Sherman
Abstract:Semantic communication has gained significant attention recently due to its advantages in achieving higher transmission efficiency by focusing on semantic information instead of bit-level information. However, current AI-based semantic communication methods require digital hardware for implementation. With the rapid advancement on reconfigurable intelligence surfaces (RISs), a new approach called on-the-air diffractional deep neural networks (D$^2$NN) can be utilized to enable semantic communications on the wave domain. This paper proposes a new paradigm of RIS-based on-the-air semantic communications, where the computational process occurs inherently as wireless signals pass through RISs. We present the system model and discuss the data and control flows of this scheme, followed by a performance analysis using image transmission as an example. In comparison to traditional hardware-based approaches, RIS-based semantic communications offer appealing features, such as light-speed computation, low computational power requirements, and the ability to handle multiple tasks simultaneously.
Abstract:In this article, physical layer security (PLS) in an intelligent reflecting surface (IRS) assisted multiple-input multiple-output multiple antenna eavesdropper (MIMOME) system is studied. In particular, we consider a practical scenario without instantaneous channel state information (CSI) of the eavesdropper and assume that the eavesdropping channel is a Rayleigh channel. To reduce the complexity of currently available IRS-assisted PLS schemes, we propose a low-complexity deep learning (DL) based approach to design transmitter beamforming and IRS jointly, where the precoding vector and phase shift matrix are designed to minimize the secrecy outage probability. Simulation results demonstrate that the proposed DL-based approach can achieve a similar performance of that with conventional alternating optimization (AO) algorithms for a significant reduction in the computational complexity.




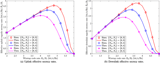
Abstract:In this paper, we propose a secure computation offloading scheme (SCOS) in intelligently connected vehicle (ICV) networks, aiming to minimize overall latency of computing via offloading part of computational tasks to nearby servers in small cell base stations (SBSs), while securing the information delivered during offloading and feedback phases via physical layer security. Existing computation offloading schemes usually neglected time-varying characteristics of channels and their corresponding secrecy rates, resulting in an inappropriate task partition ratio and a large secrecy outage probability. To address these issues, we utilize an ergodic secrecy rate to determine how many tasks are offloaded to the edge, where ergodic secrecy rate represents the average secrecy rate over all realizations in a time-varying wireless channel. Adaptive wiretap code rates are proposed with a secrecy outage constraint to match time-varying wireless channels. In addition, the proposed secure beamforming and artificial noise (AN) schemes can improve the ergodic secrecy rates of uplink and downlink channels even without eavesdropper channel state information (CSI). Numerical results demonstrate that the proposed schemes have a shorter system delay than the strategies neglecting time-varying characteristics.




Abstract:Sparse code multiple access (SCMA), which helps improve spectrum efficiency (SE) and enhance connectivity, has been proposed as a non-orthogonal multiple access (NOMA) scheme for 5G systems. In SCMA, codebook design determines system overload ratio and detection performance at a receiver. In this paper, an SCMA codebook design approach is proposed based on uniquely decomposable constellation group (UDCG). We show that there are $N+1 (N \geq 1)$ constellations in the proposed UDCG, each of which has $M (M \geq 2)$ constellation points. These constellations are allocated to users sharing the same resource. Combining the constellations allocated on multiple resources of each user, we can obtain UDCG-based codebook sets. Bit error ratio (BER) performance will be discussed in terms of coding gain maximization with superimposed constellations and UDCG-based codebooks. Simulation results demonstrate that the superimposed constellation of each resource has large minimum Euclidean distance (MED) and meets uniquely decodable constraint. Thus, BER performance of the proposed codebook design approach outperforms that of the existing codebook design schemes in both uncoded and coded SCMA systems, especially for large-size codebooks.