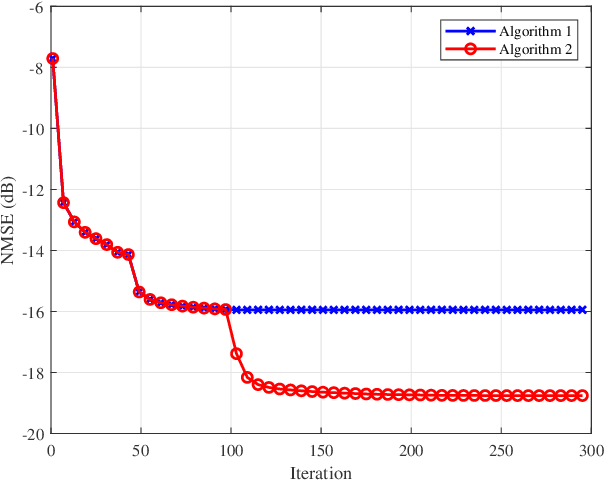
Abstract:The upper mid-band balances coverage and capacity for the future cellular systems and also embraces XL-MIMO systems, offering enhanced spectral and energy efficiency. However, these benefits are significantly degraded under mobility due to channel aging, and further exacerbated by the unique near-field (NF) and spatial non-stationarity (SnS) propagation in such systems. To address this challenge, we propose a novel channel prediction approach that incorporates dedicated channel modeling, probabilistic representations, and Bayesian inference algorithms for this emerging scenario. Specifically, we develop tensor-structured channel models in both the spatial-frequency-temporal (SFT) and beam-delay-Doppler (BDD) domains, which leverage temporal correlations among multiple pilot symbols for channel prediction. The factor matrices of multi-linear transformations are parameterized by BDD domain grids and SnS factors, where beam domain grids are jointly determined by angles and slopes under spatial-chirp based NF representations. To enable tractable inference, we replace environment-dependent BDD domain grids with uniformly sampled ones, and introduce perturbation parameters in each domain to mitigate grid mismatch. We further propose a hybrid beam domain strategy that integrates angle-only sampling with slope hyperparameterization to avoid the computational burden of explicit slope sampling. Based on the probabilistic models, we develop tensor-structured bi-layer inference (TS-BLI) algorithm under the expectation-maximization (EM) framework, which reduces computational complexity via tensor operations by leveraging the bi-layer factor graph for approximate E-step inference and an alternating strategy with closed-form updates in the M-step. Numerical simulations based on the near-practical channel simulator demonstrate the superior channel prediction performance of the proposed algorithm.
Abstract:With the growing number of users in multi-user multiple-input multiple-output (MU-MIMO) systems, demodulation reference signals (DMRSs) are efficiently multiplexed in the code domain via orthogonal cover codes (OCC) to ensure orthogonality and minimize pilot interference. In this paper, we investigate uplink DMRS-based channel estimation for MU-MIMO systems with Type II OCC pattern standardized in 3GPP Release 18, leveraging location-specific statistical channel state information (SCSI) to enhance performance. Specifically, we propose a SCSI-assisted Bayesian channel estimator (SA-BCE) based on the minimum mean square error criterion to suppress the pilot interference and noise, albeit at the cost of cubic computational complexity due to matrix inversions. To reduce this complexity while maintaining performance, we extend the scheme to a windowed version (SA-WBCE), which incorporates antenna-frequency domain windowing and beam-delay domain processing to exploit asymptotic sparsity and mitigate energy leakage in practical systems. To avoid the frequent real-time SCSI acquisition, we construct a grid-based location-specific SCSI database based on the principle of spatial consistency, and subsequently leverage the uplink received signals within each grid to extract the SCSI. Facilitated by the multilinear structure of wireless channels, we formulate the SCSI acquisition problem within each grid as a tensor decomposition problem, where the factor matrices are parameterized by the multi-path powers, delays, and angles. The computational complexity of SCSI acquisition can be significantly reduced by exploiting the Vandermonde structure of the factor matrices. Simulation results demonstrate that the proposed location-specific SCSI database construction method achieves high accuracy, while the SA-BCE and SA-WBCE significantly outperform state-of-the-art benchmarks in MU-MIMO systems.




Abstract:Large AI models (LAMs) have shown strong potential in wireless communication tasks, but their practical deployment remains hindered by latency and computational constraints. In this work, we focus on the challenge of integrating LAMs into channel state information (CSI) feedback for frequency-division duplex (FDD) massive multiple-intput multiple-output (MIMO) systems. To this end, we propose two offline frameworks, namely site-specific LAM-enhanced CSI feedback (SSLCF) and multi-scenario LAM-enhanced CSI feedback (MSLCF), that incorporate LAMs into the codebook-based CSI feedback paradigm without requiring real-time inference. Specifically, SSLCF generates a site-specific enhanced codebook through fine-tuning on locally collected CSI data, while MSLCF improves generalization by pre-generating a set of environment-aware codebooks. Both of these frameworks build upon the LAM with vision-based backbone, which is pre-trained on large-scale image datasets and fine-tuned with CSI data to generate customized codebooks. This resulting network named LVM4CF captures the structural similarity between CSI and image, allowing the LAM to refine codewords tailored to the specific environments. To optimize the codebook refinement capability of LVM4CF under both single- and dual-side deployment modes, we further propose corresponding training and inference algorithms. Simulation results show that our frameworks significantly outperform existing schemes in both reconstruction accuracy and system throughput, without introducing additional inference latency or computational overhead. These results also support the core design methodology of our proposed frameworks, extracting the best and discarding the rest, as a promising pathway for integrating LAMs into future wireless systems.




Abstract:In moderate- to high-mobility scenarios, channel state information (CSI) varies rapidly and becomes temporally non-stationary, leading to significant performance degradation in channel reciprocity-dependent massive multiple-input multiple-output (MIMO) transmission. To address this challenge, we propose a tensor-structured approach to dynamic channel prediction (TS-DCP) for massive MIMO systems with temporal non-stationarity, leveraging dual-timescale and cross-domain correlations. Specifically, due to the inherent spatial consistency, non-stationary channels on long-timescales are treated as stationary on short-timescales, decoupling complicated correlations into more tractable dual-timescale ones. To exploit such property, we frame the pilot symbols, capturing short-timescale correlations within frames by Doppler domain modeling and long-timescale correlations across frames by Markov/autoregressive processes. Based on this, we develop the tensor-structured signal model in the spatial-frequency-temporal domain, incorporating correlated angle-delay-Doppler domain channels and Vandermonde-structured factor matrices. Furthermore, we model cross-domain correlations within each frame, arising from clustered scatterer distributions, using tensor-structured upgradations of Markov processes and coupled Gaussian distributions. Following these probabilistic models, we formulate the TS-DCP as the variational free energy (VFE) minimization problem, designing trial belief structures through online approximation and the Bethe method. This yields the online TS-DCP algorithm derived from a dual-layer VFE optimization process, where both outer and inner layers leverage the multilinear structure of channels to reduce computational complexity significantly. Numerical simulations demonstrate the significant superiority of the proposed algorithm over benchmarks in terms of channel prediction performance.




Abstract:The unsourced random access (URA) has emerged as a viable scheme for supporting the massive machine-type communications (mMTC) in the sixth generation (6G) wireless networks. Notably, the tensor-based URA (TURA), with its inherent tensor structure, stands out by simultaneously enhancing performance and reducing computational complexity for the multi-user separation, especially in mMTC networks with a large numer of active devices. However, current TURA scheme lacks the soft decoder, thus precluding the incorporation of existing advanced coding techniques. In order to fully explore the potential of the TURA, this paper investigates the Polarcoded TURA (PTURA) scheme and develops the corresponding iterative Bayesian receiver with feedback (IBR-FB). Specifically, in the IBR-FB, we propose the Grassmannian modulation-aided Bayesian tensor decomposition (GM-BTD) algorithm under the variational Bayesian learning (VBL) framework, which leverages the property of the Grassmannian modulation to facilitate the convergence of the VBL process, and has the ability to generate the required soft information without the knowledge of the number of active devices. Furthermore, based on the soft information produced by the GM-BTD, we design the soft Grassmannian demodulator in the IBR-FB. Extensive simulation results demonstrate that the proposed PTURA in conjunction with the IBR-FB surpasses the existing state-of-the-art unsourced random access scheme in terms of accuracy and computational complexity.




Abstract:In massive multiple-input multiple-output (MIMO) systems, the downlink transmission performance heavily relies on accurate channel state information (CSI). Constrained by the transmitted power, user equipment always transmits sounding reference signals (SRSs) to the base station through frequency hopping, which will be leveraged to estimate uplink CSI and subsequently predict downlink CSI. This paper aims to investigate joint channel estimation and prediction (JCEP) for massive MIMO with frequency hopping sounding (FHS). Specifically, we present a multiple-subband (MS) delay-angle-Doppler (DAD) domain channel model with off-grid basis to tackle the energy leakage problem. Furthermore, we formulate the JCEP problem with FHS as a multiple measurement vector (MMV) problem, facilitating the sharing of common CSI across different subbands. To solve this problem, we propose an efficient Off-Grid-MS hybrid message passing (HMP) algorithm under the constrained Bethe free energy (BFE) framework. Aiming to address the lack of prior CSI in practical scenarios, the proposed algorithm can adaptively learn the hyper-parameters of the channel by minimizing the corresponding terms in the BFE expression. To alleviate the complexity of channel hyper-parameter learning, we leverage the approximations of the off-grid matrices to simplify the off-grid hyper-parameter estimation. Numerical results illustrate that the proposed algorithm can effectively mitigate the energy leakage issue and exploit the common CSI across different subbands, acquiring more accurate CSI compared to state-of-the-art counterparts.
Abstract:In this paper, we propose a unified framework based on equivariance for the design of artificial intelligence (AI)-assisted technologies in multi-user multiple-input-multiple-output (MU-MIMO) systems. We first provide definitions of multidimensional equivariance, high-order equivariance, and multidimensional invariance (referred to collectively as tensor equivariance). On this basis, by investigating the design of precoding and user scheduling, which are key techniques in MU-MIMO systems, we delve deeper into revealing tensor equivariance of the mappings from channel information to optimal precoding tensors, precoding auxiliary tensors, and scheduling indicators, respectively. To model mappings with tensor equivariance, we propose a series of plug-and-play tensor equivariant neural network (TENN) modules, where the computation involving intricate parameter sharing patterns is transformed into concise tensor operations. Building upon TENN modules, we propose the unified tensor equivariance framework that can be applicable to various communication tasks, based on which we easily accomplish the design of corresponding AI-assisted precoding and user scheduling schemes. Simulation results demonstrate that the constructed precoding and user scheduling methods achieve near-optimal performance while exhibiting significantly lower computational complexity and generalization to inputs with varying sizes across multiple dimensions. This validates the superiority of TENN modules and the unified framework.
Abstract:This paper investigates the robust design of symbol-level precoding (SLP) for multiuser multiple-input multiple-output (MIMO) downlink transmission with imperfect channel state information (CSI) caused by channel aging. By utilizing the a posteriori channel model based on the widely adopted jointly correlated channel model, the imperfect CSI is modeled as the statistical CSI incorporating the channel mean and channel variance information with spatial correlation. With the signal model in the presence of channel aging, we formulate the signal-to-noise-plus-interference ratio (SINR) balancing and minimum mean square error (MMSE) problems for robust SLP design. The former targets to maximize the minimum SINR across users, while the latter minimizes the mean square error between the received signal and the target constellation point. When it comes to massive MIMO scenarios, the increment in the number of antennas poses a computational complexity challenge, limiting the deployment of SLP schemes. To address such a challenge, we simplify the objective function of the SINR balancing problem and further derive a closed-form SLP scheme. Besides, by approximating the matrix involved in the computation, we modify the proposed algorithm and develop an MMSE-based SLP scheme with lower computation complexity. Simulation results confirm the superiority of the proposed schemes over the state-of-the-art SLP schemes.




Abstract:This paper investigates the uplink channel estimation of the millimeter-wave (mmWave) extremely large-scale multiple-input-multiple-output (XL-MIMO) communication system in the beam-delay domain, taking into account the near-field and beam-squint effects due to the transmission bandwidth and array aperture growth. Specifically, we model the sparsity in the delay domain to explore inter-subcarrier correlations and propose the beam-delay domain sparse representation of spatial-frequency domain channels. The independent and non-identically distributed Bernoulli-Gaussian models with unknown prior hyperparameters are employed to capture the sparsity in the beam-delay domain, posing a challenge for channel estimation. Under the constrained Bethe free energy minimization framework, we design different structures on the beliefs to develop hybrid message passing (HMP) algorithms, thus achieving efficient joint estimation of beam-delay domain channel and prior hyperparameters. To further improve the model accuracy, the multidimensional grid point perturbation (MDGPP)-based representation is presented, which assigns individual perturbation parameters to each multidimensional discrete grid. By treating the MDGPP parameters as unknown hyperparameters, we propose the two-stage HMP algorithm for MDGPP-based channel estimation, where the output of the initial estimation stage is pruned for the refinement stage for the computational complexity reduction. Numerical simulations demonstrate the significant superiority of the proposed algorithms over benchmarks with both near-field and beam-squint effects.
Abstract:In this paper, we consider symbol-level precoding (SLP) in channel-coded multiuser multi-input single-output (MISO) systems. It is observed that the received SLP signals do not always follow Gaussian distribution, rendering the conventional soft demodulation with the Gaussian assumption unsuitable for the coded SLP systems. It, therefore, calls for novel soft demodulator designs for non-Gaussian distributed SLP signals with accurate log-likelihood ratio (LLR) calculation. To this end, we first investigate the non-Gaussian characteristics of both phase-shift keying (PSK) and quadrature amplitude modulation (QAM) received signals with existing SLP schemes and categorize the signals into two distinct types. The first type exhibits an approximate-Gaussian distribution with the outliers extending along the constructive interference region (CIR). In contrast, the second type follows some distribution that significantly deviates from the Gaussian distribution. To obtain accurate LLR, we propose the modified Gaussian soft demodulator and Gaussian mixture model (GMM) soft demodulators to deal with two types of signals respectively. Subsequently, to further reduce the computational complexity and pilot overhead, we put forward a novel neural soft demodulator, named pilot feature extraction network (PFEN), leveraging the transformer mechanism in deep learning. Simulation results show that the proposed soft demodulators dramatically improve the throughput of existing SLPs for both PSK and QAM transmission in coded systems.