



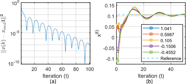
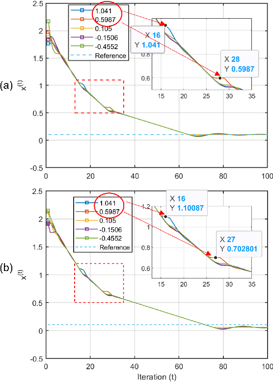
Abstract:Distributed median consensus has emerged as a critical paradigm in multi-agent systems due to the inherent robustness of the median against outliers and anomalies in measurement. Despite the sensitivity of the data involved, the development of privacy-preserving mechanisms for median consensus remains underexplored. In this work, we present the first rigorous analysis of privacy in distributed median consensus, focusing on an $L_1$-norm minimization framework. We establish necessary and sufficient conditions under which exact consensus and perfect privacy-defined as zero information leakage-can be achieved simultaneously. Our information-theoretic analysis provides provable guarantees against passive and eavesdropping adversaries, ensuring that private data remain concealed. Extensive numerical experiments validate our theoretical results, demonstrating the practical feasibility of achieving both accuracy and privacy in distributed median consensus.




Abstract:In distributed networks, calculating the maximum element is a fundamental task in data analysis, known as the distributed maximum consensus problem. However, the sensitive nature of the data involved makes privacy protection essential. Despite its importance, privacy in distributed maximum consensus has received limited attention in the literature. Traditional privacy-preserving methods typically add noise to updates, degrading the accuracy of the final result. To overcome these limitations, we propose a novel distributed optimization-based approach that preserves privacy without sacrificing accuracy. Our method introduces virtual nodes to form an augmented graph and leverages a carefully designed initialization process to ensure the privacy of honest participants, even when all their neighboring nodes are dishonest. Through a comprehensive information-theoretical analysis, we derive a sufficient condition to protect private data against both passive and eavesdropping adversaries. Extensive experiments validate the effectiveness of our approach, demonstrating that it not only preserves perfect privacy but also maintains accuracy, outperforming existing noise-based methods that typically suffer from accuracy loss.


Abstract:In this paper, we extend the standard Attention in transformer by exploiting the consensus discrepancy from a distributed optimization perspective, referred to as AttentionX. It is noted that the primal-dual method of multipliers (PDMM) \cite{Zhang16PDMM} is designed to iteratively solve a broad class of distributed optimization problems over a pear-to-pear (P2P) network, where neighbouring nodes gradually reach consensus as specified by predefined linear edge-constraints in the optimization process. In particular, at each iteration of PDMM, each node in a network first performs information-gathering from neighbours and then performs local information-fusion. From a high-level point of view, the $KQ$-softmax-based weighted summation of $V$-representations in Attention corresponds information-gathering from neighbours while the feature-processing via the feed-forward network (FFN) in transformer corresponds to local information fusion. PDMM exploits the Lagrangian multipliers to capture the historical consensus discrepancy in the form of residual errors of the linear edge-constraints, which plays a crucial role for the algorithm to converge. Inspired by PDMM, we propose AttentionX to incorporate the consensus discrepancy in the output update-expression of the standard Attention. The consensus discrepancy in AttentionX refers to the difference between the weighted summation of $V$-representations and scaled $V$-representions themselves. Experiments on ViT and nanoGPT show promising performance.




Abstract:This article focuses on estimating relative transfer functions (RTFs) for beamforming applications. While traditional methods assume that spectra are uncorrelated, this assumption is often violated in practical scenarios due to natural phenomena such as the Doppler effect, artificial manipulations like time-domain windowing, or the non-stationary nature of the signals, as observed in speech. To address this, we propose an RTF estimation technique that leverages spectral and spatial correlations through subspace analysis. To overcome the challenge of estimating second-order spectral statistics for real data, we employ a phase-adjusted estimator originally proposed in the context of engine fault detection. Additionally, we derive Cram\'er--Rao bounds (CRBs) for the RTF estimation task, providing theoretical insights into the achievable estimation accuracy. The bounds show that channel estimation can be performed more accurately if the noise or the target presents spectral correlations. Experiments on real and synthetic data show that our technique outperforms the narrowband maximum-likelihood estimator when the target exhibits spectral correlations. Although the accuracy of the proposed algorithm is generally close to the bound, there is some room for improvement, especially when noise signals with high spectral correlation are present. While the applications of channel estimation are diverse, we demonstrate the method in the context of array processing for speech.




Abstract:Federated learning (FL) emerged as a paradigm designed to improve data privacy by enabling data to reside at its source, thus embedding privacy as a core consideration in FL architectures, whether centralized or decentralized. Contrasting with recent findings by Pasquini et al., which suggest that decentralized FL does not empirically offer any additional privacy or security benefits over centralized models, our study provides compelling evidence to the contrary. We demonstrate that decentralized FL, when deploying distributed optimization, provides enhanced privacy protection - both theoretically and empirically - compared to centralized approaches. The challenge of quantifying privacy loss through iterative processes has traditionally constrained the theoretical exploration of FL protocols. We overcome this by conducting a pioneering in-depth information-theoretical privacy analysis for both frameworks. Our analysis, considering both eavesdropping and passive adversary models, successfully establishes bounds on privacy leakage. We show information theoretically that the privacy loss in decentralized FL is upper bounded by the loss in centralized FL. Compared to the centralized case where local gradients of individual participants are directly revealed, a key distinction of optimization-based decentralized FL is that the relevant information includes differences of local gradients over successive iterations and the aggregated sum of different nodes' gradients over the network. This information complicates the adversary's attempt to infer private data. To bridge our theoretical insights with practical applications, we present detailed case studies involving logistic regression and deep neural networks. These examples demonstrate that while privacy leakage remains comparable in simpler models, complex models like deep neural networks exhibit lower privacy risks under decentralized FL.
Abstract:This paper investigates the positioning of the pilot symbols, as well as the power distribution between the pilot and the communication symbols in the OTFS modulation scheme. We analyze the pilot placements that minimize the mean squared error (MSE) in estimating the channel taps. In addition, we optimize the average channel capacity by adjusting the power balance. We show that this leads to a significant increase in average capacity. The results provide valuable guidance for designing the OTFS parameters to achieve maximum capacity. Numerical simulations are performed to validate the findings.
Abstract:Privacy-preserving distributed processing has received considerable attention recently. The main purpose of these algorithms is to solve certain signal processing tasks over a network in a decentralised fashion without revealing private/secret data to the outside world. Because of the iterative nature of these distributed algorithms, computationally complex approaches such as (homomorphic) encryption are undesired. Recently, an information theoretic method called subspace perturbation has been introduced for synchronous update schemes. The main idea is to exploit a certain structure in the update equations for noise insertion such that the private data is protected without compromising the algorithm's accuracy. This structure, however, is absent in asynchronous update schemes. In this paper we will investigate such asynchronous schemes and derive a lower bound on the noise variance after random initialisation of the algorithm. This bound shows that the privacy level of asynchronous schemes is always better than or at least equal to that of synchronous schemes. Computer simulations are conducted to consolidate our theoretical results.
Abstract:Sensor selection is a useful method to help reduce data throughput, as well as computational, power, and hardware requirements, while still maintaining acceptable performance. Although minimizing the Cram\'er-Rao bound has been adopted previously for sparse sensing, it did not consider multiple targets and unknown source models. We propose to tackle the sensor selection problem for angle of arrival estimation using the worst-case Cram\'er-Rao bound of two uncorrelated sources. We cast the problem as a convex semi-definite program and retrieve the binary selection by randomized rounding. Through numerical examples related to a linear array, we illustrate the proposed method and show that it leads to the selection of elements at the edges plus the center of the linear array.




Abstract:The processing of low-frequency interaural time differences is found to be problematic among hearing-impaired people. The current generation of beamformers does not consider this deficiency. In an attempt to tackle this issue, we propose to replace the inaudible interaural time differences in the low-frequency region with the interaural level differences. In addition, a beamformer is introduced and analyzed, which enhances the low-frequency interaural level differences of the sound sources using a near-field transformation. The proposed beamforming problem is relaxed to a convex problem using semi-definite relaxation. The instrumental analysis suggests that the low-frequency interaural level differences are enhanced without hindering the provided intelligibility. A psychoacoustic localization test is done using a listening experiment, which suggests that the replacement of time differences into level differences improves the localization performance of normal-hearing listeners for an anechoic scene but not for a reverberant scene.




Abstract:Privacy issues and communication cost are both major concerns in distributed optimization. There is often a trade-off between them because the encryption methods required for privacy-preservation often incur expensive communication bandwidth. To address this issue, we, in this paper, propose a quantization-based approach to achieve both communication efficient and privacy-preserving solutions in the context of distributed optimization. By deploying an adaptive differential quantization scheme, we allow each node in the network to achieve its optimum solution with a low communication cost while keeping its private data unrevealed. Additionally, the proposed approach is general and can be applied in various distributed optimization methods, such as the primal-dual method of multipliers (PDMM) and the alternating direction method of multipliers (ADMM). Moveover, we consider two widely used adversary models: passive and eavesdropping. Finally, we investigate the properties of the proposed approach using different applications and demonstrate its superior performance in terms of several parameters including accuracy, privacy, and communication cost.