Abstract:The energy consumption of Large Language Models (LLMs) is raising growing concerns due to their adverse effects on environmental stability and resource use. Yet, these energy costs remain largely opaque to users, especially when models are accessed through an API -- a black box in which all information depends on what providers choose to disclose. In this work, we investigate inference time measurements as a proxy to approximate the associated energy costs of API-based LLMs. We ground our approach by comparing our estimations with actual energy measurements from locally hosted equivalents. Our results show that time measurements allow us to infer GPU models for API-based LLMs, grounding our energy cost estimations. Our work aims to create means for understanding the associated energy costs of API-based LLMs, especially for end users.
Abstract:Web agents, like OpenAI's Operator and Google's Project Mariner, are powerful agentic systems pushing the boundaries of Large Language Models (LLM). They can autonomously interact with the internet at the user's behest, such as navigating websites, filling search masks, and comparing price lists. Though web agent research is thriving, induced sustainability issues remain largely unexplored. To highlight the urgency of this issue, we provide an initial exploration of the energy and $CO_2$ cost associated with web agents from both a theoretical -via estimation- and an empirical perspective -by benchmarking. Our results show how different philosophies in web agent creation can severely impact the associated expended energy, and that more energy consumed does not necessarily equate to better results. We highlight a lack of transparency regarding disclosing model parameters and processes used for some web agents as a limiting factor when estimating energy consumption. Our work contributes towards a change in thinking of how we evaluate web agents, advocating for dedicated metrics measuring energy consumption in benchmarks.




Abstract:Integrated into websites, LLM-powered chatbots offer alternative means of navigation and information retrieval, leading to a shift in how users access information on the web. Yet, predominantly closed-sourced solutions limit proliferation among web hosts and suffer from a lack of transparency with regard to implementation details and energy efficiency. In this work, we propose our openly available agent Talk2X leveraging an adapted retrieval-augmented generation approach (RAG) combined with an automatically generated vector database, benefiting energy efficiency. Talk2X's architecture is generalizable to arbitrary websites offering developers a ready to use tool for integration. Using a mixed-methods approach, we evaluated Talk2X's usability by tasking users to acquire specific assets from an open science repository. Talk2X significantly improved task completion time, correctness, and user experience supporting users in quickly pinpointing specific information as compared to standard user-website interaction. Our findings contribute technical advancements to an ongoing paradigm shift of how we access information on the web.



Abstract:Improvements in the area of large language models have shifted towards the construction of models capable of using external tools and interpreting their outputs. These so-called web agents have the ability to interact autonomously with the internet. This allows them to become powerful daily assistants handling time-consuming, repetitive tasks while supporting users in their daily activities. While web agent research is thriving, the sustainability aspect of this research direction remains largely unexplored. We provide an initial exploration of the energy and CO2 cost associated with web agents. Our results show how different philosophies in web agent creation can severely impact the associated expended energy. We highlight lacking transparency regarding the disclosure of model parameters and processes used for some web agents as a limiting factor when estimating energy consumption. As such, our work advocates a change in thinking when evaluating web agents, warranting dedicated metrics for energy consumption and sustainability.




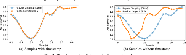
Abstract:Human activity recognition (HAR) ideally relies on data from wearable or environment-instrumented sensors sampled at regular intervals, enabling standard neural network models optimized for consistent time-series data as input. However, real-world sensor data often exhibits irregular sampling due to, for example, hardware constraints, power-saving measures, or communication delays, posing challenges for deployed static HAR models. This study assesses the impact of sampling irregularities on HAR by simulating irregular data through two methods: introducing slight inconsistencies in sampling intervals (timestamp variations) to mimic sensor jitter, and randomly removing data points (random dropout) to simulate missing values due to packet loss or sensor failure. We evaluate both discrete-time neural networks and continuous-time neural networks, which are designed to handle continuous-time data, on three public datasets. We demonstrate that timestamp variations do not significantly affect the performance of discrete-time neural networks, and the continuous-time neural network is also ineffective in addressing the challenges posed by irregular sampling, possibly due to limitations in modeling complex temporal patterns with missing data. Our findings underscore the necessity for new models or approaches that can robustly handle sampling irregularity in time-series data, like the reading in human activity recognition, paving the way for future research in this domain.
Abstract:Artificial Intelligence (AI) methods are powerful tools for various domains, including critical fields such as avionics, where certification is required to achieve and maintain an acceptable level of safety. General solutions for safety-critical systems must address three main questions: Is it suitable? What drives the system's decisions? Is it robust to errors/attacks? This is more complex in AI than in traditional methods. In this context, this paper presents a comprehensive mind map of formal AI certification in avionics. It highlights the challenges of certifying AI development with an example to emphasize the need for qualification beyond performance metrics.




Abstract:Smaller machine learning models, with less complex architectures and sensor inputs, can benefit wearable sensor-based human activity recognition (HAR) systems in many ways, from complexity and cost to battery life. In the specific case of smart factories, optimizing human-robot collaboration hinges on the implementation of cutting-edge, human-centric AI systems. To this end, workers' activity recognition enables accurate quantification of performance metrics, improving efficiency holistically. We present a two-stage semantic-aware knowledge distillation (KD) approach, TSAK, for efficient, privacy-aware, and wearable HAR in manufacturing lines, which reduces the input sensor modalities as well as the machine learning model size, while reaching similar recognition performance as a larger multi-modal and multi-positional teacher model. The first stage incorporates a teacher classifier model encoding attention, causal, and combined representations. The second stage encompasses a semantic classifier merging the three representations from the first stage. To evaluate TSAK, we recorded a multi-modal dataset at a smart factory testbed with wearable and privacy-aware sensors (IMU and capacitive) located on both workers' hands. In addition, we evaluated our approach on OpenPack, the only available open dataset mimicking the wearable sensor placements on both hands in the manufacturing HAR scenario. We compared several KD strategies with different representations to regulate the training process of a smaller student model. Compared to the larger teacher model, the student model takes fewer sensor channels from a single hand, has 79% fewer parameters, runs 8.88 times faster, and requires 96.6% less computing power (FLOPS).




Abstract:Despite the widespread integration of ambient light sensors (ALS) in smart devices commonly used for screen brightness adaptation, their application in human activity recognition (HAR), primarily through body-worn ALS, is largely unexplored. In this work, we developed ALS-HAR, a robust wearable light-based motion activity classifier. Although ALS-HAR achieves comparable accuracy to other modalities, its natural sensitivity to external disturbances, such as changes in ambient light, weather conditions, or indoor lighting, makes it challenging for daily use. To address such drawbacks, we introduce strategies to enhance environment-invariant IMU-based activity classifications through augmented multi-modal and contrastive classifications by transferring the knowledge extracted from the ALS. Our experiments on a real-world activity dataset for three different scenarios demonstrate that while ALS-HAR's accuracy strongly relies on external lighting conditions, cross-modal information can still improve other HAR systems, such as IMU-based classifiers.Even in scenarios where ALS performs insufficiently, the additional knowledge enables improved accuracy and macro F1 score by up to 4.2 % and 6.4 %, respectively, for IMU-based classifiers and even surpasses multi-modal sensor fusion models in two of our three experiment scenarios. Our research highlights the untapped potential of ALS integration in advancing sensor-based HAR technology, paving the way for practical and efficient wearable ALS-based activity recognition systems with potential applications in healthcare, sports monitoring, and smart indoor environments.

Abstract:Large Language Models (LLMs) have made significant advances in natural language processing, but their underlying mechanisms are often misunderstood. Despite exhibiting coherent answers and apparent reasoning behaviors, LLMs rely on statistical patterns in word embeddings rather than true cognitive processes. This leads to vulnerabilities such as "hallucination" and misinformation. The paper argues that current LLM architectures are inherently untrustworthy due to their reliance on correlations of sequential patterns of word embedding vectors. However, ongoing research into combining generative transformer-based models with fact bases and logic programming languages may lead to the development of trustworthy LLMs capable of generating statements based on given truth and explaining their self-reasoning process.




Abstract:In this work, we explore the use of a novel neural network architecture, the Kolmogorov-Arnold Networks (KANs) as feature extractors for sensor-based (specifically IMU) Human Activity Recognition (HAR). Where conventional networks perform a parameterized weighted sum of the inputs at each node and then feed the result into a statically defined nonlinearity, KANs perform non-linear computations represented by B-SPLINES on the edges leading to each node and then just sum up the inputs at the node. Instead of learning weights, the system learns the spline parameters. In the original work, such networks have been shown to be able to more efficiently and exactly learn sophisticated real valued functions e.g. in regression or PDE solution. We hypothesize that such an ability is also advantageous for computing low-level features for IMU-based HAR. To this end, we have implemented KAN as the feature extraction architecture for IMU-based human activity recognition tasks, including four architecture variations. We present an initial performance investigation of the KAN feature extractor on four public HAR datasets. It shows that the KAN-based feature extractor outperforms CNN-based extractors on all datasets while being more parameter efficient.