Abstract:With the wide and cross-domain adoption of Large Language Models, it becomes crucial to assess to which extent the statistical correlations in training data, which underlie their impressive performance, hide subtle and potentially troubling biases. Gender bias in LLMs has been widely investigated from the perspectives of works, hobbies, and emotions typically associated with a specific gender. In this study, we introduce a novel perspective. We investigate whether LLMs can predict an individual's gender based solely on online shopping histories and whether these predictions are influenced by gender biases and stereotypes. Using a dataset of historical online purchases from users in the United States, we evaluate the ability of six LLMs to classify gender and we then analyze their reasoning and products-gender co-occurrences. Results indicate that while models can infer gender with moderate accuracy, their decisions are often rooted in stereotypical associations between product categories and gender. Furthermore, explicit instructions to avoid bias reduce the certainty of model predictions, but do not eliminate stereotypical patterns. Our findings highlight the persistent nature of gender biases in LLMs and emphasize the need for robust bias-mitigation strategies.




Abstract:Natural Language Processing and Generation systems have recently shown the potential to complement and streamline the costly and time-consuming job of professional fact-checkers. In this work, we lift several constraints of current state-of-the-art pipelines for automated fact-checking based on the Retrieval-Augmented Generation (RAG) paradigm. Our goal is to benchmark, under more realistic scenarios, RAG-based methods for the generation of verdicts - i.e., short texts discussing the veracity of a claim - evaluating them on stylistically complex claims and heterogeneous, yet reliable, knowledge bases. Our findings show a complex landscape, where, for example, LLM-based retrievers outperform other retrieval techniques, though they still struggle with heterogeneous knowledge bases; larger models excel in verdict faithfulness, while smaller models provide better context adherence, with human evaluations favouring zero-shot and one-shot approaches for informativeness, and fine-tuned models for emotional alignment.




Abstract:As Large Language Model (LLM)-based agents become increasingly autonomous and will more freely interact with each other, studying interactions between them becomes crucial to anticipate emergent phenomena and potential risks. Drawing inspiration from the widely popular Stanford Prison Experiment, we contribute to this line of research by studying interaction patterns of LLM agents in a context characterized by strict social hierarchy. We do so by specifically studying two types of phenomena: persuasion and anti-social behavior in simulated scenarios involving a guard and a prisoner agent who seeks to achieve a specific goal (i.e., obtaining additional yard time or escape from prison). Leveraging 200 experimental scenarios for a total of 2,000 machine-machine conversations across five different popular LLMs, we provide a set of noteworthy findings. We first document how some models consistently fail in carrying out a conversation in our multi-agent setup where power dynamics are at play. Then, for the models that were able to engage in successful interactions, we empirically show how the goal that an agent is set to achieve impacts primarily its persuasiveness, while having a negligible effect with respect to the agent's anti-social behavior. Third, we highlight how agents' personas, and particularly the guard's personality, drive both the likelihood of successful persuasion from the prisoner and the emergence of anti-social behaviors. Fourth, we show that even without explicitly prompting for specific personalities, anti-social behavior emerges by simply assigning agents' roles. These results bear implications for the development of interactive LLM agents as well as the debate on their societal impact.




Abstract:As Large Language Model (LLM)-based agents become increasingly autonomous and will more freely interact with each other, studying interactions between them becomes crucial to anticipate emergent phenomena and potential risks. Drawing inspiration from the widely popular Stanford Prison Experiment, we contribute to this line of research by studying interaction patterns of LLM agents in a context characterized by strict social hierarchy. We do so by specifically studying two types of phenomena: persuasion and anti-social behavior in simulated scenarios involving a guard and a prisoner agent who seeks to achieve a specific goal (i.e., obtaining additional yard time or escape from prison). Leveraging 200 experimental scenarios for a total of 2,000 machine-machine conversations across five different popular LLMs, we provide a set of noteworthy findings. We first document how some models consistently fail in carrying out a conversation in our multi-agent setup where power dynamics are at play. Then, for the models that were able to engage in successful interactions, we empirically show how the goal that an agent is set to achieve impacts primarily its persuasiveness, while having a negligible effect with respect to the agent's anti-social behavior. Third, we highlight how agents' personas, and particularly the guard's personality, drive both the likelihood of successful persuasion from the prisoner and the emergence of anti-social behaviors. Fourth, we show that even without explicitly prompting for specific personalities, anti-social behavior emerges by simply assigning agents' roles. These results bear implications for the development of interactive LLM agents as well as the debate on their societal impact.




Abstract:We present the first application of modern Hopfield networks to the problem of portfolio optimization. We performed an extensive study based on combinatorial purged cross-validation over several datasets and compared our results to both traditional and deep-learning-based methods for portfolio selection. Compared to state-of-the-art deep-learning methods such as Long-Short Term Memory networks and Transformers, we find that the proposed approach performs on par or better, while providing faster training times and better stability. Our results show that Modern Hopfield Networks represent a promising approach to portfolio optimization, allowing for an efficient, scalable, and robust solution for asset allocation, risk management, and dynamic rebalancing.
Abstract:Large Language Models (LLMs) demonstrate an impressive capacity to recall a vast range of common factual knowledge information. However, unravelling the underlying reasoning of LLMs and explaining their internal mechanisms of exploiting this factual knowledge remain active areas of investigation. Our work analyzes the factual knowledge encoded in the latent representation of LLMs when prompted to assess the truthfulness of factual claims. We propose an end-to-end framework that jointly decodes the factual knowledge embedded in the latent space of LLMs from a vector space to a set of ground predicates and represents its evolution across the layers using a temporal knowledge graph. Our framework relies on the technique of activation patching which intervenes in the inference computation of a model by dynamically altering its latent representations. Consequently, we neither rely on external models nor training processes. We showcase our framework with local and global interpretability analyses using two claim verification datasets: FEVER and CLIMATE-FEVER. The local interpretability analysis exposes different latent errors from representation to multi-hop reasoning errors. On the other hand, the global analysis uncovered patterns in the underlying evolution of the model's factual knowledge (e.g., store-and-seek factual information). By enabling graph-based analyses of the latent representations, this work represents a step towards the mechanistic interpretability of LLMs.




Abstract:We explore the potential of Large Language Models (LLMs) to assist and potentially correct physicians in medical decision-making tasks. We evaluate several LLMs, including Meditron, Llama2, and Mistral, to analyze the ability of these models to interact effectively with physicians across different scenarios. We consider questions from PubMedQA and several tasks, ranging from binary (yes/no) responses to long answer generation, where the answer of the model is produced after an interaction with a physician. Our findings suggest that prompt design significantly influences the downstream accuracy of LLMs and that LLMs can provide valuable feedback to physicians, challenging incorrect diagnoses and contributing to more accurate decision-making. For example, when the physician is accurate 38% of the time, Mistral can produce the correct answer, improving accuracy up to 74% depending on the prompt being used, while Llama2 and Meditron models exhibit greater sensitivity to prompt choice. Our analysis also uncovers the challenges of ensuring that LLM-generated suggestions are pertinent and useful, emphasizing the need for further research in this area.




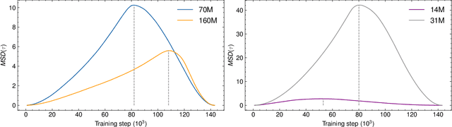
Abstract:A substantial gap persists in understanding the reasons behind the exceptional performance of the Transformer architecture in NLP. A particularly unexplored area involves the mechanistic description of how the distribution of parameters evolves over time during training. In this work we suggest that looking at the time evolution of the statistic distribution of model parameters, and specifically at bifurcation effects, can help understanding the model quality, potentially reducing training costs and evaluation efforts and empirically showing the reasons behind the effectiveness of weights sparsification.




Abstract:The proliferation of misinformation on social media platforms (SMPs) poses a significant danger to public health, social cohesion and ultimately democracy. Previous research has shown how social correction can be an effective way to curb misinformation, by engaging directly in a constructive dialogue with users who spread -- often in good faith -- misleading messages. Although professional fact-checkers are crucial to debunking viral claims, they usually do not engage in conversations on social media. Thereby, significant effort has been made to automate the use of fact-checker material in social correction; however, no previous work has tried to integrate it with the style and pragmatics that are commonly employed in social media communication. To fill this gap, we present VerMouth, the first large-scale dataset comprising roughly 12 thousand claim-response pairs (linked to debunking articles), accounting for both SMP-style and basic emotions, two factors which have a significant role in misinformation credibility and spreading. To collect this dataset we used a technique based on an author-reviewer pipeline, which efficiently combines LLMs and human annotators to obtain high-quality data. We also provide comprehensive experiments showing how models trained on our proposed dataset have significant improvements in terms of output quality and generalization capabilities.
Abstract:Over the last decade, several regulatory bodies have started requiring the disclosure of non-financial information from publicly listed companies, in light of the investors' increasing attention to Environmental, Social, and Governance (ESG) issues. Such information is publicly released in a variety of non-structured and multi-modal documentation. Hence, it is not straightforward to aggregate and consolidate such data in a cohesive framework to further derive insights about sustainability practices across companies and markets. Thus, it is natural to resort to Information Extraction (IE) techniques to provide concise, informative and actionable data to the stakeholders. Moving beyond traditional text processing techniques, in this work we leverage Large Language Models (LLMs), along with prominent approaches such as Retrieved Augmented Generation and in-context learning, to extract semantically structured information from sustainability reports. We then adopt graph-based representations to generate meaningful statistical, similarity and correlation analyses concerning the obtained findings, highlighting the prominent sustainability actions undertaken across industries and discussing emerging similarity and disclosing patterns at company, sector and region levels. Lastly, we investigate which factual aspects impact the most on companies' ESG scores using our findings and other company information.