



Abstract:Deep learning has emerged as a promising solution for efficient channel state information (CSI) feedback in frequency division duplex (FDD) massive MIMO systems. Conventional deep learning-based methods typically rely on a deep autoencoder to compress the CSI, which leads to irreversible information loss and degrades reconstruction accuracy. This paper introduces InvCSINet, an information-preserving CSI feedback framework based on invertible neural networks (INNs). By leveraging the bijective nature of INNs, the model ensures information-preserving compression and reconstruction with shared model parameters. To address practical challenges such as quantization and channel-induced errors, we endogenously integrate an adaptive quantization module, a differentiable bit-channel distortion module and an information compensation module into the INN architecture. This design enables the network to learn and compensate the information loss during CSI compression, quantization, and noisy transmission, thereby preserving the CSI integrity throughout the feedback process. Simulation results validate the effectiveness of the proposed scheme, demonstrating superior CSI recovery performance and robustness to practical impairments with a lightweight architecture.




Abstract:Integrated sensing and communication (ISAC) has emerged as a key enabler for next-generation wireless networks, supporting advanced applications such as high-precision localization and environment reconstruction. Cooperative ISAC (CoISAC) further enhances these capabilities by enabling multiple base stations (BSs) to jointly optimize communication and sensing performance through coordination. However, CoISAC beamforming design faces significant challenges due to system heterogeneity, large-scale problem complexity, and sensitivity to parameter estimation errors. Traditional deep learning-based techniques fail to exploit the unique structural characteristics of CoISAC systems, thereby limiting their ability to enhance system performance. To address these challenges, we propose a Link-Heterogeneous Graph Neural Network (LHGNN) for joint beamforming in CoISAC systems. Unlike conventional approaches, LHGNN models communication and sensing links as heterogeneous nodes and their interactions as edges, enabling the capture of the heterogeneous nature and intricate interactions of CoISAC systems. Furthermore, a graph attention mechanism is incorporated to dynamically adjust node and link importance, improving robustness to channel and position estimation errors. Numerical results demonstrate that the proposed attention-enhanced LHGNN achieves superior communication rates while maintaining sensing accuracy under power constraints. The proposed method also exhibits strong robustness to communication channel and position estimation error.




Abstract:Localization and tracking (LocTrack) are fundamental enablers for a wide range of emerging applications. Reconfigurable intelligent surfaces (RISs) have emerged as key components for enhancing the LocTrack performance. This paper investigates a multi-RIS-assisted multi-user (MRMU) LocTrack system, where multiple RISs collaboratively reflect the position-bearing signals for information fusion at the base station, leveraging spatial-temporal correlations in user positions. While studies have shown these correlations improve localization accuracy, their trade-offs with system complexity remain unclear. To address this gap, we characterize the effectiveness of spatial-temporal correlation priors (STPs) utilization in MRMU LocTrack systems using a metric, termed efficiency of correlation (EoC). To further elucidate correlation propagation and RIS interactions, we provide a "correlation information routing" interpretation of EoC through random walk theory. EoC provides a principled performance evaluation metric, that enables system designers to balance localization accuracy enhancement against the increased complexity. Additionally, we investigate the error propagation phenomenon, analyzing its convergence and asymptotic behavior in MRMU LocTrack systems. Finally, we validate the theoretical results through extensive numerical simulations.




Abstract:Correlation exploitation is essential for efficient multi-user channel estimation (MUCE) in massive MIMO systems. However, the existing works either rely on presumed strong correlation or learn the correlation through large amount of labeled data, which are difficult to acquire in a real system. In this paper, we propose an adaptive MUCE algorithm based on contrastive feature learning. The contrastive learning (CL) is used to automatically learn the similarity within channels by extracting the channel state information (CSI) features based on location information. The similar features will be fed into the downstream network to explore the strong correlations among CSI features to improve the MUCE performance with a small number of labeled data. Simulation results show that the contrastive feature learning can enhance the overall MUCE performance with high training efficiency.
Abstract:The sixth generation (6G) wireless systems are envisioned to enable the paradigm shift from "connected things" to "connected intelligence", featured by ultra high density, large-scale, dynamic heterogeneity, diversified functional requirements and machine learning capabilities, which leads to a growing need for highly efficient intelligent algorithms. The classic optimization-based algorithms usually require highly precise mathematical model of data links and suffer from poor performance with high computational cost in realistic 6G applications. Based on domain knowledge (e.g., optimization models and theoretical tools), machine learning (ML) stands out as a promising and viable methodology for many complex large-scale optimization problems in 6G, due to its superior performance, generalizability, computational efficiency and robustness. In this paper, we systematically review the most representative "learning to optimize" techniques in diverse domains of 6G wireless networks by identifying the inherent feature of the underlying optimization problem and investigating the specifically designed ML frameworks from the perspective of optimization. In particular, we will cover algorithm unrolling, learning to branch-and-bound, graph neural network for structured optimization, deep reinforcement learning for stochastic optimization, end-to-end learning for semantic optimization, as well as federated learning for distributed optimization, for solving challenging large-scale optimization problems arising from various important wireless applications. Through the in-depth discussion, we shed light on the excellent performance of ML-based optimization algorithms with respect to the classical methods, and provide insightful guidance to develop advanced ML techniques in 6G networks.




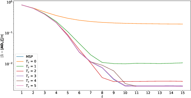
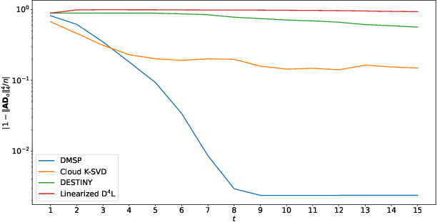
Abstract:With the rapid development of information technologies, centralized data processing is subject to many limitations, such as computational overheads, communication delays, and data privacy leakage. Decentralized data processing over networked terminal nodes becomes an important technology in the era of big data. Dictionary learning is a powerful representation learning method to exploit the low-dimensional structure from the high-dimensional data. By exploiting the low-dimensional structure, the storage and the processing overhead of data can be effectively reduced. In this paper, we propose a novel decentralized complete dictionary learning algorithm, which is based on $\ell^{4}$-norm maximization. Compared with existing decentralized dictionary learning algorithms, comprehensive numerical experiments show that the novel algorithm has significant advantages in terms of per-iteration computational complexity, communication cost, and convergence rate in many scenarios. Moreover, a rigorous theoretical analysis shows that the dictionaries learned by the proposed algorithm can converge to the one learned by a centralized dictionary learning algorithm at a linear rate with high probability under certain conditions.


Abstract:Federated learning (FL) is recognized as a key enabling technology to support distributed artificial intelligence (AI) services in future 6G. By supporting decentralized data training and collaborative model training among devices, FL inherently tames privacy leakage and reduces transmission costs. Whereas, the performance of the wireless FL is typically restricted by the communication latency. Multiple-input multiple-output (MIMO) technique is one promising solution to build up a communication-efficient edge FL system with limited radio resources. In this paper, we propose a novel joint device scheduling and receive beamforming design approach to reduce the FL convergence gap over shared wireless MIMO networks. Specifically, we theoretically establish the convergence analysis of the FL process, and then apply the proposed device scheduling policy to maximize the number of weighted devices under the FL system latency and sum power constraints. Numerical results verify the theoretical analysis of the FL convergence and exhibit the appealing learning performance of the proposed approach.