


Abstract:Explaining outliers occurrence and mechanism of their occurrence can be extremely important in a variety of domains. Malfunctions, frauds, threats, in addition to being correctly identified, oftentimes need a valid explanation in order to effectively perform actionable counteracts. The ever more widespread use of sophisticated Machine Learning approach to identify anomalies make such explanations more challenging. We present the Decision Tree Outlier Regressor (DTOR), a technique for producing rule-based explanations for individual data points by estimating anomaly scores generated by an anomaly detection model. This is accomplished by first applying a Decision Tree Regressor, which computes the estimation score, and then extracting the relative path associated with the data point score. Our results demonstrate the robustness of DTOR even in datasets with a large number of features. Additionally, in contrast to other rule-based approaches, the generated rules are consistently satisfied by the points to be explained. Furthermore, our evaluation metrics indicate comparable performance to Anchors in outlier explanation tasks, with reduced execution time.




Abstract:The remarkable success of Artificial Intelligence in advancing automated decision-making is evident both in academia and industry. Within the plethora of applications, ranking systems hold significant importance in various domains. This paper advocates for the application of a specific form of Explainable AI -- namely, contrastive explanations -- as particularly well-suited for addressing ranking problems. This approach is especially potent when combined with an Evaluative AI methodology, which conscientiously evaluates both positive and negative aspects influencing a potential ranking. Therefore, the present work introduces Evaluative Item-Contrastive Explanations tailored for ranking systems and illustrates its application and characteristics through an experiment conducted on publicly available data.




Abstract:In the recent years, the raise in the usage and efficiency of Artificial Intelligence and, more in general, of Automated Decision-Making systems has brought with it an increasing and welcome awareness of the risks associated with such systems. One of such risks is that of perpetuating or even amplifying bias and unjust disparities present in the data from which many of these systems learn to adjust and optimise their decisions. This awareness has on one side encouraged several scientific communities to come up with more and more appropriate ways and methods to assess, quantify, and possibly mitigate such biases and disparities. On the other hand, it has prompted more and more layers of society, including policy makers, to call for ``fair'' algorithms. We believe that while a lot of excellent and multidisciplinary research is currently being conducted, what is still fundamentally missing is the awareness that having ``fair'' algorithms is per s\'e a nearly meaningless requirement, that needs to be complemented with a lot of additional societal choices to become actionable. Namely, there is a hiatus between what the society is demanding from Automated Decision-Making systems, and what this demand actually means in real-world scenarios. In this work, we outline the key features of such a hiatus, and pinpoint a list of fundamental ambiguities and attention points that we as a society must address in order to give a concrete meaning to the increasing demand of fairness in Automated Decision-Making systems.




Abstract:Name Entity Disambiguation is the Natural Language Processing task of identifying textual records corresponding to the same Named Entity, i.e. real-world entities represented as a list of attributes (names, places, organisations, etc.). In this work, we face the task of disambiguating companies on the basis of their written names. We propose a Siamese LSTM Network approach to extract -- via supervised learning -- an embedding of company name strings in a (relatively) low dimensional vector space and use this representation to identify pairs of company names that actually represent the same company (i.e. the same Entity). Given that the manual labelling of string pairs is a rather onerous task, we analyse how an Active Learning approach to prioritise the samples to be labelled leads to a more efficient overall learning pipeline. With empirical investigations, we show that our proposed Siamese Network outperforms several benchmark approaches based on standard string matching algorithms when enough labelled data are available. Moreover, we show that Active Learning prioritisation is indeed helpful when labelling resources are limited, and let the learning models reach the out-of-sample performance saturation with less labelled data with respect to standard (random) data labelling approaches.



Abstract:Machine learning applications are becoming increasingly pervasive in our society. Since these decision-making systems rely on data-driven learning, risk is that they will systematically spread the bias embedded in data. In this paper, we propose to analyze biases by introducing a framework for generating synthetic data with specific types of bias and their combinations. We delve into the nature of these biases discussing their relationship to moral and justice frameworks. Finally, we exploit our proposed synthetic data generator to perform experiments on different scenarios, with various bias combinations. We thus analyze the impact of biases on performance and fairness metrics both in non-mitigated and mitigated machine learning models.




Abstract:With Artificial intelligence (AI) to aid or automate decision-making advancing rapidly, a particular concern is its fairness. In order to create reliable, safe and trustworthy systems through human-centred artificial intelligence (HCAI) design, recent efforts have produced user interfaces (UIs) for AI experts to investigate the fairness of AI models. In this work, we provide a design space exploration that supports not only data scientists but also domain experts to investigate AI fairness. Using loan applications as an example, we held a series of workshops with loan officers and data scientists to elicit their requirements. We instantiated these requirements into FairHIL, a UI to support human-in-the-loop fairness investigations, and describe how this UI could be generalized to other use cases. We evaluated FairHIL through a think-aloud user study. Our work contributes better designs to investigate an AI model's fairness-and move closer towards responsible AI.




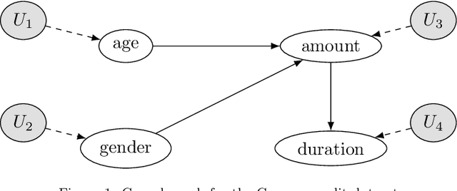
Abstract:Explainable Artificial Intelligence (XAI) is a set of techniques that allows the understanding of both technical and non-technical aspects of Artificial Intelligence (AI) systems. XAI is crucial to help satisfying the increasingly important demand of \emph{trustworthy} Artificial Intelligence, characterized by fundamental characteristics such as respect of human autonomy, prevention of harm, transparency, accountability, etc. Within XAI techniques, counterfactual explanations aim to provide to end users a set of features (and their corresponding values) that need to be changed in order to achieve a desired outcome. Current approaches rarely take into account the feasibility of actions needed to achieve the proposed explanations, and in particular they fall short of considering the causal impact of such actions. In this paper, we present Counterfactual Explanations as Interventions in Latent Space (CEILS), a methodology to generate counterfactual explanations capturing by design the underlying causal relations from the data, and at the same time to provide feasible recommendations to reach the proposed profile. Moreover, our methodology has the advantage that it can be set on top of existing counterfactuals generator algorithms, thus minimising the complexity of imposing additional causal constrains. We demonstrate the effectiveness of our approach with a set of different experiments using synthetic and real datasets (including a proprietary dataset of the financial domain).




Abstract:In recent years, the problem of addressing fairness in Machine Learning (ML) and automatic decision-making has attracted a lot of attention in the scientific communities dealing with Artificial Intelligence. A plethora of different definitions of fairness in ML have been proposed, that consider different notions of what is a "fair decision" in situations impacting individuals in the population. The precise differences, implications and "orthogonality" between these notions have not yet been fully analyzed in the literature. In this work, we try to make some order out of this zoo of definitions.




Abstract:Algorithmic bias mitigation has been one of the most difficult conundrums for the data science community and Machine Learning (ML) experts. Over several years, there have appeared enormous efforts in the field of fairness in ML. Despite the progress toward identifying biases and designing fair algorithms, translating them into the industry remains a major challenge. In this paper, we present the initial results of an industrial open innovation project in the banking sector: we propose a general roadmap for fairness in ML and the implementation of a toolkit called BeFair that helps to identify and mitigate bias. Results show that training a model without explicit constraints may lead to bias exacerbation in the predictions.