



Abstract:Large Language Models (LLMs) exhibit impressive capabilities, but remain susceptible to a growing spectrum of safety risks, including jailbreaks, toxic content, hallucinations, and bias. Existing defenses often address only a single threat type or resort to rigid outright rejection, sacrificing user experience and failing to generalize across diverse and novel attacks. This paper introduces Adversarial Scenario Extrapolation (ASE), a novel inference-time computation framework that leverages Chain-of-Thought (CoT) reasoning to simultaneously enhance LLM robustness and seamlessness. ASE guides the LLM through a self-generative process of contemplating potential adversarial scenarios and formulating defensive strategies before generating a response to the user query. Comprehensive evaluation on four adversarial benchmarks with four latest LLMs shows that ASE achieves near-zero jailbreak attack success rates and minimal toxicity, while slashing outright rejections to <4%. ASE outperforms six state-of-the-art defenses in robustness-seamlessness trade-offs, with 92-99% accuracy on adversarial Q&A and 4-10x lower bias scores. By transforming adversarial perception into an intrinsic cognitive process, ASE sets a new paradigm for secure and natural human-AI interaction.
Abstract:This paper explores pruning attention heads as a post-processing bias mitigation method for large language models (LLMs). Modern AI systems such as LLMs are expanding into sensitive social contexts where fairness concerns become especially crucial. Since LLMs develop decision-making patterns by training on massive datasets of human-generated content, they naturally encode and perpetuate societal biases. While modifying training datasets and algorithms is expensive and requires significant resources; post-processing techniques-such as selectively deactivating neurons and attention heads in pre-trained LLMs-can provide feasible and effective approaches to improve fairness. However, identifying the optimal subset of parameters to prune presents a combinatorial challenge within LLMs' immense parameter space, requiring solutions that efficiently balance competing objectives across the frontiers of model fairness and utility. To address the computational challenges, we explore a search-based program repair approach via randomized simulated annealing. Given the prohibitive evaluation costs in billion-parameter LLMs, we develop surrogate deep neural networks that efficiently model the relationship between attention head states (active/inactive) and their corresponding fairness/utility metrics. This allows us to perform optimization over the surrogate models and efficiently identify optimal subsets of attention heads for selective pruning rather than directly searching through the LLM parameter space. This paper introduces Attention Pruning, a fairness-aware surrogate simulated annealing approach to prune attention heads in LLMs that disproportionately contribute to bias while minimally impacting overall model utility. Our experiments show that Attention Pruning achieves up to $40\%$ reduction in gender bias and outperforms the state-of-the-art bias mitigation strategies.
Abstract:A novel pseudocode search engine is designed to facilitate efficient retrieval and search of academic papers containing pseudocode. By leveraging Elasticsearch, the system enables users to search across various facets of a paper, such as the title, abstract, author information, and LaTeX code snippets, while supporting advanced features like combined facet searches and exact-match queries for more targeted results. A description of the data acquisition process is provided, with arXiv as the primary data source, along with methods for data extraction and text-based indexing, highlighting how different data elements are stored and optimized for search. A weighted BM25-based ranking algorithm is used by the search engine, and factors considered when prioritizing search results for both single and combined facet searches are described. We explain how each facet is weighted in a combined search. Several search engine results pages are displayed. Finally, there is a brief overview of future work and potential evaluation methodology for assessing the effectiveness and performance of the search engine is described.




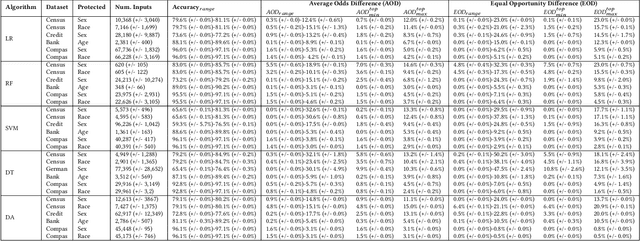
Abstract:This paper investigates the neural dropout method as a post-processing bias mitigation for deep neural networks (DNNs). Neural-driven software solutions are increasingly applied in socially critical domains with significant fairness implications. While neural networks are exceptionally good at finding statistical patterns from data, they are notorious for overfitting to the training datasets that may encode and amplify existing biases from the historical data. Existing bias mitigation algorithms often require either modifying the input dataset or modifying the learning algorithms. We posit that the prevalent dropout methods that prevent over-fitting during training by randomly dropping neurons may be an effective and less intrusive approach to improve fairness of pre-trained DNNs. However, finding the ideal set of neurons to drop is a combinatorial problem. We propose NeuFair, a family of post-processing randomized algorithms that mitigate unfairness in pre-trained DNNs. Our randomized search is guided by an objective to minimize discrimination while maintaining the model utility. We show that our design of randomized algorithms provides statistical guarantees on finding optimal solutions, and we empirically evaluate the efficacy and efficiency of NeuFair in improving fairness, with minimal or no performance degradation. Our results show that NeuFair improves fairness by up to 69% and outperforms state-of-the-art post-processing bias techniques.



Abstract:Data-driven software solutions have significantly been used in critical domains with significant socio-economic, legal, and ethical implications. The rapid adoptions of data-driven solutions, however, pose major threats to the trustworthiness of automated decision-support software. A diminished understanding of the solution by the developer and historical/current biases in the data sets are primary challenges. To aid data-driven software developers and end-users, we present \toolname, a debugging tool to test and explain the fairness implications of data-driven solutions. \toolname visualizes the logic of datasets, trained models, and decisions for a given data point. In addition, it trains various models with varying fairness-accuracy trade-offs. Crucially, \toolname incorporates counterfactual fairness testing that finds bugs beyond the development datasets. We conducted two studies through \toolname that allowed us to measure false positives/negatives in prevalent counterfactual testing and understand the human perception of counterfactual test cases in a class survey. \toolname and its benchmarks are publicly available at~\url{https://github.com/Pennswood/FairLay-ML}. The live version of the tool is available at~\url{https://fairlayml-v2.streamlit.app/}. We provide a video demo of the tool at https://youtu.be/wNI9UWkywVU?t=127
Abstract:Pseudocode in a scholarly paper provides a concise way to express the algorithms implemented therein. Pseudocode can also be thought of as an intermediary representation that helps bridge the gap between programming languages and natural languages. Having access to a large collection of pseudocode can provide various benefits ranging from enhancing algorithmic understanding, facilitating further algorithmic design, to empowering NLP or computer vision based models for tasks such as automated code generation and optical character recognition (OCR). We have created a large pseudocode collection by extracting nearly 320,000 pseudocode examples from arXiv papers. This process involved scanning over $2.2$ million scholarly papers, with 1,000 of them being manually inspected and labeled. Our approach encompasses an extraction mechanism tailored to optimize the coverage and a validation mechanism based on random sampling to check its accuracy and reliability, given the inherent heterogeneity of the collection. In addition, we offer insights into common pseudocode structures, supported by clustering and statistical analyses. Notably, these analyses indicate an exponential-like growth in the usage of pseudocodes, highlighting their increasing significance.




Abstract:This thesis explores open-sourced machine learning (ML) model explanation tools to understand whether these tools can allow a layman to visualize, understand, and suggest intuitive remedies to unfairness in ML-based decision-support systems. Machine learning models trained on datasets biased against minority groups are increasingly used to guide life-altering social decisions, prompting the urgent need to study their logic for unfairness. Due to this problem's impact on vast populations of the general public, it is critical for the layperson -- not just subject matter experts in social justice or machine learning experts -- to understand the nature of unfairness within these algorithms and the potential trade-offs. Existing research on fairness in machine learning focuses mostly on the mathematical definitions and tools to understand and remedy unfair models, with some directly citing user-interactive tools as necessary for future work. This thesis presents FairLay-ML, a proof-of-concept GUI integrating some of the most promising tools to provide intuitive explanations for unfair logic in ML models by integrating existing research tools (e.g. Local Interpretable Model-Agnostic Explanations) with existing ML-focused GUI (e.g. Python Streamlit). We test FairLay-ML using models of various accuracy and fairness generated by an unfairness detector tool, Parfait-ML, and validate our results using Themis. Our study finds that the technology stack used for FairLay-ML makes it easy to install and provides real-time black-box explanations of pre-trained models to users. Furthermore, the explanations provided translate to actionable remedies.
Abstract:The deep feedforward neural networks (DNNs) are increasingly deployed in socioeconomic critical decision support software systems. DNNs are exceptionally good at finding minimal, sufficient statistical patterns within their training data. Consequently, DNNs may learn to encode decisions -- amplifying existing biases or introducing new ones -- that may disadvantage protected individuals/groups and may stand to violate legal protections. While the existing search based software testing approaches have been effective in discovering fairness defects, they do not supplement these defects with debugging aids -- such as severity and causal explanations -- crucial to help developers triage and decide on the next course of action. Can we measure the severity of fairness defects in DNNs? Are these defects symptomatic of improper training or they merely reflect biases present in the training data? To answer such questions, we present DICE: an information-theoretic testing and debugging framework to discover and localize fairness defects in DNNs. The key goal of DICE is to assist software developers in triaging fairness defects by ordering them by their severity. Towards this goal, we quantify fairness in terms of protected information (in bits) used in decision making. A quantitative view of fairness defects not only helps in ordering these defects, our empirical evaluation shows that it improves the search efficiency due to resulting smoothness of the search space. Guided by the quantitative fairness, we present a causal debugging framework to localize inadequately trained layers and neurons responsible for fairness defects. Our experiments over ten DNNs, developed for socially critical tasks, show that DICE efficiently characterizes the amounts of discrimination, effectively generates discriminatory instances, and localizes layers/neurons with significant biases.




Abstract:This paper investigates the parameter space of machine learning (ML) algorithms in aggravating or mitigating fairness bugs. Data-driven software is increasingly applied in social-critical applications where ensuring fairness is of paramount importance. The existing approaches focus on addressing fairness bugs by either modifying the input dataset or modifying the learning algorithms. On the other hand, the selection of hyperparameters, which provide finer controls of ML algorithms, may enable a less intrusive approach to influence the fairness. Can hyperparameters amplify or suppress discrimination present in the input dataset? How can we help programmers in detecting, understanding, and exploiting the role of hyperparameters to improve the fairness? We design three search-based software testing algorithms to uncover the precision-fairness frontier of the hyperparameter space. We complement these algorithms with statistical debugging to explain the role of these parameters in improving fairness. We implement the proposed approaches in the tool Parfait-ML (PARameter FAIrness Testing for ML Libraries) and show its effectiveness and utility over five mature ML algorithms as used in six social-critical applications. In these applications, our approach successfully identified hyperparameters that significantly improve (vis-a-vis the state-of-the-art techniques) the fairness without sacrificing precision. Surprisingly, for some algorithms (e.g., random forest), our approach showed that certain configuration of hyperparameters (e.g., restricting the search space of attributes) can amplify biases across applications. Upon further investigation, we found intuitive explanations of these phenomena, and the results corroborate similar observations from the literature.