Abstract:Object hallucination remains a critical challenge in Large Vision-Language Models (LVLMs), where models generate content inconsistent with visual inputs. Existing language-decoder based mitigation approaches often regulate visual or textual attention independently, overlooking their interaction as two key causal factors. To address this, we propose Owl (Bi-mOdal attention reWeighting for Layer-wise hallucination mitigation), a causally-grounded framework that models hallucination process via a structural causal graph, treating decomposed visual and textual attentions as mediators. We introduce VTACR (Visual-to-Textual Attention Contribution Ratio), a novel metric that quantifies the modality contribution imbalance during decoding. Our analysis reveals that hallucinations frequently occur in low-VTACR scenarios, where textual priors dominate and visual grounding is weakened. To mitigate this, we design a fine-grained attention intervention mechanism that dynamically adjusts token- and layer-wise attention guided by VTACR signals. Finally, we propose a dual-path contrastive decoding strategy: one path emphasizes visually grounded predictions, while the other amplifies hallucinated ones -- letting visual truth shine and hallucination collapse. Experimental results on the POPE and CHAIR benchmarks show that Owl achieves significant hallucination reduction, setting a new SOTA in faithfulness while preserving vision-language understanding capability. Our code is available at https://github.com/CikZ2023/OWL
Abstract:Causal world models are systems that can answer counterfactual questions about an environment of interest, i.e. predict how it would have evolved if an arbitrary subset of events had been realized differently. It requires understanding the underlying causes behind chains of events and conducting causal inference for arbitrary unseen distributions. So far, this task eludes foundation models, notably large language models (LLMs), which do not have demonstrated causal reasoning capabilities beyond the memorization of existing causal relationships. Furthermore, evaluating counterfactuals in real-world applications is challenging since only the factual world is observed, limiting evaluation to synthetic datasets. We address these problems by explicitly extracting and modeling causal relationships and propose the Causal Cartographer framework. First, we introduce a graph retrieval-augmented generation agent tasked to retrieve causal relationships from data. This approach allows us to construct a large network of real-world causal relationships that can serve as a repository of causal knowledge and build real-world counterfactuals. In addition, we create a counterfactual reasoning agent constrained by causal relationships to perform reliable step-by-step causal inference. We show that our approach can extract causal knowledge and improve the robustness of LLMs for causal reasoning tasks while reducing inference costs and spurious correlations.




Abstract:Deep neural networks can obtain impressive performance on various tasks under the assumption that their training domain is identical to their target domain. Performance can drop dramatically when this assumption does not hold. One explanation for this discrepancy is the presence of spurious domain-specific correlations in the training data that the network exploits. Causal mechanisms, in the other hand, can be made invariant under distribution changes as they allow disentangling the factors of distribution underlying the data generation. Yet, learning causal mechanisms to improve out-of-distribution generalisation remains an under-explored area. We propose a Bayesian neural architecture that disentangles the learning of the the data distribution from the inference process mechanisms. We show theoretically and experimentally that our model approximates reasoning under causal interventions. We demonstrate the performance of our method, outperforming point estimate-counterparts, on out-of-distribution image recognition tasks where the data distribution acts as strong adversarial confounders.




Abstract:Causal structure discovery methods are commonly applied to structured data where the causal variables are known and where statistical testing can be used to assess the causal relationships. By contrast, recovering a causal structure from unstructured natural language data such as news articles contains numerous challenges due to the absence of known variables or counterfactual data to estimate the causal links. Large Language Models (LLMs) have shown promising results in this direction but also exhibit limitations. This work investigates LLM's abilities to build causal graphs from text documents and perform counterfactual causal inference. We propose an end-to-end causal structure discovery and causal inference method from natural language: we first use an LLM to extract the instantiated causal variables from text data and build a causal graph. We merge causal graphs from multiple data sources to represent the most exhaustive set of causes possible. We then conduct counterfactual inference on the estimated graph. The causal graph conditioning allows reduction of LLM biases and better represents the causal estimands. We use our method to show that the limitations of LLMs in counterfactual causal reasoning come from prediction errors and propose directions to mitigate them. We demonstrate the applicability of our method on real-world news articles.




Abstract:Despite impressive performance on language modelling and complex reasoning tasks, Large Language Models (LLMs) fall short on the same tasks in uncommon settings or with distribution shifts, exhibiting some lack of generalisation ability. This issue has usually been alleviated by feeding more training data into the LLM. However, this method is brittle, as the scope of tasks may not be readily predictable or may evolve, and updating the model with new data generally requires extensive additional training. By contrast, systems, such as causal models, that learn abstract variables and causal relationships can demonstrate increased robustness against changes in the distribution. One reason for this success is the existence and use of Independent Causal Mechanisms (ICMs) representing high-level concepts that only sparsely interact. In this work, we apply two concepts from causality to learn ICMs within LLMs. We develop a new LLM architecture composed of multiple sparsely interacting language modelling modules. We introduce a routing scheme to induce specialisation of the network into domain-specific modules. We also present a Mutual Information minimisation objective that trains a separate module to learn abstraction and domain-invariant mechanisms. We show that such causal constraints can improve out-of-distribution performance on abstract and causal reasoning tasks.




Abstract:Better understanding the natural world is a crucial task with a wide range of applications. In environments with close proximity between humans and animals, such as zoos, it is essential to better understand the causes behind animal behaviour and what interventions are responsible for changes in their behaviours. This can help to predict unusual behaviours, mitigate detrimental effects and increase the well-being of animals. There has been work on modelling the dynamics behind swarms of birds and insects but the complex social behaviours of mammalian groups remain less explored. In this work, we propose a method to build behavioural models using causal structure discovery and graph neural networks for time series. We apply this method to a mob of meerkats in a zoo environment and study its ability to predict future actions and model the behaviour distribution at an individual-level and at a group level. We show that our method can match and outperform standard deep learning architectures and generate more realistic data, while using fewer parameters and providing increased interpretability.
Abstract:The benefits and capabilities of pre-trained language models (LLMs) in current and future innovations are vital to any society. However, introducing and using LLMs comes with biases and discrimination, resulting in concerns about equality, diversity and fairness, and must be addressed. While understanding and acknowledging bias in LLMs and developing mitigation strategies are crucial, the generalised assumptions towards societal needs can result in disadvantages towards under-represented societies and indigenous populations. Furthermore, the ongoing changes to actual and proposed amendments to regulations and laws worldwide also impact research capabilities in tackling the bias problem. This research presents a comprehensive survey synthesising the current trends and limitations in techniques used for identifying and mitigating bias in LLMs, where the overview of methods for tackling bias are grouped into metrics, benchmark datasets, and mitigation strategies. The importance and novelty of this survey are that it explores the perspective of under-represented societies. We argue that current practices tackling the bias problem cannot simply be 'plugged in' to address the needs of under-represented societies. We use examples from New Zealand to present requirements for adopting existing techniques to under-represented societies.




Abstract:The performance of machine learning models depends on the quality of the underlying data. Malicious actors can attack the model by poisoning the training data. Current detectors are tied to either specific data types, models, or attacks, and therefore have limited applicability in real-world scenarios. This paper presents a novel fully-agnostic framework, DIVA (Detecting InVisible Attacks), that detects attacks solely relying on analyzing the potentially poisoned data set. DIVA is based on the idea that poisoning attacks can be detected by comparing the classifier's accuracy on poisoned and clean data and pre-trains a meta-learner using Complexity Measures to estimate the otherwise unknown accuracy on a hypothetical clean dataset. The framework applies to generic poisoning attacks. For evaluation purposes, in this paper, we test DIVA on label-flipping attacks.




Abstract:Machine learning models are increasingly used in fields that require high reliability such as cybersecurity. However, these models remain vulnerable to various attacks, among which the adversarial label-flipping attack poses significant threats. In label-flipping attacks, the adversary maliciously flips a portion of training labels to compromise the machine learning model. This paper raises significant concerns as these attacks can camouflage a highly skewed dataset as an easily solvable classification problem, often misleading machine learning practitioners into lower defenses and miscalculations of potential risks. This concern amplifies in tabular data settings, where identifying true labels requires expertise, allowing malicious label-flipping attacks to easily slip under the radar. To demonstrate this risk is inherited in the adversary's objective, we propose FALFA (Fast Adversarial Label-Flipping Attack), a novel efficient attack for crafting adversarial labels. FALFA is based on transforming the adversary's objective and employs linear programming to reduce computational complexity. Using ten real-world tabular datasets, we demonstrate FALFA's superior attack potential, highlighting the need for robust defenses against such threats.




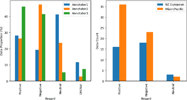
Abstract:Recent advances in artificial intelligence, including the development of highly sophisticated large language models (LLM), have proven beneficial in many real-world applications. However, evidence of inherent bias encoded in these LLMs has raised concerns about equity. In response, there has been an increase in research dealing with bias, including studies focusing on quantifying bias and developing debiasing techniques. Benchmark bias datasets have also been developed for binary gender classification and ethical/racial considerations, focusing predominantly on American demographics. However, there is minimal research in understanding and quantifying bias related to under-represented societies. Motivated by the lack of annotated datasets for quantifying bias in under-represented societies, we endeavoured to create benchmark datasets for the New Zealand (NZ) population. We faced many challenges in this process, despite the availability of three annotators. This research outlines the manual annotation process, provides an overview of the challenges we encountered and lessons learnt, and presents recommendations for future research.