



Abstract:Prostate cancer is the second most common cancer in males worldwide, and mpMRI is commonly used for diagnosis. However, interpreting mpMRI is challenging and requires expertise from radiologists. This highlights the urgent need for automated grading in mpMRI. Existing studies lack integration of clinical prior information and suffer from uneven training sample distribution due to prevalence. Therefore, we propose a solution that incorporates prior knowledge, addresses the issue of uneven medical sample distribution, and maintains high interpretability in mpMRI. Firstly, we introduce Prior Knowledge-Based Feature Extraction, which mathematically models the PI-RADS criteria for prostate cancer as diagnostic information into model training. Secondly, we propose Adaptive Recall Feedback Loss to address the extremely imbalanced data problem. This method adjusts the training dynamically based on accuracy and recall in the validation set, resulting in high accuracy and recall simultaneously in the testing set.Thirdly, we design an Enhanced Cascade Prostate Cancer Classifier that classifies prostate cancer into different levels in an interpretable way, which refines the classification results and helps with clinical intervention. Our method is validated through experiments on the PI-CAI dataset and outperforms other methods with a more balanced result in both accuracy and recall rate.




Abstract:A time-frequency diagram is a commonly used visualization for observing the time-frequency distribution of radio signals and analyzing their time-varying patterns of communication states in radio monitoring and management. While it excels when performing short-term signal analyses, it becomes inadaptable for long-term signal analyses because it cannot adequately depict signal time-varying patterns in a large time span on a space-limited screen. This research thus presents an abstract signal time-frequency (ASTF) diagram to address this problem. In the diagram design, a visual abstraction method is proposed to visually encode signal communication state changes in time slices. A time segmentation algorithm is proposed to divide a large time span into time slices.Three new quantified metrics and a loss function are defined to ensure the preservation of important time-varying information in the time segmentation. An algorithm performance experiment and a user study are conducted to evaluate the effectiveness of the diagram for long-term signal analyses.




Abstract:Developing high-performance entity normalization algorithms that can alleviate the term variation problem is of great interest to the biomedical community. Although deep learning-based methods have been successfully applied to biomedical entity normalization, they often depend on traditional context-independent word embeddings. Bidirectional Encoder Representations from Transformers (BERT), BERT for Biomedical Text Mining (BioBERT) and BERT for Clinical Text Mining (ClinicalBERT) were recently introduced to pre-train contextualized word representation models using bidirectional Transformers, advancing the state-of-the-art for many natural language processing tasks. In this study, we proposed an entity normalization architecture by fine-tuning the pre-trained BERT / BioBERT / ClinicalBERT models and conducted extensive experiments to evaluate the effectiveness of the pre-trained models for biomedical entity normalization using three different types of datasets. Our experimental results show that the best fine-tuned models consistently outperformed previous methods and advanced the state-of-the-art for biomedical entity normalization, with up to 1.17% increase in accuracy.




Abstract:In this study, we proposed a convolutional neural network model for gender prediction using English Twitter text as input. Ensemble of proposed model achieved an accuracy at 0.8237 on gender prediction and compared favorably with the state-of-the-art performance in a recent author profiling task. We further leveraged the trained models to predict the gender labels from an HPV vaccine related corpus and identified gender difference in public perceptions regarding HPV vaccine. The findings are largely consistent with previous survey-based studies.




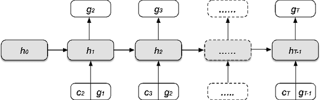
Abstract:With cross-disciplinary academic interests increasing and academic advising resources over capacity, the importance of exploring data-assisted methods to support student decision making has never been higher. We build on the findings and methodologies of a quickly developing literature around prediction and recommendation in higher education and develop a novel recurrent neural network-based recommendation system for suggesting courses to help students prepare for target courses of interest, personalized to their estimated prior knowledge background and zone of proximal development. We validate the model using tests of grade prediction and the ability to recover prerequisite relationships articulated by the university. In the third validation, we run the fully personalized recommendation for students the semester before taking a historically difficult course and observe differential overlap with our would-be suggestions. While not proof of causal effectiveness, these three evaluation perspectives on the performance of the goal-based model build confidence and bring us one step closer to deployment of this personalized course preparation affordance in the wild.