



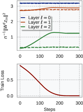
Abstract:Low-Rank Adaptation (LoRA) is a widely used finetuning method for large models. Its small memory footprint allows practitioners to adapt large models to specific tasks at a fraction of the cost of full finetuning. Different modifications have been proposed to enhance its efficiency by, for example, setting the learning rate, the rank, and the initialization. Another improvement axis is adapter placement strategy: when using LoRA, practitioners usually pick module types to adapt with LoRA, such as Query and Key modules. Few works have studied the problem of adapter placement, with nonconclusive results: original LoRA paper suggested placing adapters in attention modules, while other works suggested placing them in the MLP modules. Through an intuitive theoretical analysis, we introduce PLoP (Precise LoRA Placement), a lightweight method that allows automatic identification of module types where LoRA adapters should be placed, given a pretrained model and a finetuning task. We demonstrate that PLoP consistently outperforms, and in the worst case competes, with commonly used placement strategies through comprehensive experiments on supervised finetuning and reinforcement learning for reasoning.
Abstract:Pretraining large language models is a costly process. To make this process more efficient, several methods have been proposed to optimize model architecture/parametrization and hardware use. On the parametrization side, $\mu P$ (Maximal Update Parametrization) parametrizes model weights and learning rate (LR) in a way that makes hyperparameters (HPs) transferable with width (embedding dimension): HPs can be tuned for a small model and used for larger models without additional tuning. While $\mu$P showed impressive results in practice, recent empirical studies have reported conflicting observations when applied to LLMs. One limitation of the theory behind $\mu$P is the fact that input dimension (vocabulary size in LLMs) is considered fixed when taking the width to infinity. This is unrealistic since vocabulary size is generally much larger than width in practice. In this work, we provide a theoretical analysis of the effect of vocabulary size on training dynamics, and subsequently show that as vocabulary size increases, the training dynamics \emph{interpolate between the $\mu$P regime and another regime that we call Large Vocab (LV) Regime}, where optimal scaling rules are different from those predicted by $\mu$P. Our analysis reveals that in the LV regime, the optimal embedding LR to hidden LR ratio should roughly scale as $\Theta(\sqrt{width})$, surprisingly close to the empirical findings previously reported in the literature, and different from the $\Theta(width)$ ratio predicted by $\mu$P. We conduct several experiments to validate our theory, and pretrain a 1B model from scratch to show the benefit of our suggested scaling rule for the embedding LR.
Abstract:Deep neural networks are known to suffer from exploding or vanishing gradients as depth increases, a phenomenon closely tied to the spectral behavior of the input-output Jacobian. Prior work has identified critical initialization schemes that ensure Jacobian stability, but these analyses are typically restricted to fully connected networks with i.i.d. weights. In this work, we go significantly beyond these limitations: we establish a general stability theorem for deep neural networks that accommodates sparsity (such as that introduced by pruning) and non-i.i.d., weakly correlated weights (e.g. induced by training). Our results rely on recent advances in random matrix theory, and provide rigorous guarantees for spectral stability in a much broader class of network models. This extends the theoretical foundation for initialization schemes in modern neural networks with structured and dependent randomness.




Abstract:Synthetic data has gained attention for training large language models, but poor-quality data can harm performance (see, e.g., Shumailov et al. (2023); Seddik et al. (2024)). A potential solution is data pruning, which retains only high-quality data based on a score function (human or machine feedback). Previous work Feng et al. (2024) analyzed models trained on synthetic data as sample size increases. We extend this by using random matrix theory to derive the performance of a binary classifier trained on a mix of real and pruned synthetic data in a high dimensional setting. Our findings identify conditions where synthetic data could improve performance, focusing on the quality of the generative model and verification strategy. We also show a smooth phase transition in synthetic label noise, contrasting with prior sharp behavior in infinite sample limits. Experiments with toy models and large language models validate our theoretical results.




Abstract:Deep neural networks (DNNs) exhibit a remarkable ability to automatically learn data representations, finding appropriate features without human input. Here we present a method for analysing feature learning by decomposing DNNs into 1) a forward feature-map $\Phi$ that maps the input dataspace to the post-activations of the penultimate layer, and 2) a final linear layer that classifies the data. We diagonalize $\Phi$ with respect to the gradient descent operator and track feature learning by measuring how the eigenfunctions and eigenvalues of $\Phi$ change during training. Across many popular architectures and classification datasets, we find that DNNs converge, after just a few epochs, to a minimal feature (MF) regime dominated by a number of eigenfunctions equal to the number of classes. This behaviour resembles the neural collapse phenomenon studied at longer training times. For other DNN-data combinations, such as a fully connected network on CIFAR10, we find an extended feature (EF) regime where significantly more features are used. Optimal generalisation performance upon hyperparameter tuning typically coincides with the MF regime, but we also find examples of poor performance within the MF regime. Finally, we recast the phenomenon of neural collapse into a kernel picture which can be extended to broader tasks such as regression.




Abstract:In this paper, we study the role of initialization in Low Rank Adaptation (LoRA) as originally introduced in Hu et al. (2021). Essentially, to start from the pretrained model as initialization for finetuning, one can either initialize B to zero and A to random (default initialization in PEFT package), or vice-versa. In both cases, the product BA is equal to zero at initialization, which makes finetuning starts from the pretrained model. These two initialization schemes are seemingly similar. They should in-principle yield the same performance and share the same optimal learning rate. We demonstrate that this is an incorrect intuition and that the first scheme (initializing B to zero and A to random) on average yields better performance compared to the other scheme. Our theoretical analysis shows that the reason behind this might be that the first initialization allows the use of larger learning rates (without causing output instability) compared to the second initialization, resulting in more efficient learning of the first scheme. We validate our results with extensive experiments on LLMs.




Abstract:The phenomenon of model collapse, introduced in (Shumailov et al., 2023), refers to the deterioration in performance that occurs when new models are trained on synthetic data generated from previously trained models. This recursive training loop makes the tails of the original distribution disappear, thereby making future-generation models forget about the initial (real) distribution. With the aim of rigorously understanding model collapse in language models, we consider in this paper a statistical model that allows us to characterize the impact of various recursive training scenarios. Specifically, we demonstrate that model collapse cannot be avoided when training solely on synthetic data. However, when mixing both real and synthetic data, we provide an estimate of a maximal amount of synthetic data below which model collapse can eventually be avoided. Our theoretical conclusions are further supported by empirical validations.




Abstract:In this paper, we show that Low Rank Adaptation (LoRA) as originally introduced in Hu et al. (2021) leads to suboptimal finetuning of models with large width (embedding dimension). This is due to the fact that adapter matrices A and B in LoRA are updated with the same learning rate. Using scaling arguments for large width networks, we demonstrate that using the same learning rate for A and B does not allow efficient feature learning. We then show that this suboptimality of LoRA can be corrected simply by setting different learning rates for the LoRA adapter matrices A and B with a well-chosen ratio. We call this proposed algorithm LoRA$+$. In our extensive experiments, LoRA$+$ improves performance (1-2 $\%$ improvements) and finetuning speed (up to $\sim$ 2X SpeedUp), at the same computational cost as LoRA.




Abstract:By classifying infinite-width neural networks and identifying the *optimal* limit, Tensor Programs IV and V demonstrated a universal way, called $\mu$P, for *widthwise hyperparameter transfer*, i.e., predicting optimal hyperparameters of wide neural networks from narrow ones. Here we investigate the analogous classification for *depthwise parametrizations* of deep residual networks (resnets). We classify depthwise parametrizations of block multiplier and learning rate by their infinite-width-then-depth limits. In resnets where each block has only one layer, we identify a unique optimal parametrization, called Depth-$\mu$P that extends $\mu$P and show empirically it admits depthwise hyperparameter transfer. We identify *feature diversity* as a crucial factor in deep networks, and Depth-$\mu$P can be characterized as maximizing both feature learning and feature diversity. Exploiting this, we find that absolute value, among all homogeneous nonlinearities, maximizes feature diversity and indeed empirically leads to significantly better performance. However, if each block is deeper (such as modern transformers), then we find fundamental limitations in all possible infinite-depth limits of such parametrizations, which we illustrate both theoretically and empirically on simple networks as well as Megatron transformer trained on Common Crawl.
Abstract:This paper is the second in the series Commutative Scaling of Width and Depth (WD) about commutativity of infinite width and depth limits in deep neural networks. Our aim is to understand the behaviour of neural functions (functions that depend on a neural network model) as width and depth go to infinity (in some sense), and eventually identify settings under which commutativity holds, i.e. the neural function tends to the same limit no matter how width and depth limits are taken. In this paper, we formally introduce and define the commutativity framework, and discuss its implications on neural network design and scaling. We study commutativity for the neural covariance kernel which reflects how network layers separate data. Our findings extend previous results established in [55] by showing that taking the width and depth to infinity in a deep neural network with skip connections, when branches are suitably scaled to avoid exploding behaviour, result in the same covariance structure no matter how that limit is taken. This has a number of theoretical and practical implications that we discuss in the paper. The proof techniques in this paper are novel and rely on tools that are more accessible to readers who are not familiar with stochastic calculus (used in the proofs of WD(I))).