



Abstract:Despite recent advances in insulin preparations and technology, adjusting insulin remains an ongoing challenge for the majority of people with type 1 diabetes (T1D) and longstanding type 2 diabetes (T2D). In this study, we propose the Adaptive Basal-Bolus Advisor (ABBA), a personalised insulin treatment recommendation approach based on reinforcement learning for individuals with T1D and T2D, performing self-monitoring blood glucose measurements and multiple daily insulin injection therapy. We developed and evaluated the ability of ABBA to achieve better time-in-range (TIR) for individuals with T1D and T2D, compared to a standard basal-bolus advisor (BBA). The in-silico test was performed using an FDA-accepted population, including 101 simulated adults with T1D and 101 with T2D. An in-silico evaluation shows that ABBA significantly improved TIR and significantly reduced both times below- and above-range, compared to BBA. ABBA's performance continued to improve over two months, whereas BBA exhibited only modest changes. This personalised method for adjusting insulin has the potential to further optimise glycaemic control and support people with T1D and T2D in their daily self-management. Our results warrant ABBA to be trialed for the first time in humans.




Abstract:Food recognition models often struggle to distinguish between seen and unseen samples, frequently misclassifying samples from unseen categories by assigning them an in-distribution (ID) label. This misclassification presents significant challenges when deploying these models in real-world applications, particularly within automatic dietary assessment systems, where incorrect labels can lead to cascading errors throughout the system. Ideally, such models should prompt the user when an unknown sample is encountered, allowing for corrective action. Given no prior research exploring food recognition in real-world settings, in this work we conduct an empirical analysis of various post-hoc out-of-distribution (OOD) detection methods for fine-grained food recognition. Our findings indicate that virtual logit matching (ViM) performed the best overall, likely due to its combination of logits and feature-space representations. Additionally, our work reinforces prior notions in the OOD domain, noting that models with higher ID accuracy performed better across the evaluated OOD detection methods. Furthermore, transformer-based architectures consistently outperformed convolution-based models in detecting OOD samples across various methods.




Abstract:Recent advances in long-term time series forecasting have introduced numerous complex prediction models that consistently outperform previously published architectures. However, this rapid progression raises concerns regarding inconsistent benchmarking and reporting practices, which may undermine the reliability of these comparisons. Our position emphasizes the need to shift focus away from pursuing ever-more complex models and towards enhancing benchmarking practices through rigorous and standardized evaluation methods. To support our claim, we first perform a broad, thorough, and reproducible evaluation of the top-performing models on the most popular benchmark by training 3,500+ networks over 14 datasets. Then, through a comprehensive analysis, we find that slight changes to experimental setups or current evaluation metrics drastically shift the common belief that newly published results are advancing the state of the art. Our findings suggest the need for rigorous and standardized evaluation methods that enable more substantiated claims, including reproducible hyperparameter setups and statistical testing.




Abstract:We introduce Tune without Validation (Twin), a pipeline for tuning learning rate and weight decay without validation sets. We leverage a recent theoretical framework concerning learning phases in hypothesis space to devise a heuristic that predicts what hyper-parameter (HP) combinations yield better generalization. Twin performs a grid search of trials according to an early-/non-early-stopping scheduler and then segments the region that provides the best results in terms of training loss. Among these trials, the weight norm strongly correlates with predicting generalization. To assess the effectiveness of Twin, we run extensive experiments on 20 image classification datasets and train several families of deep networks, including convolutional, transformer, and feed-forward models. We demonstrate proper HP selection when training from scratch and fine-tuning, emphasizing small-sample scenarios.
Abstract:The pandemic resulted in vast repositories of unstructured data, including radiology reports, due to increased medical examinations. Previous research on automated diagnosis of COVID-19 primarily focuses on X-ray images, despite their lower precision compared to computed tomography (CT) scans. In this work, we leverage unstructured data from a hospital and harness the fine-grained details offered by CT scans to perform zero-shot multi-label classification based on contrastive visual language learning. In collaboration with human experts, we investigate the effectiveness of multiple zero-shot models that aid radiologists in detecting pulmonary embolisms and identifying intricate lung details like ground glass opacities and consolidations. Our empirical analysis provides an overview of the possible solutions to target such fine-grained tasks, so far overlooked in the medical multimodal pretraining literature. Our investigation promises future advancements in the medical image analysis community by addressing some challenges associated with unstructured data and fine-grained multi-label classification.




Abstract:Solving image classification tasks given small training datasets remains an open challenge for modern computer vision. Aggressive data augmentation and generative models are among the most straightforward approaches to overcoming the lack of data. However, the first fails to be agnostic to varying image domains, while the latter requires additional compute and careful design. In this work, we study alternative regularization strategies to push the limits of supervised learning on small image classification datasets. In particular, along with the model size and training schedule scaling, we employ a heuristic to select (semi) optimal learning rate and weight decay couples via the norm of model parameters. By training on only 1% of the original CIFAR-10 training set (i.e., 50 images per class) and testing on ciFAIR-10, a variant of the original CIFAR without duplicated images, we reach a test accuracy of 66.5%, on par with the best state-of-the-art methods.



Abstract:Food recognition and nutritional apps are trending technologies that may revolutionise the way people with diabetes manage their diet. Such apps can monitor food intake as a digital diary and even employ artificial intelligence to assess the diet automatically. Although these apps offer a promising solution for managing diabetes, they are rarely used by patients. This chapter aims to provide an in-depth assessment of the current status of apps for food recognition and nutrition, to identify factors that may inhibit or facilitate their use, while it is accompanied by an outline of relevant research and development.




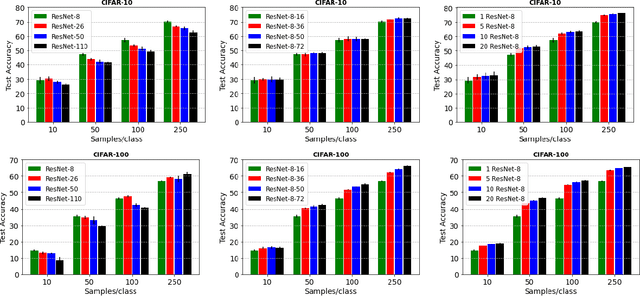
Abstract:Deep neural networks represent the gold standard for image classification. However, they usually need large amounts of data to reach superior performance. In this work, we focus on image classification problems with a few labeled examples per class and improve data efficiency by using an ensemble of relatively small networks. For the first time, our work broadly studies the existing concept of neural ensembling in domains with small data, through extensive validation using popular datasets and architectures. We compare ensembles of networks to their deeper or wider single competitors given a total fixed computational budget. We show that ensembling relatively shallow networks is a simple yet effective technique that is generally better than current state-of-the-art approaches for learning from small datasets. Finally, we present our interpretation according to which neural ensembles are more sample efficient because they learn simpler functions.




Abstract:Learning from limited amounts of data is the hallmark of intelligence, requiring strong generalization and abstraction skills. In a machine learning context, data-efficient methods are of high practical importance since data collection and annotation are prohibitively expensive in many domains. Thus, coordinated efforts to foster progress in this area emerged recently, e.g., in the form of dedicated workshops and competitions. Besides a common benchmark, measuring progress requires strong baselines. We present such a strong baseline for data-efficient image classification on the VIPriors challenge dataset, which is a sub-sampled version of ImageNet-1k with 100 images per class. We do not use any methods tailored to data-efficient classification but only standard models and techniques as well as common competition tricks and thorough hyper-parameter tuning. Our baseline achieves 69.7% accuracy on the VIPriors image classification dataset and outperforms 50% of submissions to the VIPriors 2021 challenge.




Abstract:Data-efficient image classification using deep neural networks in settings, where only small amounts of labeled data are available, has been an active research area in the recent past. However, an objective comparison between published methods is difficult, since existing works use different datasets for evaluation and often compare against untuned baselines with default hyper-parameters. We design a benchmark for data-efficient image classification consisting of six diverse datasets spanning various domains (e.g., natural images, medical imagery, satellite data) and data types (RGB, grayscale, multispectral). Using this benchmark, we re-evaluate the standard cross-entropy baseline and eight methods for data-efficient deep learning published between 2017 and 2021 at renowned venues. For a fair and realistic comparison, we carefully tune the hyper-parameters of all methods on each dataset. Surprisingly, we find that tuning learning rate, weight decay, and batch size on a separate validation split results in a highly competitive baseline, which outperforms all but one specialized method and performs competitively to the remaining one.