Abstract:Precise user localization and tracking enhances energy-efficient and ultra-reliable low latency applications in the next generation wireless networks. In addition to computational complexity and data association challenges with Kalman-filter localization techniques, estimation errors tend to grow as the user's trajectory speed increases. By exploiting mmWave signals for joint sensing and communication, our approach dispenses with additional sensors adopted in most techniques while retaining high resolution spatial cues. We present a hybrid mobility-aware adaptive framework that selects the Extended Kalman filter at pedestrian speed and the Unscented Kalman filter at vehicular speed. The scheme mitigates data-association problem and estimation errors through adaptive noise scaling, chi-square gating, Rauch-Tung-Striebel smoothing. Evaluations using Absolute Trajectory Error, Relative Pose Error, Normalized Estimated Error Squared and Root Mean Square Error metrics demonstrate roughly 30-60% improvement in their respective regimes indicating a clear advantage over existing approaches tailored to either indoor or static settings.

Abstract:Unequal error protection (UEP) coding that enables differentiated reliability levels within a transmitted message is essential for modern communication systems. Autoencoder (AE)-based code designs have shown promise in the context of learned equal error protection (EEP) coding schemes. However, their application to UEP remains largely unexplored, particularly at intermediate blocklengths, due to the increasing complexity of AE-based models. Inspired by the proven effectiveness of superposition coding and successive interference cancellation (SIC) decoding in conventional UEP schemes, we propose a structured AE-based architecture that extends AE-based UEP codes to substantially larger blocklengths while maintaining efficient training. By structuring encoding and decoding into smaller AE subblocks, our method provides a flexible framework for fine-tuning UEP reliability levels while adapting to diverse system parameters. Numerical results show that the proposed approach improves over established achievability bounds of randomized superposition coding-based UEP schemes with SIC decoding, making the proposed structured AE-based UEP codes a scalable and efficient solution for next-generation networks.





Abstract:This work aspires to provide a trustworthy solution for target localization in adverse environments, where malicious nodes, capable of manipulating distance measurements (i.e., performing spoofing attacks), are present, thus hindering accurate localization. Besides localization, its other goal is to identify (detect) which of the nodes participating in the process are malicious. This problem becomes extremely important with the forthcoming expansion of IoT and smart cities applications, that depend on accurate localization, and the presence of malicious attackers can represent serious security threats if not taken into consideration. This is the case with most existing localization systems which makes them highly vulnerable to spoofing attacks. In addition, existing methods that are intended for adversarial settings consider very specific settings or require additional knowledge about the system model, making them only partially secure. Therefore, this work proposes a novel voting scheme based on clustering and weighted central mass to securely solve the localization problem and detect attackers. The proposed solution has two main phases: 1) Choosing a cluster of suitable points of interest by taking advantage of the problem geometry to assigning votes in order to localize the target, and 2) Attacker detection by exploiting the location estimate and basic statistics. The proposed method is assessed in terms of localization accuracy, success in attacker detection, and computational complexity in different settings. Computer simulations and real-world experiments corroborate the effectiveness of the proposed scheme compared to state-of-the-art methods, showing that it can accomplish an error reduction of $30~\%$ and is capable of achieving almost perfect attacker detection rate when the ratio between attacker intensity and noise standard deviation is significant.





Abstract:Split Learning (SL) recently emerged as an efficient paradigm for distributed Machine Learning (ML) suitable for the Internet Of Things (IoT)-Cloud systems. However, deploying SL on resource-constrained edge IoT platforms poses a significant challenge in terms of balancing the model performance against the processing, memory, and energy resources. In this work, we present a practical study of deploying SL framework on a real-world Field-Programmable Gate Array (FPGA)-based edge IoT platform. We address the SL framework applied to a time-series processing model based on Recurrent Neural Networks (RNNs). Set in the context of river water quality monitoring and using real-world data, we train, optimize, and deploy a Long Short-Term Memory (LSTM) model on a given edge IoT FPGA platform in different SL configurations. Our results demonstrate the importance of aligning design choices with specific application requirements, whether it is maximizing speed, minimizing power, or optimizing for resource constraints.





Abstract:The significance of distributed learning and inference algorithms in Internet of Things (IoT) network is growing since they flexibly distribute computation load between IoT devices and the infrastructure, enhance data privacy, and minimize latency. However, a notable challenge stems from the influence of communication channel conditions on their performance. In this work, we introduce COMSPLIT: a novel communication-aware design for split learning (SL) and inference paradigm tailored to processing time series data in IoT networks. COMSPLIT provides a versatile framework for deploying adaptable SL in IoT networks affected by diverse channel conditions. In conjunction with the integration of an early-exit strategy, and addressing IoT scenarios containing devices with heterogeneous computational capabilities, COMSPLIT represents a comprehensive design solution for communication-aware SL in IoT networks. Numerical results show superior performance of COMSPLIT compared to vanilla SL approaches (that assume ideal communication channel), demonstrating its ability to offer both design simplicity and adaptability to different channel conditions.





Abstract:Establishing and maintaining 5G mmWave vehicular connectivity poses a significant challenge due to high user mobility that necessitates frequent triggering of beam switching procedures. Departing from reactive beam switching based on the user device channel state feedback, proactive beam switching prepares in advance for upcoming beam switching decisions by exploiting accurate channel state information (CSI) prediction. In this paper, we develop a framework for autonomous self-trained CSI prediction for mmWave vehicular users where a base station (gNB) collects and labels a dataset that it uses for training recurrent neural network (RNN)-based CSI prediction model. The proposed framework exploits the CSI feedback from vehicular users combined with overhearing the C-V2X cooperative awareness messages (CAMs) they broadcast. We implement and evaluate the proposed framework using deepMIMO dataset generation environment and demonstrate its capability to provide accurate CSI prediction for 5G mmWave vehicular users. CSI prediction model is trained and its capability to provide accurate CSI predictions from various input features are investigated.





Abstract:In this paper, we propose a novel decoding method for Quantum Low-Density Parity-Check (QLDPC) codes based on Graph Neural Networks (GNNs). Similar to the Belief Propagation (BP)-based QLDPC decoders, the proposed GNN-based QLDPC decoder exploits the sparse graph structure of QLDPC codes and can be implemented as a message-passing decoding algorithm. We compare the proposed GNN-based decoding algorithm against selected classes of both conventional and neural-enhanced QLDPC decoding algorithms across several QLDPC code designs. The simulation results demonstrate excellent performance of GNN-based decoders along with their low complexity compared to competing methods.





Abstract:Distributed learning and inference algorithms have become indispensable for IoT systems, offering benefits such as workload alleviation, data privacy preservation, and reduced latency. This paper introduces an innovative approach that utilizes unmanned aerial vehicles (UAVs) as a coverage extension relay for IoT environmental monitoring in rural areas. Our method integrates a split learning (SL) strategy between edge devices, a UAV and a server to enhance adaptability and performance of inference mechanisms. By employing UAVs as a relay and by incorporating SL, we address connectivity and resource constraints for applications of learning in IoT in remote settings. Our system model accounts for diverse channel conditions to determine the most suitable transmission strategy for optimal system behaviour. Through simulation analysis, the proposed approach demonstrates its robustness and adaptability, even excelling under adverse channel conditions. Integrating UAV relaying and the SL paradigm offers significant flexibility to the server, enabling adaptive strategies that consider various trade-offs beyond simply minimizing overall inference quality.





Abstract:Enabling real-time communication in Industrial Internet of Things (IIoT) networks is crucial to support autonomous, self-organized and re-configurable industrial automation for Industry 4.0 and the forthcoming Industry 5.0. In this paper, we consider a SIC-assisted real-time IIoT network, in which sensor nodes generate reports according to an event-generation probability that is specific for the monitored phenomena. The reports are delivered over a block-fading channel to a common Access Point (AP) in slotted ALOHA fashion, which leverages the imbalances in the received powers among the contending users and applies successive interference cancellation (SIC) to decode user packets from the collisions. We provide an extensive analytical treatment of the setup, deriving the Age of Information (AoI), throughput and deadline violation probability, when the AP has access to both the perfect as well as the imperfect channel-state information. We show that adopting SIC improves all the performance parameters with respect to the standard slotted ALOHA, as well as to an age-dependent access method. The analytical results agree with the simulation based ones, demonstrating that investing in the SIC capability at the receiver enables this simple access method to support timely and efficient information delivery in IIoT networks.

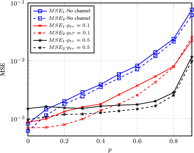
Abstract:End-to-end design of communication systems using deep autoencoders (AEs) is gaining attention due to its flexibility and excellent performance. Besides single-user transmission, AE-based design is recently explored in multi-user setup, e.g., for designing constellations for non-orthogonal multiple access (NOMA). In this paper, we further advance the design of AE-based downlink NOMA by introducing weighted loss function in the AE training. By changing the weight coefficients, one can flexibly tune the constellation design to balance error probability of different users, without relying on explicit information about their channel quality. Combined with the SICNet decoder, we demonstrate a significant improvement in achievable levels and flexible control of error probability of different users using the proposed weighted AE-based framework.
