



Abstract:In this work, we study the problem of aggregation in the context of Bayesian Federated Learning (BFL). Using an information geometric perspective, we interpret the BFL aggregation step as finding the barycenter of the trained posteriors for a pre-specified divergence metric. We study the barycenter problem for the parametric family of $\alpha$-divergences and, focusing on the standard case of independent and Gaussian distributed parameters, we recover the closed-form solution of the reverse Kullback-Leibler barycenter and develop the analytical form of the squared Wasserstein-2 barycenter. Considering a non-IID setup, where clients possess heterogeneous data, we analyze the performance of the developed algorithms against state-of-the-art (SOTA) Bayesian aggregation methods in terms of accuracy, uncertainty quantification (UQ), model calibration (MC), and fairness. Finally, we extend our analysis to the framework of Hybrid Bayesian Deep Learning (HBDL), where we study how the number of Bayesian layers in the architecture impacts the considered performance metrics. Our experimental results show that the proposed methodology presents comparable performance with the SOTA while offering a geometric interpretation of the aggregation phase.




Abstract:Image processing is one of the most promising applications for quantum machine learning (QML). Quanvolutional Neural Networks with non-trainable parameters are the preferred solution to run on current and near future quantum devices. The typical input preprocessing pipeline for quanvolutional layers comprises of four steps: optional input binary quantization, encoding classical data into quantum states, processing the data to obtain the final quantum states, decoding quantum states back to classical outputs. In this paper we propose two ways to enhance the efficiency of quanvolutional models. First, we propose a flexible data quantization approach with memoization, applicable to any encoding method. This allows us to increase the number of quantization levels to retain more information or lower them to reduce the amount of circuit executions. Second, we introduce a new integrated encoding strategy, which combines the encoding and processing steps in a single circuit. This method allows great flexibility on several architectural parameters (e.g., number of qubits, filter size, and circuit depth) making them adjustable to quantum hardware requirements. We compare our proposed integrated model with a classical convolutional neural network and the well-known rotational encoding method, on two different classification tasks. The results demonstrate that our proposed model encoding exhibits a comparable or superior performance to the other models while requiring fewer quantum resources.
Abstract:We study the computation of the rate-distortion-perception function (RDPF) for discrete memoryless sources subject to a single-letter average distortion constraint and a perception constraint that belongs to the family of $f$-divergences. In this setting, the RDPF forms a convex programming problem for which we characterize the optimal parametric solutions. We employ the developed solutions in an alternating minimization scheme, namely Optimal Alternating Minimization (OAM), for which we provide convergence guarantees. Nevertheless, the OAM scheme does not lead to a direct implementation of a generalized Blahut-Arimoto (BA) type of algorithm due to the presence of implicit equations in the structure of the iteration. To overcome this difficulty, we propose two alternative minimization approaches whose applicability depends on the smoothness of the used perception metric: a Newton-based Alternating Minimization (NAM) scheme, relying on Newton's root-finding method for the approximation of the optimal iteration solution, and a Relaxed Alternating Minimization (RAM) scheme, based on a relaxation of the OAM iterates. Both schemes are shown, via the derivation of necessary and sufficient conditions, to guarantee convergence to a globally optimal solution. We also provide sufficient conditions on the distortion and the perception constraints which guarantee that the proposed algorithms converge exponentially fast in the number of iteration steps. We corroborate our theoretical results with numerical simulations and draw connections with existing results.




Abstract:Many real-world applications require machine-learning models to be able to deal with non-stationary data distributions and thus learn autonomously over an extended period of time, often in an online setting. One of the main challenges in this scenario is the so-called catastrophic forgetting (CF) for which the learning model tends to focus on the most recent tasks while experiencing predictive degradation on older ones. In the online setting, the most effective solutions employ a fixed-size memory buffer to store old samples used for replay when training on new tasks. Many approaches have been presented to tackle this problem. However, it is not clear how predictive uncertainty information for memory management can be leveraged in the most effective manner and conflicting strategies are proposed to populate the memory. Are the easiest-to-forget or the easiest-to-remember samples more effective in combating CF? Starting from the intuition that predictive uncertainty provides an idea of the samples' location in the decision space, this work presents an in-depth analysis of different uncertainty estimates and strategies for populating the memory. The investigation provides a better understanding of the characteristics data points should have for alleviating CF. Then, we propose an alternative method for estimating predictive uncertainty via the generalised variance induced by the negative log-likelihood. Finally, we demonstrate that the use of predictive uncertainty measures helps in reducing CF in different settings.




Abstract:Nowadays, neural network (NN) and deep learning (DL) techniques are widely adopted in many applications, including recommender systems. Given the sparse and stochastic nature of collaborative filtering (CF) data, recent works have critically analyzed the effective improvement of neural-based approaches compared to simpler and often transparent algorithms for recommendation. Previous results showed that NN and DL models can be outperformed by traditional algorithms in many tasks. Moreover, given the largely black-box nature of neural-based methods, interpretable results are not naturally obtained. Following on this debate, we first present a transparent probabilistic model that topologically organizes user and product latent classes based on the review information. In contrast to popular neural techniques for representation learning, we readily obtain a statistical, visualization-friendly tool that can be easily inspected to understand user and product characteristics from a textual-based perspective. Then, given the limitations of common embedding techniques, we investigate the possibility of using the estimated interpretable quantities as model input for a rating prediction task. To contribute to the recent debates, we evaluate our results in terms of both capacity for interpretability and predictive performances in comparison with popular text-based neural approaches. The results demonstrate that the proposed latent class representations can yield competitive predictive performances, compared to popular, but difficult-to-interpret approaches.




Abstract:Given the ability to model more realistic and dynamic problems, Federated Continual Learning (FCL) has been increasingly investigated recently. A well-known problem encountered in this setting is the so-called catastrophic forgetting, for which the learning model is inclined to focus on more recent tasks while forgetting the previously learned knowledge. The majority of the current approaches in FCL propose generative-based solutions to solve said problem. However, this setting requires multiple training epochs over the data, implying an offline setting where datasets are stored locally and remain unchanged over time. Furthermore, the proposed solutions are tailored for vision tasks solely. To overcome these limitations, we propose a new modality-agnostic approach to deal with the online scenario where new data arrive in streams of mini-batches that can only be processed once. To solve catastrophic forgetting, we propose an uncertainty-aware memory-based approach. In particular, we suggest using an estimator based on the Bregman Information (BI) to compute the model's variance at the sample level. Through measures of predictive uncertainty, we retrieve samples with specific characteristics, and - by retraining the model on such samples - we demonstrate the potential of this approach to reduce the forgetting effect in realistic settings.



Abstract:Recently, the Metaverse is becoming increasingly attractive, with millions of users accessing the many available virtual worlds. However, how do users find the one Metaverse which best fits their current interests? So far, the search process is mostly done by word of mouth, or by advertisement on technology-oriented websites. However, the lack of search engines similar to those available for other multimedia formats (e.g., YouTube for videos) is showing its limitations, since it is often cumbersome to find a Metaverse based on some specific interests using the available methods, while also making it difficult to discover user-created ones which lack strong advertisement. To address this limitation, we propose to use language to naturally describe the desired contents of the Metaverse a user wishes to find. Second, we highlight that, differently from more conventional 3D scenes, Metaverse scenarios represent a more complex data format since they often contain one or more types of multimedia which influence the relevance of the scenario itself to a user query. Therefore, in this work, we create a novel task, called Text-to-Metaverse retrieval, which aims at modeling these aspects while also taking the cross-modal relations with the textual data into account. Since we are the first ones to tackle this problem, we also collect a dataset of 33000 Metaverses, each of which consists of a 3D scene enriched with multimedia content. Finally, we design and implement a deep learning framework based on contrastive learning, resulting in a thorough experimental setup.




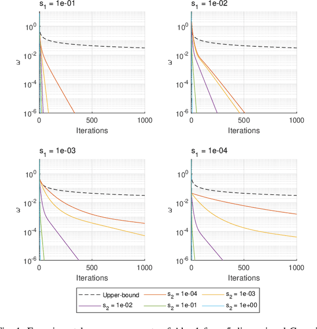
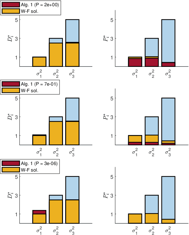
Abstract:In this paper, we study the computation of the rate-distortion-perception function (RDPF) for a multivariate Gaussian source under mean squared error (MSE) distortion and, respectively, Kullback-Leibler divergence, geometric Jensen-Shannon divergence, squared Hellinger distance, and squared Wasserstein-2 distance perception metrics. To this end, we first characterize the analytical bounds of the scalar Gaussian RDPF for the aforementioned divergence functions, also providing the RDPF-achieving forward "test-channel" realization. Focusing on the multivariate case, we establish that, for tensorizable distortion and perception metrics, the optimal solution resides on the vector space spanned by the eigenvector of the source covariance matrix. Consequently, the multivariate optimization problem can be expressed as a function of the scalar Gaussian RDPFs of the source marginals, constrained by global distortion and perception levels. Leveraging this characterization, we design an alternating minimization scheme based on the block nonlinear Gauss-Seidel method, which optimally solves the problem while identifying the Gaussian RDPF-achieving realization. Furthermore, the associated algorithmic embodiment is provided, as well as the convergence and the rate of convergence characterization. Lastly, for the "perfect realism" regime, the analytical solution for the multivariate Gaussian RDPF is obtained. We corroborate our results with numerical simulations and draw connections to existing results.




Abstract:Nowadays, many people frequently have to search for new accommodation options. Searching for a suitable apartment is a time-consuming process, especially because visiting them is often mandatory to assess the truthfulness of the advertisements found on the Web. While this process could be alleviated by visiting the apartments in the metaverse, the Web-based recommendation platforms are not suitable for the task. To address this shortcoming, in this paper, we define a new problem called text-to-apartment recommendation, which requires ranking the apartments based on their relevance to a textual query expressing the user's interests. To tackle this problem, we introduce FArMARe, a multi-task approach that supports cross-modal contrastive training with a furniture-aware objective. Since public datasets related to indoor scenes do not contain detailed descriptions of the furniture, we collect and annotate a dataset comprising more than 6000 apartments. A thorough experimentation with three different methods and two raw feature extraction procedures reveals the effectiveness of FArMARe in dealing with the problem at hand.

Abstract:In this report, we present the technical details of our submission to the EPIC-Kitchens-100 Multi-Instance Retrieval Challenge 2023. To participate in the challenge, we ensembled two models trained with two different loss functions on 25% of the training data. Our submission, visible on the public leaderboard, obtains an average score of 56.81% nDCG and 42.63% mAP.