Abstract:AI for Industrial Asset Lifecycle Management aims to automate complex operational workflows -- such as condition monitoring, maintenance planning, and intervention scheduling -- to reduce human workload and minimize system downtime. Traditional AI/ML approaches have primarily tackled these problems in isolation, solving narrow tasks within the broader operational pipeline. In contrast, the emergence of AI agents and large language models (LLMs) introduces a next-generation opportunity: enabling end-to-end automation across the entire asset lifecycle. This paper envisions a future where AI agents autonomously manage tasks that previously required distinct expertise and manual coordination. To this end, we introduce AssetOpsBench -- a unified framework and environment designed to guide the development, orchestration, and evaluation of domain-specific agents tailored for Industry 4.0 applications. We outline the key requirements for such holistic systems and provide actionable insights into building agents that integrate perception, reasoning, and control for real-world industrial operations. The software is available at https://github.com/IBM/AssetOpsBench.
Abstract:Current approaches to group fairness in federated learning assume the existence of predefined and labeled sensitive groups during training. However, due to factors ranging from emerging regulations to dynamics and location-dependency of protected groups, this assumption may be unsuitable in many real-world scenarios. In this work, we propose a new approach to guarantee group fairness that does not rely on any predefined definition of sensitive groups or additional labels. Our objective allows the federation to learn a Pareto efficient global model ensuring worst-case group fairness and it enables, via a single hyper-parameter, trade-offs between fairness and utility, subject only to a group size constraint. This implies that any sufficiently large subset of the population is guaranteed to receive at least a minimum level of utility performance from the model. The proposed objective encompasses existing approaches as special cases, such as empirical risk minimization and subgroup robustness objectives from centralized machine learning. We provide an algorithm to solve this problem in federation that enjoys convergence and excess risk guarantees. Our empirical results indicate that the proposed approach can effectively improve the worst-performing group that may be present without unnecessarily hurting the average performance, exhibits superior or comparable performance to relevant baselines, and achieves a large set of solutions with different fairness-utility trade-offs.




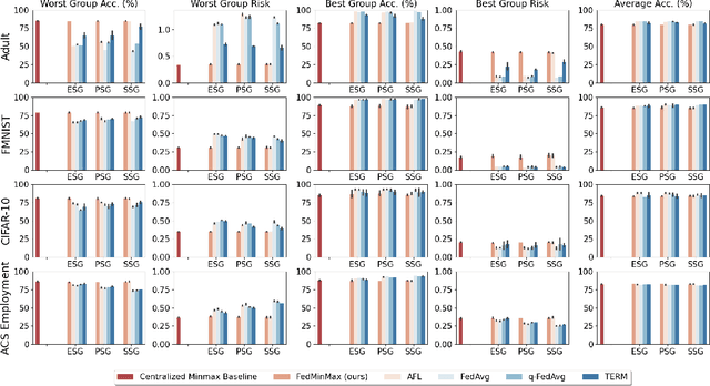
Abstract:Federated learning is an increasingly popular paradigm that enables a large number of entities to collaboratively learn better models. In this work, we study minimax group fairness in federated learning scenarios where different participating entities may only have access to a subset of the population groups during the training phase. We formally analyze how our proposed group fairness objective differs from existing federated learning fairness criteria that impose similar performance across participants instead of demographic groups. We provide an optimization algorithm -- FedMinMax -- for solving the proposed problem that provably enjoys the performance guarantees of centralized learning algorithms. We experimentally compare the proposed approach against other state-of-the-art methods in terms of group fairness in various federated learning setups, showing that our approach exhibits competitive or superior performance.




Abstract:Machine learning models are updated as new data is acquired or new architectures are developed. These updates usually increase model performance, but may introduce backward compatibility errors, where individual users or groups of users see their performance on the updated model adversely affected. This problem can also be present when training datasets do not accurately reflect overall population demographics, with some groups having overall lower participation in the data collection process, posing a significant fairness concern. We analyze how ideas from distributional robustness and minimax fairness can aid backward compatibility in this scenario, and propose two methods to directly address this issue. Our theoretical analysis is backed by experimental results on CIFAR-10, CelebA, and Waterbirds, three standard image classification datasets. Code available at github.com/natalialmg/GroupBC




Abstract:Federated learning is an increasingly popular paradigm that enables a large number of entities to collaboratively learn better models. In this work, we study minmax group fairness in paradigms where different participating entities may only have access to a subset of the population groups during the training phase. We formally analyze how this fairness objective differs from existing federated learning fairness criteria that impose similar performance across participants instead of demographic groups. We provide an optimization algorithm -- FedMinMax -- for solving the proposed problem that provably enjoys the performance guarantees of centralized learning algorithms. We experimentally compare the proposed approach against other methods in terms of group fairness in various federated learning setups.




Abstract:In this work we formulate and formally characterize group fairness as a multi-objective optimization problem, where each sensitive group risk is a separate objective. We propose a fairness criterion where a classifier achieves minimax risk and is Pareto-efficient w.r.t. all groups, avoiding unnecessary harm, and can lead to the best zero-gap model if policy dictates so. We provide a simple optimization algorithm compatible with deep neural networks to satisfy these constraints. Since our method does not require test-time access to sensitive attributes, it can be applied to reduce worst-case classification errors between outcomes in unbalanced classification problems. We test the proposed methodology on real case-studies of predicting income, ICU patient mortality, skin lesions classification, and assessing credit risk, demonstrating how our framework compares favorably to other approaches.




Abstract:Agents trained via deep reinforcement learning (RL) routinely fail to generalize to unseen environments, even when these share the same underlying dynamics as the training levels. Understanding the generalization properties of RL is one of the challenges of modern machine learning. Towards this goal, we analyze policy learning in the context of Partially Observable Markov Decision Processes (POMDPs) and formalize the dynamics of training levels as instances. We prove that, independently of the exploration strategy, reusing instances introduces significant changes on the effective Markov dynamics the agent observes during training. Maximizing expected rewards impacts the learned belief state of the agent by inducing undesired instance specific speedrunning policies instead of generalizeable ones, which are suboptimal on the training set. We provide generalization bounds to the value gap in train and test environments based on the number of training instances, and use insights based on these to improve performance on unseen levels. We propose training a shared belief representation over an ensemble of specialized policies, from which we compute a consensus policy that is used for data collection, disallowing instance specific exploitation. We experimentally validate our theory, observations, and the proposed computational solution over the CoinRun benchmark.



Abstract:Common fairness definitions in machine learning focus on balancing notions of disparity and utility. In this work, we study fairness in the context of risk disparity among sub-populations. We are interested in learning models that minimize performance discrepancies across sensitive groups without causing unnecessary harm. This is relevant to high-stakes domains such as healthcare, where non-maleficence is a core principle. We formalize this objective using Pareto frontiers, and provide analysis, based on recent works in fairness, to exemplify scenarios were perfect fairness might not be feasible without doing unnecessary harm. We present a methodology for training neural networks that achieve our goal by dynamically re-balancing subgroups risks. We argue that even in domains where fairness at cost is required, finding a non-unnecessary-harm fairness model is the optimal initial step. We demonstrate this methodology on real case-studies of predicting ICU patient mortality, and classifying skin lesions from dermatoscopic images.




Abstract:Extracting the instantaneous heart rate (iHR) from face videos has been well studied in recent years. It is well known that changes in skin color due to blood flow can be captured using conventional cameras. One of the main limitations of methods that rely on this principle is the need of an illumination source. Moreover, they have to be able to operate under different light conditions. One way to avoid these constraints is using infrared cameras, allowing the monitoring of iHR under low light conditions. In this work, we present a simple, principled signal extraction method that recovers the iHR from infrared face videos. We tested the procedure on 7 participants, for whom we recorded an electrocardiogram simultaneously with their infrared face video. We checked that the recovered signal matched the ground truth iHR, showing that infrared is a promising alternative to conventional video imaging for heart rate monitoring, especially in low light conditions. Code is available at https://github.com/natalialmg/IR_iHR




Abstract:It is becoming increasingly clear that users should own and control their data. Utility providers are also becoming more interested in guaranteeing data privacy. As such, users and utility providers should collaborate in data privacy, a paradigm that has not yet been developed in the privacy research community. We introduce this concept and present explicit architectures where the user controls what characteristics of the data she/he wants to share and what she/he wants to keep private. This is achieved by collaborative learning a sensitization function, either a deterministic or a stochastic one, that retains valuable information for the utility tasks but it also eliminates necessary information for the privacy ones. As illustration examples, we implement them using a plug-and-play approach, where no algorithm is changed at the system provider end, and an adversarial approach, where minor re-training of the privacy inferring engine is allowed. In both cases the learned sanitization function keeps the data in the original domain, thereby allowing the system to use the same algorithms it was using before for both original and privatized data. We show how we can maintain utility while fully protecting private information if the user chooses to do so, even when the first is harder than the second, as in the case here illustrated of identity detection while hiding gender.