Abstract:In imaging inverse problems, we would like to know how close the recovered image is to the true image in terms of full-reference image quality (FRIQ) metrics like PSNR, SSIM, LPIPS, etc. This is especially important in safety-critical applications like medical imaging, where knowing that, say, the SSIM was poor could potentially avoid a costly misdiagnosis. But since we don't know the true image, computing FRIQ is non-trivial. In this work, we combine conformal prediction with approximate posterior sampling to construct bounds on FRIQ that are guaranteed to hold up to a user-specified error probability. We demonstrate our approach on image denoising and accelerated magnetic resonance imaging (MRI) problems. Code is available at https://github.com/jwen307/quality_uq.




Abstract:Imaging inverse problems can be solved in an unsupervised manner using pre-trained diffusion models. In most cases, that involves approximating the gradient of the measurement-conditional score function in the reverse process. Since the approximations produced by existing methods are quite poor, especially early in the reverse process, we propose a new approach that re-estimates and renoises the image several times per diffusion step. Renoising adds carefully shaped colored noise that ensures the pre-trained diffusion model sees white-Gaussian error, in accordance with how it was trained. We demonstrate the effectiveness of our "DDfire" method at 20, 100, and 1000 neural function evaluations on linear inverse problems and phase retrieval.




Abstract:Objective: To propose and validate an unsupervised MRI reconstruction method that does not require fully sampled k-space data. Materials and Methods: The proposed method, deep image prior with structured sparsity (DISCUS), extends the deep image prior (DIP) by introducing group sparsity to frame-specific code vectors, enabling the discovery of a low-dimensional manifold for capturing temporal variations. \discus was validated using four studies: (I) simulation of a dynamic Shepp-Logan phantom to demonstrate its manifold discovery capabilities, (II) comparison with compressed sensing and DIP-based methods using simulated single-shot late gadolinium enhancement (LGE) image series from six distinct digital cardiac phantoms in terms of normalized mean square error (NMSE) and structural similarity index measure (SSIM), (III) evaluation on retrospectively undersampled single-shot LGE data from eight patients, and (IV) evaluation on prospectively undersampled single-shot LGE data from eight patients, assessed via blind scoring from two expert readers. Results: DISCUS outperformed competing methods, demonstrating superior reconstruction quality in terms of NMSE and SSIM (Studies I--III) and expert reader scoring (Study IV). Discussion: An unsupervised image reconstruction method is presented and validated on simulated and measured data. These developments can benefit applications where acquiring fully sampled data is challenging.




Abstract:Cardiovascular magnetic resonance imaging is a powerful diagnostic tool for assessing cardiac structure and function. Traditional breath-held imaging protocols, however, pose challenges for patients with arrhythmias or limited breath-holding capacity. We introduce Motion-Guided Deep Image prior (M-DIP), a novel unsupervised reconstruction framework for accelerated real-time cardiac MRI. M-DIP employs a spatial dictionary to synthesize a time-dependent template image, which is further refined using time-dependent deformation fields that model cardiac and respiratory motion. Unlike prior DIP-based methods, M-DIP simultaneously captures physiological motion and frame-to-frame content variations, making it applicable to a wide range of dynamic applications. We validate M-DIP using simulated MRXCAT cine phantom data as well as free-breathing real-time cine and single-shot late gadolinium enhancement data from clinical patients. Comparative analyses against state-of-the-art supervised and unsupervised approaches demonstrate M-DIP's performance and versatility. M-DIP achieved better image quality metrics on phantom data, as well as higher reader scores for in-vivo patient data.
Abstract:In ill-posed imaging inverse problems, there can exist many hypotheses that fit both the observed measurements and prior knowledge of the true image. Rather than returning just one hypothesis of that image, posterior samplers aim to explore the full solution space by generating many probable hypotheses, which can later be used to quantify uncertainty or construct recoveries that appropriately navigate the perception/distortion trade-off. In this work, we propose a fast and accurate posterior-sampling conditional generative adversarial network (cGAN) that, through a novel form of regularization, aims for correctness in the posterior mean as well as the trace and K principal components of the posterior covariance matrix. Numerical experiments demonstrate that our method outperforms contemporary cGANs and diffusion models in imaging inverse problems like denoising, large-scale inpainting, and accelerated MRI recovery. The code for our model can be found here: https://github.com/matt-bendel/pcaGAN.
Abstract:Purpose: To perform image registration and averaging of multiple free-breathing single-shot cardiac images, where the individual images may have a low signal-to-noise ratio (SNR). Methods: To address low SNR encountered in single-shot imaging, especially at low field strengths, we propose a fast deep learning (DL)-based image registration method, called Averaging Morph with Edge Detection (AiM-ED). AiM-ED jointly registers multiple noisy source images to a noisy target image and utilizes a noise-robust pre-trained edge detector to define the training loss. We validate AiM-ED using synthetic late gadolinium enhanced (LGE) imaging data from the MR extended cardiac-torso (MRXCAT) phantom and retrospectively undersampled single-shot data from healthy subjects (24 slices) and patients (5 slices) under various levels of added noise. Additionally, we demonstrate the clinical feasibility of AiM-ED by applying it to prospectively undersampled data from patients (6 slices) scanned at a 0.55T scanner. Results: Compared to a traditional energy-minimization-based image registration method and DL-based VoxelMorph, images registered using AiM-ED exhibit higher values of recovery SNR and three perceptual image quality metrics. An ablation study shows the benefit of both jointly processing multiple source images and using an edge map in AiM-ED. Conclusion: For single-shot LGE imaging, AiM-ED outperforms existing image registration methods in terms of image quality. With fast inference, minimal training data requirements, and robust performance at various noise levels, AiM-ED has the potential to benefit single-shot CMR applications.




Abstract:In imaging inverse problems, one seeks to recover an image from missing/corrupted measurements. Because such problems are ill-posed, there is great motivation to quantify the uncertainty induced by the measurement-and-recovery process. Motivated by applications where the recovered image is used for a downstream task, such as soft-output classification, we propose a task-centered approach to uncertainty quantification. In particular, we use conformal prediction to construct an interval that is guaranteed to contain the task output from the true image up to a user-specified probability, and we use the width of that interval to quantify the uncertainty contributed by measurement-and-recovery. For posterior-sampling-based image recovery, we construct locally adaptive prediction intervals. Furthermore, we propose to collect measurements over multiple rounds, stopping as soon as the task uncertainty falls below an acceptable level. We demonstrate our methodology on accelerated magnetic resonance imaging (MRI).




Abstract:Background: Accelerated real-time cine (RT-Cine) imaging enables cardiac function assessment without the need for breath-holding. However, when performed during in-magnet exercise, RT-Cine images may exhibit significant motion artifacts. Methods: By projecting the time-averaged images to the subspace spanned by the coil sensitivity maps, we propose a coil reweighting (CR) method to automatically suppress a subset of receive coils that introduces a high level of artifacts in the reconstructed image. RT-Cine data collected at rest and during exercise from ten healthy volunteers and six patients were utilized to assess the performance of the proposed method. One short-axis and one two-chamber RT-Cine series reconstructed with and without CR from each subject were visually scored by two cardiologists in terms of the level of artifacts on a scale of 1 (worst) to 5 (best). Results: For healthy volunteers, applying CR to RT-Cine images collected at rest did not significantly change the image quality score (p=1). In contrast, for RT-Cine images collected during exercise, CR significantly improved the score from 3.9 to 4.68 (p<0.001). Similarly, in patients, CR did not significantly change the score for images collected at rest (p=0.031) but markedly improved the score from 3.15 to 4.42 (p<0.001) for images taken during exercise. Despite lower image quality scores in the patient cohort compared to healthy subjects, likely due to larger body habitus and the difficulty of limiting body motion during exercise, CR effectively suppressed motion artifacts, with all image series from the patient cohort receiving a score of four or higher. Conclusion: Using data from healthy subjects and patients, we demonstrate that the motion artifacts in the reconstructed RT-Cine images can be effectively suppressed significantly with the proposed CR method.




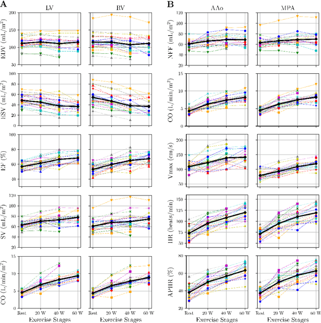
Abstract:Background: Cardiovascular magnetic resonance imaging (CMR) is a well-established imaging tool for diagnosing and managing cardiac conditions. The integration of exercise stress with CMR (ExCMR) can enhance its diagnostic capacity. Despite recent advances in CMR technology, ExCMR remains technically challenging due to motion artifacts and limited spatial and temporal resolution. Methods: This study investigates the feasibility of biventricular functional and hemodynamic assessment using real-time (RT) ExCMR during a staged exercise protocol in 26 healthy volunteers. We introduce a coil reweighting technique to minimize motion artifacts. In addition, we identify and analyze heartbeats from the end-expiratory phase to enhance the repeatability of cardiac function quantification. To demonstrate clinical feasibility, qualitative results from five patients are also presented. Results: Our findings indicate a consistent decrease in end-systolic volume (ESV) and stable end-diastolic volume (EDV) across exercise intensities, leading to increased stroke volume (SV) and ejection fraction (EF). Coil reweighting effectively reduces motion artifacts, improving image quality in both healthy volunteers and patients. The repeatability of cardiac function parameters, demonstrated by scan-rescan tests in nine volunteers, improves with the selection of end-expiratory beats. Conclusions: The study demonstrates that RT ExCMR with in-magnet exercise is a feasible and effective method for dynamic cardiac function monitoring during exercise. The proposed coil reweighting technique and selection of end-expiratory beats significantly enhance image quality and repeatability.




Abstract:High-quality training data are not always available in dynamic MRI. To address this, we propose a self-supervised deep learning method called deep image prior with structured sparsity (DISCUS) for reconstructing dynamic images. DISCUS is inspired by deep image prior (DIP) and recovers a series of images through joint optimization of network parameters and input code vectors. However, DISCUS additionally encourages group sparsity on frame-specific code vectors to discover the low-dimensional manifold that describes temporal variations across frames. Compared to prior work on manifold learning, DISCUS does not require specifying the manifold dimensionality. We validate DISCUS using three numerical studies. In the first study, we simulate a dynamic Shepp-Logan phantom with frames undergoing random rotations, translations, or both, and demonstrate that DISCUS can discover the dimensionality of the underlying manifold. In the second study, we use data from a realistic late gadolinium enhancement (LGE) phantom to compare DISCUS with compressed sensing (CS) and DIP and to demonstrate the positive impact of group sparsity. In the third study, we use retrospectively undersampled single-shot LGE data from five patients to compare DISCUS with CS reconstructions. The results from these studies demonstrate that DISCUS outperforms CS and DIP and that enforcing group sparsity on the code vectors helps discover true manifold dimensionality and provides additional performance gain.