Abstract:We propose a multimodal-driven framework for high-fidelity long-term digital human animation termed $\textbf{Soul}$, which generates semantically coherent videos from a single-frame portrait image, text prompts, and audio, achieving precise lip synchronization, vivid facial expressions, and robust identity preservation. We construct Soul-1M, containing 1 million finely annotated samples with a precise automated annotation pipeline (covering portrait, upper-body, full-body, and multi-person scenes) to mitigate data scarcity, and we carefully curate Soul-Bench for comprehensive and fair evaluation of audio-/text-guided animation methods. The model is built on the Wan2.2-5B backbone, integrating audio-injection layers and multiple training strategies together with threshold-aware codebook replacement to ensure long-term generation consistency. Meanwhile, step/CFG distillation and a lightweight VAE are used to optimize inference efficiency, achieving an 11.4$\times$ speedup with negligible quality loss. Extensive experiments show that Soul significantly outperforms current leading open-source and commercial models on video quality, video-text alignment, identity preservation, and lip-synchronization accuracy, demonstrating broad applicability in real-world scenarios such as virtual anchors and film production. Project page at https://zhangzjn.github.io/projects/Soul/




Abstract:Face swapping aims to generate results that combine the identity from the source with attributes from the target. Existing methods primarily focus on image-based face swapping. When processing videos, each frame is handled independently, making it difficult to ensure temporal stability. From a model perspective, face swapping is gradually shifting from generative adversarial networks (GANs) to diffusion models (DMs), as DMs have been shown to possess stronger generative capabilities. Current diffusion-based approaches often employ inpainting techniques, which struggle to preserve fine-grained attributes like lighting and makeup. To address these challenges, we propose a high fidelity video face swapping (HiFiVFS) framework, which leverages the strong generative capability and temporal prior of Stable Video Diffusion (SVD). We build a fine-grained attribute module to extract identity-disentangled and fine-grained attribute features through identity desensitization and adversarial learning. Additionally, We introduce detailed identity injection to further enhance identity similarity. Extensive experiments demonstrate that our method achieves state-of-the-art (SOTA) in video face swapping, both qualitatively and quantitatively.




Abstract:Current face reenactment and swapping methods mainly rely on GAN frameworks, but recent focus has shifted to pre-trained diffusion models for their superior generation capabilities. However, training these models is resource-intensive, and the results have not yet achieved satisfactory performance levels. To address this issue, we introduce Face-Adapter, an efficient and effective adapter designed for high-precision and high-fidelity face editing for pre-trained diffusion models. We observe that both face reenactment/swapping tasks essentially involve combinations of target structure, ID and attribute. We aim to sufficiently decouple the control of these factors to achieve both tasks in one model. Specifically, our method contains: 1) A Spatial Condition Generator that provides precise landmarks and background; 2) A Plug-and-play Identity Encoder that transfers face embeddings to the text space by a transformer decoder. 3) An Attribute Controller that integrates spatial conditions and detailed attributes. Face-Adapter achieves comparable or even superior performance in terms of motion control precision, ID retention capability, and generation quality compared to fully fine-tuned face reenactment/swapping models. Additionally, Face-Adapter seamlessly integrates with various StableDiffusion models.




Abstract:Pixel2Mesh (P2M) is a classical approach for reconstructing 3D shapes from a single color image through coarse-to-fine mesh deformation. Although P2M is capable of generating plausible global shapes, its Graph Convolution Network (GCN) often produces overly smooth results, causing the loss of fine-grained geometry details. Moreover, P2M generates non-credible features for occluded regions and struggles with the domain gap from synthetic data to real-world images, which is a common challenge for single-view 3D reconstruction methods. To address these challenges, we propose a novel Transformer-boosted architecture, named T-Pixel2Mesh, inspired by the coarse-to-fine approach of P2M. Specifically, we use a global Transformer to control the holistic shape and a local Transformer to progressively refine the local geometry details with graph-based point upsampling. To enhance real-world reconstruction, we present the simple yet effective Linear Scale Search (LSS), which serves as prompt tuning during the input preprocessing. Our experiments on ShapeNet demonstrate state-of-the-art performance, while results on real-world data show the generalization capability.




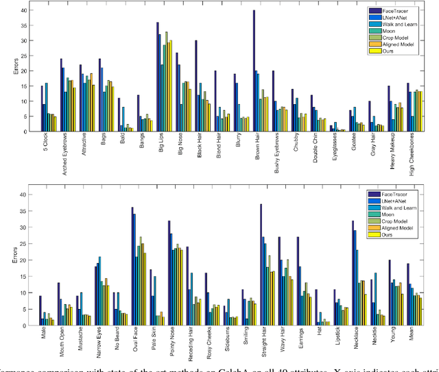
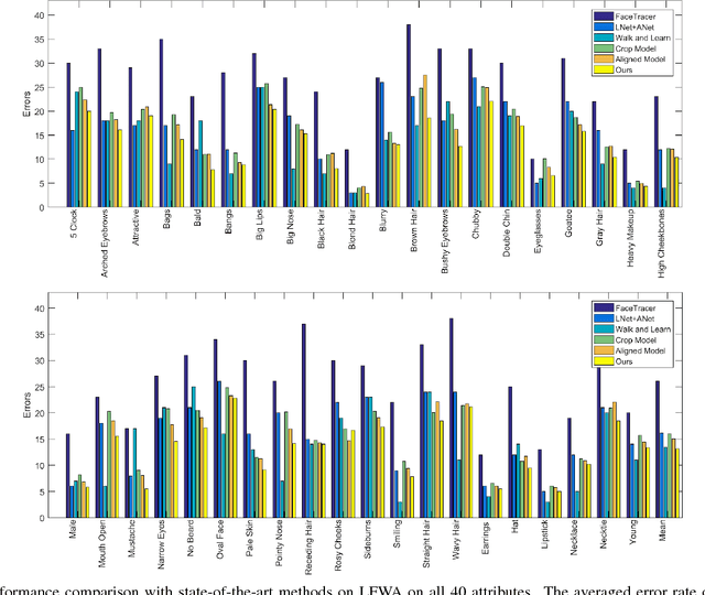
Abstract:Facial attribute analysis in the real world scenario is very challenging mainly because of complex face variations. Existing works of analyzing face attributes are mostly based on the cropped and aligned face images. However, this result in the capability of attribute prediction heavily relies on the preprocessing of face detector. To address this problem, we present a novel jointly learned deep architecture for both facial attribute analysis and face detection. Our framework can process the natural images in the wild and our experiments on CelebA and LFWA datasets clearly show that the state-of-the-art performance is obtained.