Abstract:Differential microphone arrays offer a promising solution for far-field acoustic signal acquisition due to their high spatial directivity and compact array structure. A key challenge lies in designing differential beamformers that are continuously steerable and capable of enhancing target signals arriving from arbitrary directions. This paper studies the design of differential beamformers for circular arrays and proposes a novel framework that incorporates directional derivative constraints. By constraining the first-order derivatives of the beampattern at the desired steering direction to zero and assigning suitable values to higher-order derivatives, the beamformer is ensured to achieve its maximum response in the target direction and provide sufficient beam steering. This approach not only improves steering flexibility but also enables a more intuitive and robust beampattern design. Simulation results demonstrate that the proposed method produces continuously steerable beampatterns.
Abstract:Online blind source separation is essential for both speech communication and human-machine interaction. Among existing approaches, overdetermined independent vector analysis (OverIVA) delivers strong performance by exploiting the statistical independence of source signals and the orthogonality between source and noise subspaces. However, when applied to large microphone arrays, the number of parameters grows rapidly, which can degrade online estimation accuracy. To overcome this challenge, we propose decomposing each long separation filter into a bilinear form of two shorter filters, thereby reducing the number of parameters. Because the two filters are closely coupled, we design an alternating iterative projection algorithm to update them in turn. Simulation results show that, with far fewer parameters, the proposed method achieves improved performance and robustness.
Abstract:In this work, we propose a method to efficiently find the regularization parameter for low-rank MMSE filters based on a Kronecker-product representation. We show that the regularization parameter is surprisingly linked to the problem of rank selection and, thus, properly choosing it, is crucial for low-rank settings. The proposed method is validated through simulations, showing significant gains over commonly used methods.
Abstract:The performance of deep learning-based multi-channel speech enhancement methods often deteriorates when the geometric parameters of the microphone array change. Traditional approaches to mitigate this issue typically involve training on multiple microphone arrays, which can be costly. To address this challenge, we focus on uniform circular arrays and propose the use of a spatial filter bank to extract features that are approximately invariant to geometric parameters. These features are then processed by a two-stage conformer-based model (TSCBM) to enhance speech quality. Experimental results demonstrate that our proposed method can be trained on a fixed microphone array while maintaining effective performance across uniform circular arrays with unseen geometric configurations during applications.
Abstract:In this work, we present a new perspective on the origin and interpretation of adaptive filters. By applying Bayesian principles of recursive inference from the state-space model and using a series of simplifications regarding the structure of the solution, we can present, in a unified framework, derivations of many adaptive filters which depend on the probabilistic model of the observational noise. In particular, under a Gaussian model, we obtain solutions well-known in the literature (such as LMS, NLMS, or Kalman filter), while using non-Gaussian noise, we obtain new families of adaptive filter. Notably, under assumption of Laplacian noise, we obtain a family of robust filters of which the signed-error algorithm is a well-known member, while other algorithms, derived effortlessly in the proposed framework, are entirely new. Numerical examples are shown to illustrate the properties and provide a better insight into the performance of the derived adaptive filters.
Abstract:This paper reviews pioneering works in microphone array processing and multichannel speech enhancement, highlighting historical achievements, technological evolution, commercialization aspects, and key challenges. It provides valuable insights into the progression and future direction of these areas. The paper examines foundational developments in microphone array design and optimization, showcasing innovations that improved sound acquisition and enhanced speech intelligibility in noisy and reverberant environments. It then introduces recent advancements and cutting-edge research in the field, particularly the integration of deep learning techniques such as all-neural beamformers. The paper also explores critical applications, discussing their evolution and current state-of-the-art technologies that significantly impact user experience. Finally, the paper outlines future research directions, identifying challenges and potential solutions that could drive further innovation in these fields. By providing a comprehensive overview and forward-looking perspective, this paper aims to inspire ongoing research and contribute to the sustained growth and development of microphone arrays and multichannel speech enhancement.


Abstract:The so-called independent low-rank matrix analysis (ILRMA) has demonstrated a great potential for dealing with the problem of determined blind source separation (BSS) for audio and speech signals. This method assumes that the spectra from different frequency bands are independent and the spectral coefficients in any frequency band are Gaussian distributed. The Itakura-Saito divergence is then employed to estimate the source model related parameters. In reality, however, the spectral coefficients from different frequency bands may be dependent, which is not considered in the existing ILRMA algorithm. This paper presents an improved version of ILRMA, which considers the dependency between the spectral coefficients from different frequency bands. The Sinkhorn divergence is then exploited to optimize the source model parameters. As a result of using the cross-band information, the BSS performance is improved. But the number of parameters to be estimated also increases significantly, and so is the computational complexity. To reduce the algorithm complexity, we apply the Kronecker product to decompose the modeling matrix into the product of a number of matrices of much smaller dimensionality. An efficient algorithm is then developed to implement the Sinkhorn divergence based BSS algorithm and the complexity is reduced by an order of magnitude.




Abstract:In this work, we consider the problem of regularization in minimum mean-squared error (MMSE) linear filters. Exploiting the relationship with statistical machine learning methods, the regularization parameter is found from the observed signals in a simple and automatic manner. The proposed approach is illustrated through system identification examples, where the automatic regularization yields near-optimal results.
Abstract:The image model method has been widely used to simulate room impulse responses and the endeavor to adapt this method to different applications has also piqued great interest over the last few decades. This paper attempts to extend the image model method and develops an anchor-point-image-model (APIM) approach as a solution for simulating impulse responses by including both the source radiation and sensor directivity patterns. To determine the orientations of all the virtual sources, anchor points are introduced to real sources, which subsequently lead to the determination of the orientations of the virtual sources. An algorithm is developed to generate room impulse responses with APIM by taking into account the directional pattern functions, factional time delays, as well as the computational complexity. The developed model and algorithms can be used in various acoustic problems to simulate room acoustics and improve and evaluate processing algorithms.




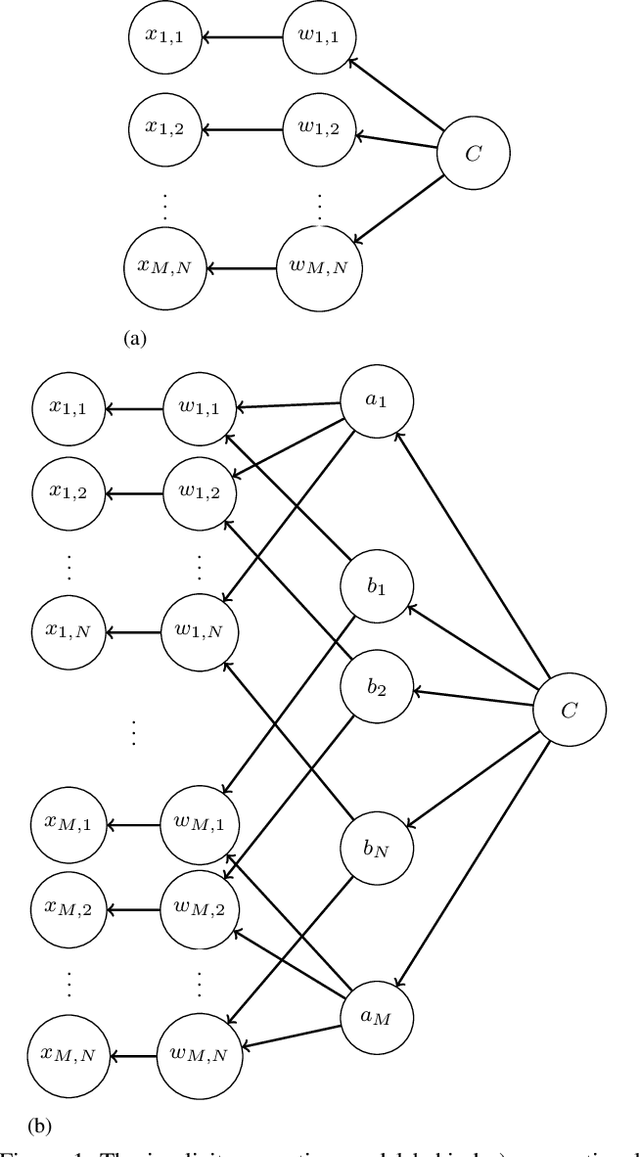
Abstract:In this work we define and analyze the bilinear models which replace the conventional linear operation used in many building blocks of machine learning (ML). The main idea is to devise the ML algorithms which are adapted to the objects they treat. In the case of monochromatic images, we show that the bilinear operation exploits better the structure of the image than the conventional linear operation which ignores the spatial relationship between the pixels. This translates into significantly smaller number of parameters required to yield the same performance. We show numerical examples of classification in the MNIST data set.