Abstract:Despite continuous advancements in cancer treatment, brain metastatic disease remains a significant complication of primary cancer and is associated with an unfavorable prognosis. One approach for improving diagnosis, management, and outcomes is to implement algorithms based on artificial intelligence for the automated segmentation of both pre- and post-treatment MRI brain images. Such algorithms rely on volumetric criteria for lesion identification and treatment response assessment, which are still not available in clinical practice. Therefore, it is critical to establish tools for rapid volumetric segmentations methods that can be translated to clinical practice and that are trained on high quality annotated data. The BraTS-METS 2025 Lighthouse Challenge aims to address this critical need by establishing inter-rater and intra-rater variability in dataset annotation by generating high quality annotated datasets from four individual instances of segmentation by neuroradiologists while being recorded on video (two instances doing "from scratch" and two instances after AI pre-segmentation). This high-quality annotated dataset will be used for testing phase in 2025 Lighthouse challenge and will be publicly released at the completion of the challenge. The 2025 Lighthouse challenge will also release the 2023 and 2024 segmented datasets that were annotated using an established pipeline of pre-segmentation, student annotation, two neuroradiologists checking, and one neuroradiologist finalizing the process. It builds upon its previous edition by including post-treatment cases in the dataset. Using these high-quality annotated datasets, the 2025 Lighthouse challenge plans to test benchmark algorithms for automated segmentation of pre-and post-treatment brain metastases (BM), trained on diverse and multi-institutional datasets of MRI images obtained from patients with brain metastases.




Abstract:Deep Learning methods are highly local and sensitive to the domain of data they are trained with. Even a slight deviation from the domain distribution affects prediction accuracy of deep networks significantly. In this work, we have investigated a set of techniques aimed at increasing accuracy of generator networks which perform translation from one domain to the other in an adversarial setting. In particular, we experimented with activations, the encoder-decoder network architectures, and introduced a Loss called cyclic loss to constrain the Generator network so that it learns effective source-target translation. This machine learning problem is motivated by myriad applications that can be derived from domain adaptation networks like generating labeled data from synthetic inputs in an unsupervised fashion, and using these translation network in conjunction with the original domain network to generalize deep learning networks across domains.
Abstract:Large Foundation Models like Dust3r can produce high quality outputs such as pointmaps, camera intrinsics, and depth estimation, given stereo-image pairs as input. However, the application of these outputs on tasks like Visual Localization requires a large amount of inference time and compute resources. To address these limitations, in this paper, we propose the use of a knowledge distillation pipeline, where we aim to build a student-teacher model with Dust3r as the teacher and explore multiple architectures of student models that are trained using the 3D reconstructed points output by Dust3r. Our goal is to build student models that can learn scene-specific representations and output 3D points with replicable performance such as Dust3r. The data set we used to train our models is 12Scenes. We test two main architectures of models: a CNN-based architecture and a Vision Transformer based architecture. For each architecture, we also compare the use of pre-trained models against models built from scratch. We qualitatively compare the reconstructed 3D points output by the student model against Dust3r's and discuss the various features learned by the student model. We also perform ablation studies on the models through hyperparameter tuning. Overall, we observe that the Vision Transformer presents the best performance visually and quantitatively.




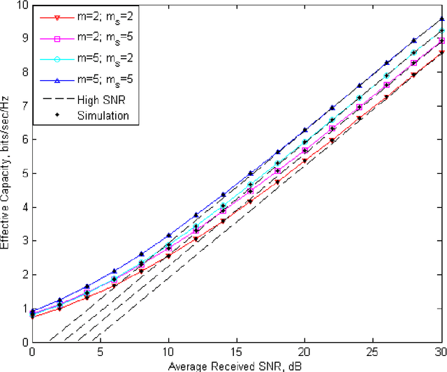
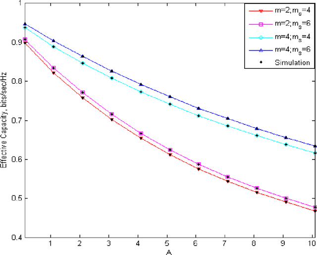
Abstract:This paper provides a detailed analysis of the important performance metrics like effective capacity and symbol error rate over fluctuating Nakagami-m fading channel. This distribution is obtained from the ratio of two random variables, following the Nakagami-m distribution and the uniform distribution. Our study derives exact analytical expressions for the EC and SER under different modulation schemes, considering the effect of channel parameters. Recognising the importance of additive Laplacian noise in today scenario, it has been considered for the error performance analysis of the system. This work may be utilised for the design and optimization of the systems operating in environments characterized by fluctuating Nakagami-m fading.




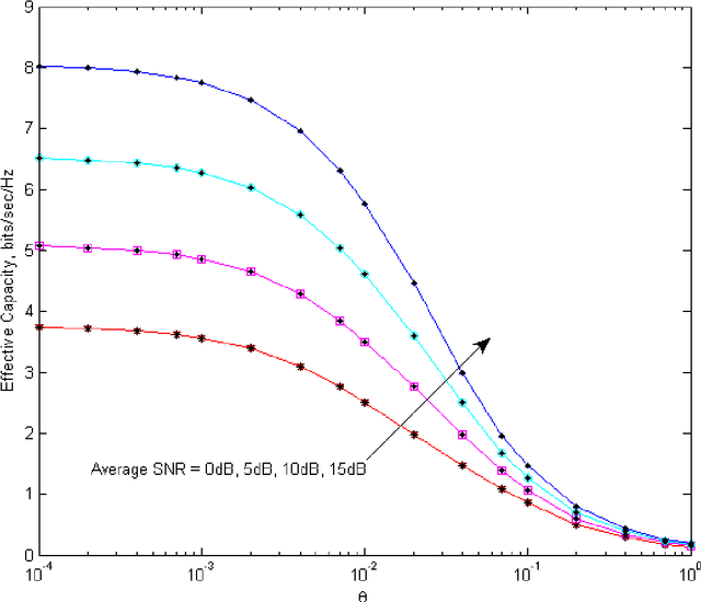
Abstract:Given the imperative for advanced wireless networks in the next generation and the rise of real-time applications within wireless communication, there is a notable focus on investigating data rate performance across various fading scenarios. This research delved into analyzing the effective throughput of the shadowed Beaulieu-Xie (SBX) composite fading channel using the PDF-based approach. To get the simplified relationship between the performance parameter and channel parameters, the low-SNR and the high-SNR approximation of the effective rate are also provided. The proposed formulations are evaluated for different values of system parameters to study their impact on the effective throughput. Also, the impact of the delay parameter on the EC is investigated. Monte-Carlo simulations are used to verify the facticity of the deduced equations.
Abstract:Peripheral nerve blocks are crucial to treatment of post-surgical pain and are associated with reduction in perioperative opioid use and hospital stay. Accurate interpretation of sono-anatomy is critical for the success of ultrasound (US) guided peripheral nerve blocks and can be challenging to the new operators. This prospective study enrolled 227 subjects who were systematically scanned for supraclavicular and interscalene brachial plexus in various settings using three different US machines to create a dataset of 227 unique videos. In total, 41,000 video frames were annotated by experienced anaesthesiologists using partial automation with object tracking and active contour algorithms. Four baseline neural network models were trained on the dataset and their performance was evaluated for object detection and segmentation tasks. Generalizability of the best suited model was then tested on the datasets constructed from separate US scanners with and without fine-tuning. The results demonstrate that deep learning models can be leveraged for real time segmentation of supraclavicular brachial plexus in neck ultrasonography videos with high accuracy and reliability. Model was also tested for its ability to differentiate between supraclavicular and adjoining interscalene brachial plexus. The entire dataset has been released publicly for further study by the research community.




Abstract:Clinical monitoring of metastatic disease to the brain can be a laborious and time-consuming process, especially in cases involving multiple metastases when the assessment is performed manually. The Response Assessment in Neuro-Oncology Brain Metastases (RANO-BM) guideline, which utilizes the unidimensional longest diameter, is commonly used in clinical and research settings to evaluate response to therapy in patients with brain metastases. However, accurate volumetric assessment of the lesion and surrounding peri-lesional edema holds significant importance in clinical decision-making and can greatly enhance outcome prediction. The unique challenge in performing segmentations of brain metastases lies in their common occurrence as small lesions. Detection and segmentation of lesions that are smaller than 10 mm in size has not demonstrated high accuracy in prior publications. The brain metastases challenge sets itself apart from previously conducted MICCAI challenges on glioma segmentation due to the significant variability in lesion size. Unlike gliomas, which tend to be larger on presentation scans, brain metastases exhibit a wide range of sizes and tend to include small lesions. We hope that the BraTS-METS dataset and challenge will advance the field of automated brain metastasis detection and segmentation.




Abstract:This paper investigates the Cyber-Physical behavior of users in a large indoor shopping mall by leveraging anonymized (opt in) Wi-Fi association and browsing logs recorded by the mall operators. Our analysis shows that many users exhibit a high correlation between their cyber activities and their physical context. To find this correlation, we propose a mechanism to semantically label a physical space with rich categorical information from DBPedia concepts and compute a contextual similarity that represents a user's activities with the mall context. We demonstrate the application of cyber-physical contextual similarity in two situations: user visit intent classification and future location prediction. The experimental results demonstrate that exploitation of contextual similarity significantly improves the accuracy of such applications.