Abstract:Current reinforcement learning from human feedback (RLHF) pipelines for large language model (LLM) alignment typically assign scalar rewards to sequences, using the final token as a surrogate indicator for the quality of the entire sequence. However, this leads to sparse feedback and suboptimal token-level credit assignment. In this work, we frame reward shaping as an optimization problem focused on token-level credit assignment. We propose a reward-shaping function leveraging explainability methods such as SHAP and LIME to estimate per-token rewards from the reward model. To learn parameters of this shaping function, we employ a bilevel optimization framework that integrates Bayesian Optimization and policy training to handle noise from the token reward estimates. Our experiments show that achieving a better balance of token-level reward attribution leads to performance improvements over baselines on downstream tasks and finds an optimal policy faster during training. Furthermore, we show theoretically that explainability methods that are feature additive attribution functions maintain the optimal policy as the original reward.




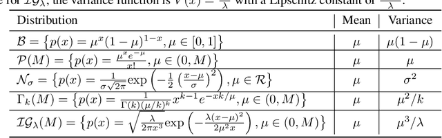
Abstract:We study the problem of Multi-Armed Bandits (MAB) with reward distributions belonging to a One-Parameter Exponential Distribution (OPED) family. In the literature, several criteria have been proposed to evaluate the performance of such algorithms, including Asymptotic Optimality (A.O.), Minimax Optimality (M.O.), Sub-UCB, and variance-adaptive worst-case regret bound. Thompson Sampling (TS)-based and Upper Confidence Bound (UCB)-based algorithms have been employed to achieve some of these criteria. However, none of these algorithms simultaneously satisfy all the aforementioned criteria. In this paper, we design an algorithm, Exponential Kullback-Leibler Maillard Sampling (abbrev. \expklms), that can achieve multiple optimality criteria simultaneously, including A.O., M.O. with a logarithmic factor, Sub-UCB, and variance-adaptive worst-case regret bound.


Abstract:The best arm identification problem requires identifying the best alternative (i.e., arm) in active experimentation using the smallest number of experiments (i.e., arm pulls), which is crucial for cost-efficient and timely decision-making processes. In the fixed confidence setting, an algorithm must stop data-dependently and return the estimated best arm with a correctness guarantee. Since this stopping time is random, we desire its distribution to have light tails. Unfortunately, many existing studies focus on high probability or in expectation bounds on the stopping time, which allow heavy tails and, for high probability bounds, even not stopping at all. We first prove that this never-stopping event can indeed happen for some popular algorithms. Motivated by this, we propose algorithms that provably enjoy an exponential-tailed stopping time, which improves upon the polynomial tail bound reported by Kalyanakrishnan et al. (2012). The first algorithm is based on a fixed budget algorithm called Sequential Halving along with a doubling trick. The second algorithm is a meta algorithm that takes in any fixed confidence algorithm with a high probability stopping guarantee and turns it into one that enjoys an exponential-tailed stopping time. Our results imply that there is much more to be desired for contemporary fixed confidence algorithms.
Abstract:We study the problem of estimating the \emph{value} of the largest mean among $K$ distributions via samples from them (rather than estimating \emph{which} distribution has the largest mean), which arises from various machine learning tasks including Q-learning and Monte Carlo tree search. While there have been a few proposed algorithms, their performance analyses have been limited to their biases rather than a precise error metric. In this paper, we propose a novel algorithm called HAVER (Head AVERaging) and analyze its mean squared error. Our analysis reveals that HAVER has a compelling performance in two respects. First, HAVER estimates the maximum mean as well as the oracle who knows the identity of the best distribution and reports its sample mean. Second, perhaps surprisingly, HAVER exhibits even better rates than this oracle when there are many distributions near the best one. Both of these improvements are the first of their kind in the literature, and we also prove that the naive algorithm that reports the largest empirical mean does not achieve these bounds. Finally, we confirm our theoretical findings via numerical experiments including bandits and Q-learning scenarios where HAVER outperforms baseline methods.




Abstract:We propose a novel linear bandit algorithm called LinMED (Linear Minimum Empirical Divergence), which is a linear extension of the MED algorithm that was originally designed for multi-armed bandits. LinMED is a randomized algorithm that admits a closed-form computation of the arm sampling probabilities, unlike the popular randomized algorithm called linear Thompson sampling. Such a feature proves useful for off-policy evaluation where the unbiased evaluation requires accurately computing the sampling probability. We prove that LinMED enjoys a near-optimal regret bound of $d\sqrt{n}$ up to logarithmic factors where $d$ is the dimension and $n$ is the time horizon. We further show that LinMED enjoys a $\frac{d^2}{\Delta}\left(\log^2(n)\right)\log\left(\log(n)\right)$ problem-dependent regret where $\Delta$ is the smallest sub-optimality gap, which is lower than $\frac{d^2}{\Delta}\log^3(n)$ of the standard algorithm OFUL (Abbasi-yadkori et al., 2011). Our empirical study shows that LinMED has a competitive performance with the state-of-the-art algorithms.
Abstract:We present a unified likelihood ratio-based confidence sequence (CS) for any (self-concordant) generalized linear models (GLMs) that is guaranteed to be convex and numerically tight. We show that this is on par or improves upon known CSs for various GLMs, including Gaussian, Bernoulli, and Poisson. In particular, for the first time, our CS for Bernoulli has a poly(S)-free radius where S is the norm of the unknown parameter. Our first technical novelty is its derivation, which utilizes a time-uniform PAC-Bayesian bound with a uniform prior/posterior, despite the latter being a rather unpopular choice for deriving CSs. As a direct application of our new CS, we propose a simple and natural optimistic algorithm called OFUGLB applicable to any generalized linear bandits (GLB; Filippi et al. (2010)). Our analysis shows that the celebrated optimistic approach simultaneously attains state-of-the-art regrets for various self-concordant (not necessarily bounded) GLBs, and even poly(S)-free for bounded GLBs, including logistic bandits. The regret analysis, our second technical novelty, follows from combining our new CS with a new proof technique that completely avoids the previously widely used self-concordant control lemma (Faury et al., 2020, Lemma 9). Finally, we verify numerically that OFUGLB significantly outperforms the prior state-of-the-art (Lee et al., 2024) for logistic bandits.
Abstract:This paper introduces the \emph{confounded pure exploration transductive linear bandit} (\texttt{CPET-LB}) problem. As a motivating example, often online services cannot directly assign users to specific control or treatment experiences either for business or practical reasons. In these settings, naively comparing treatment and control groups that may result from self-selection can lead to biased estimates of underlying treatment effects. Instead, online services can employ a properly randomized encouragement that incentivizes users toward a specific treatment. Our methodology provides online services with an adaptive experimental design approach for learning the best-performing treatment for such \textit{encouragement designs}. We consider a more general underlying model captured by a linear structural equation and formulate pure exploration linear bandits in this setting. Though pure exploration has been extensively studied in standard adaptive experimental design settings, we believe this is the first work considering a setting where noise is confounded. Elimination-style algorithms using experimental design methods in combination with a novel finite-time confidence interval on an instrumental variable style estimator are presented with sample complexity upper bounds nearly matching a minimax lower bound. Finally, experiments are conducted that demonstrate the efficacy of our approach.



Abstract:We study low-rank matrix trace regression and the related problem of low-rank matrix bandits. Assuming access to the distribution of the covariates, we propose a novel low-rank matrix estimation method called LowPopArt and provide its recovery guarantee that depends on a novel quantity denoted by B(Q) that characterizes the hardness of the problem, where Q is the covariance matrix of the measurement distribution. We show that our method can provide tighter recovery guarantees than classical nuclear norm penalized least squares (Koltchinskii et al., 2011) in several problems. To perform efficient estimation with a limited number of measurements from an arbitrarily given measurement set A, we also propose a novel experimental design criterion that minimizes B(Q) with computational efficiency. We leverage our novel estimator and design of experiments to derive two low-rank linear bandit algorithms for general arm sets that enjoy improved regret upper bounds. This improves over previous works on low-rank bandits, which make somewhat restrictive assumptions that the arm set is the unit ball or that an efficient exploration distribution is given. To our knowledge, our experimental design criterion is the first one tailored to low-rank matrix estimation beyond the naive reduction to linear regression, which can be of independent interest.
Abstract:Let $f(\theta, X_1),$ $ \dots,$ $ f(\theta, X_n)$ be a sequence of random elements, where $f$ is a fixed scalar function, $X_1, \dots, X_n$ are independent random variables (data), and $\theta$ is a random parameter distributed according to some data-dependent posterior distribution $P_n$. In this paper, we consider the problem of proving concentration inequalities to estimate the mean of the sequence. An example of such a problem is the estimation of the generalization error of some predictor trained by a stochastic algorithm, such as a neural network where $f$ is a loss function. Classically, this problem is approached through a PAC-Bayes analysis where, in addition to the posterior, we choose a prior distribution which captures our belief about the inductive bias of the learning problem. Then, the key quantity in PAC-Bayes concentration bounds is a divergence that captures the complexity of the learning problem where the de facto standard choice is the KL divergence. However, the tightness of this choice has rarely been questioned. In this paper, we challenge the tightness of the KL-divergence-based bounds by showing that it is possible to achieve a strictly tighter bound. In particular, we demonstrate new high-probability PAC-Bayes bounds with a novel and better-than-KL divergence that is inspired by Zhang et al. (2022). Our proof is inspired by recent advances in regret analysis of gambling algorithms, and its use to derive concentration inequalities. Our result is first-of-its-kind in that existing PAC-Bayes bounds with non-KL divergences are not known to be strictly better than KL. Thus, we believe our work marks the first step towards identifying optimal rates of PAC-Bayes bounds.
Abstract:Adapting to a priori unknown noise level is a very important but challenging problem in sequential decision-making as efficient exploration typically requires knowledge of the noise level, which is often loosely specified. We report significant progress in addressing this issue in linear bandits in two respects. First, we propose a novel confidence set that is `semi-adaptive' to the unknown sub-Gaussian parameter $\sigma_*^2$ in the sense that the (normalized) confidence width scales with $\sqrt{d\sigma_*^2 + \sigma_0^2}$ where $d$ is the dimension and $\sigma_0^2$ is the specified sub-Gaussian parameter (known) that can be much larger than $\sigma_*^2$. This is a significant improvement over $\sqrt{d\sigma_0^2}$ of the standard confidence set of Abbasi-Yadkori et al. (2011), especially when $d$ is large. We show that this leads to an improved regret bound in linear bandits. Second, for bounded rewards, we propose a novel variance-adaptive confidence set that has a much improved numerical performance upon prior art. We then apply this confidence set to develop, as we claim, the first practical variance-adaptive linear bandit algorithm via an optimistic approach, which is enabled by our novel regret analysis technique. Both of our confidence sets rely critically on `regret equality' from online learning. Our empirical evaluation in Bayesian optimization tasks shows that our algorithms demonstrate better or comparable performance compared to existing methods.