



Abstract:We present a system for the automatic differentiation of a higher-order functional array-processing language. The core functional language underlying this system simultaneously supports both source-to-source automatic differentiation and global optimizations such as loop transformations. Thanks to this feature, we demonstrate how for some real-world machine learning and computer vision benchmarks, the system outperforms the state-of-the-art automatic differentiation tools.




Abstract:Most learning methods with rank or sparsity constraints use convex relaxations, which lead to optimization with the nuclear norm or the $\ell_1$-norm. However, several important learning applications cannot benefit from this approach as they feature these convex norms as constraints in addition to the non-convex rank and sparsity constraints. In this setting, we derive efficient sparse projections onto the simplex and its extension, and illustrate how to use them to solve high-dimensional learning problems in quantum tomography, sparse density estimation and portfolio selection with non-convex constraints.




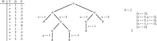
Abstract:Past research on probabilistic databases has studied the problem of answering queries on a static database. Application scenarios of probabilistic databases however often involve the conditioning of a database using additional information in the form of new evidence. The conditioning problem is thus to transform a probabilistic database of priors into a posterior probabilistic database which is materialized for subsequent query processing or further refinement. It turns out that the conditioning problem is closely related to the problem of computing exact tuple confidence values. It is known that exact confidence computation is an NP-hard problem. This has led researchers to consider approximation techniques for confidence computation. However, neither conditioning nor exact confidence computation can be solved using such techniques. In this paper we present efficient techniques for both problems. We study several problem decomposition methods and heuristics that are based on the most successful search techniques from constraint satisfaction, such as the Davis-Putnam algorithm. We complement this with a thorough experimental evaluation of the algorithms proposed. Our experiments show that our exact algorithms scale well to realistic database sizes and can in some scenarios compete with the most efficient previous approximation algorithms.




Abstract:We study the complexity and expressive power of conjunctive queries over unranked labeled trees represented using a variety of structure relations such as ``child'', ``descendant'', and ``following'' as well as unary relations for node labels. We establish a framework for characterizing structures representing trees for which conjunctive queries can be evaluated efficiently. Then we completely chart the tractability frontier of the problem and establish a dichotomy theorem for our axis relations, i.e., we find all subset-maximal sets of axes for which query evaluation is in polynomial time and show that for all other cases, query evaluation is NP-complete. All polynomial-time results are obtained immediately using the proof techniques from our framework. Finally, we study the expressiveness of conjunctive queries over trees and show that for each conjunctive query, there is an equivalent acyclic positive query (i.e., a set of acyclic conjunctive queries), but that in general this query is not of polynomial size.

Abstract:DLV is an efficient logic programming and non-monotonic reasoning (LPNMR) system with advanced knowledge representation mechanisms and interfaces to classic relational database systems. Its core language is disjunctive datalog (function-free disjunctive logic programming) under the Answer Set Semantics with integrity constraints, both default and strong (or explicit) negation, and queries. Integer arithmetics and various built-in predicates are also supported. In addition DLV has several frontends, namely brave and cautious reasoning, abductive diagnosis, consistency-based diagnosis, a subset of SQL3, planning with action languages, and logic programming with inheritance.