LIGM
Abstract:Although generative models have made remarkable progress in recent years, their use in critical applications has been hindered by their incapacity to reliably evaluate sample quality. Quality refers to at least two complementary concepts: fidelity and coverage. Current quality metrics often lack reliable, interpretable values due to an absence of calibration or insufficient robustness to outliers. To address these shortcomings, we introduce two novel metrics, Clipped Density and Clipped Coverage. By clipping individual sample contributions and, for fidelity, the radii of nearest neighbor balls, our metrics prevent out-of-distribution samples from biasing the aggregated values. Through analytical and empirical calibration, these metrics exhibit linear score degradation as the proportion of poor samples increases. Thus, they can be straightforwardly interpreted as equivalent proportions of good samples. Extensive experiments on synthetic and real-world datasets demonstrate that Clipped Density and Clipped Coverage outperform existing methods in terms of robustness, sensitivity, and interpretability for evaluating generative models.
Abstract:Radiography is widely used in orthopedics for its affordability and low radiation exposure. 3D reconstruction from a single radiograph, so-called 2D-3D reconstruction, offers the possibility of various clinical applications, but achieving clinically viable accuracy and computational efficiency is still an unsolved challenge. Unlike other areas in computer vision, X-ray imaging's unique properties, such as ray penetration and fixed geometry, have not been fully exploited. We propose a novel approach that simultaneously learns multiple depth maps (front- and back-surface of multiple bones) derived from the X-ray image to computed tomography registration. The proposed method not only leverages the fixed geometry characteristic of X-ray imaging but also enhances the precision of the reconstruction of the whole surface. Our study involved 600 CT and 2651 X-ray images (4 to 5 posed X-ray images per patient), demonstrating our method's superiority over traditional approaches with a surface reconstruction error reduction from 4.78 mm to 1.96 mm. This significant accuracy improvement and enhanced computational efficiency suggest our approach's potential for clinical application.
Abstract:While most vision tasks are essentially visual in nature (for recognition), some important tasks, especially in the medical field, also require quantitative analysis (for quantification) using quantitative images. Unlike in visual analysis, pixel values in quantitative images correspond to physical metrics measured by specific devices (e.g., a depth image). However, recent work has shown that it is sometimes possible to synthesize accurate quantitative values from visual ones (e.g., depth from visual cues or defocus). This research aims to improve quantitative image synthesis (QIS) by exploring pretraining and image resolution scaling. We propose a benchmark for evaluating pretraining performance using the task of QIS-based bone mineral density (BMD) estimation from plain X-ray images, where the synthesized quantitative image is used to derive BMD. Our results show that appropriate pretraining can improve QIS performance, significantly raising the correlation of BMD estimation from 0.820 to 0.898, while others do not help or even hinder it. Scaling-up the resolution can further boost the correlation up to 0.923, a significant enhancement over conventional methods. Future work will include exploring more pretraining strategies and validating them on other image synthesis tasks.




Abstract:This article introduces a novel approach to learning monotone neural networks through a newly defined penalization loss. The proposed method is particularly effective in solving classes of variational problems, specifically monotone inclusion problems, commonly encountered in image processing tasks. The Forward-Backward-Forward (FBF) algorithm is employed to address these problems, offering a solution even when the Lipschitz constant of the neural network is unknown. Notably, the FBF algorithm provides convergence guarantees under the condition that the learned operator is monotone. Building on plug-and-play methodologies, our objective is to apply these newly learned operators to solving non-linear inverse problems. To achieve this, we initially formulate the problem as a variational inclusion problem. Subsequently, we train a monotone neural network to approximate an operator that may not inherently be monotone. Leveraging the FBF algorithm, we then show simulation examples where the non-linear inverse problem is successfully solved.
Abstract:Training and running deep neural networks (NNs) often demands a lot of computation and energy-intensive specialized hardware (e.g. GPU, TPU...). One way to reduce the computation and power cost is to use binary weight NNs, but these are hard to train because the sign function has a non-smooth gradient. We present a model based on Mathematical Morphology (MM), which can binarize ConvNets without losing performance under certain conditions, but these conditions may not be easy to satisfy in real-world scenarios. To solve this, we propose two new approximation methods and develop a robust theoretical framework for ConvNets binarization using MM. We propose as well regularization losses to improve the optimization. We empirically show that our model can learn a complex morphological network, and explore its performance on a classification task.


Abstract:The deployment of machine learning solutions in real-world scenarios often involves addressing the challenge of out-of-distribution (OOD) detection. While significant efforts have been devoted to OOD detection in classical supervised settings, the context of weakly supervised learning, particularly the Multiple Instance Learning (MIL) framework, remains under-explored. In this study, we tackle this challenge by adapting post-hoc OOD detection methods to the MIL setting while introducing a novel benchmark specifically designed to assess OOD detection performance in weakly supervised scenarios. Extensive experiments based on diverse public datasets do not reveal a single method with a clear advantage over the others. Although DICE emerges as the best-performing method overall, it exhibits significant shortcomings on some datasets, emphasizing the complexity of this under-explored and challenging topic. Our findings shed light on the complex nature of OOD detection under the MIL framework, emphasizing the importance of developing novel, robust, and reliable methods that can generalize effectively in a weakly supervised context. The code for the paper is available here: https://github.com/loic-lb/OOD_MIL.




Abstract:Osteoporosis is a prevalent bone disease that causes fractures in fragile bones, leading to a decline in daily living activities. Dual-energy X-ray absorptiometry (DXA) and quantitative computed tomography (QCT) are highly accurate for diagnosing osteoporosis; however, these modalities require special equipment and scan protocols. To frequently monitor bone health, low-cost, low-dose, and ubiquitously available diagnostic methods are highly anticipated. In this study, we aim to perform bone mineral density (BMD) estimation from a plain X-ray image for opportunistic screening, which is potentially useful for early diagnosis. Existing methods have used multi-stage approaches consisting of extraction of the region of interest and simple regression to estimate BMD, which require a large amount of training data. Therefore, we propose an efficient method that learns decomposition into projections of bone-segmented QCT for BMD estimation under limited datasets. The proposed method achieved high accuracy in BMD estimation, where Pearson correlation coefficients of 0.880 and 0.920 were observed for DXA-measured BMD and QCT-measured BMD estimation tasks, respectively, and the root mean square of the coefficient of variation values were 3.27 to 3.79% for four measurements with different poses. Furthermore, we conducted extensive validation experiments, including multi-pose, uncalibrated-CT, and compression experiments toward actual application in routine clinical practice.




Abstract:Musculoskeletal diseases such as sarcopenia and osteoporosis are major obstacles to health during aging. Although dual-energy X-ray absorptiometry (DXA) and computed tomography (CT) can be used to evaluate musculoskeletal conditions, frequent monitoring is difficult due to the cost and accessibility (as well as high radiation exposure in the case of CT). We propose a method (named MSKdeX) to estimate fine-grained muscle properties from a plain X-ray image, a low-cost, low-radiation, and highly accessible imaging modality, through musculoskeletal decomposition leveraging fine-grained segmentation in CT. We train a multi-channel quantitative image translation model to decompose an X-ray image into projections of CT of individual muscles to infer the lean muscle mass and muscle volume. We propose the object-wise intensity-sum loss, a simple yet surprisingly effective metric invariant to muscle deformation and projection direction, utilizing information in CT and X-ray images collected from the same patient. While our method is basically an unpaired image-to-image translation, we also exploit the nature of the bone's rigidity, which provides the paired data through 2D-3D rigid registration, adding strong pixel-wise supervision in unpaired training. Through the evaluation using a 539-patient dataset, we showed that the proposed method significantly outperformed conventional methods. The average Pearson correlation coefficient between the predicted and CT-derived ground truth metrics was increased from 0.460 to 0.863. We believe our method opened up a new musculoskeletal diagnosis method and has the potential to be extended to broader applications in multi-channel quantitative image translation tasks. Our source code will be released soon.




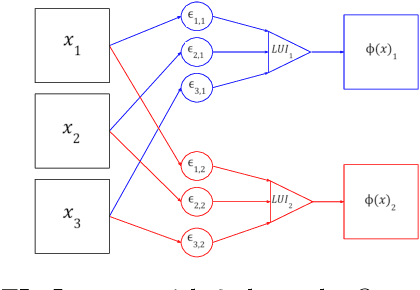
Abstract:Neural networks and particularly Deep learning have been comparatively little studied from the theoretical point of view. Conversely, Mathematical Morphology is a discipline with solid theoretical foundations. We combine these domains to propose a new type of neural architecture that is theoretically more explainable. We introduce a Binary Morphological Neural Network (BiMoNN) built upon the convolutional neural network. We design it for learning morphological networks with binary inputs and outputs. We demonstrate an equivalence between BiMoNNs and morphological operators that we can use to binarize entire networks. These can learn classical morphological operators and show promising results on a medical imaging application.




Abstract:In the last ten years, Convolutional Neural Networks (CNNs) have formed the basis of deep-learning architectures for most computer vision tasks. However, they are not necessarily optimal. For example, mathematical morphology is known to be better suited to deal with binary images. In this work, we create a morphological neural network that handles binary inputs and outputs. We propose their construction inspired by CNNs to formulate layers adapted to such images by replacing convolutions with erosions and dilations. We give explainable theoretical results on whether or not the resulting learned networks are indeed morphological operators. We present promising experimental results designed to learn basic binary operators, and we have made our code publicly available online.