage probability.