



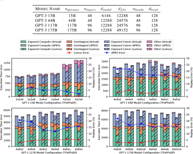
Abstract:Training LLMs in distributed environments presents significant challenges due to the complexity of model execution, deployment systems, and the vast space of configurable strategies. Although various optimization techniques exist, achieving high efficiency in practice remains difficult. Accurate performance models that effectively characterize and predict a model's behavior are essential for guiding optimization efforts and system-level studies. We propose Lumos, a trace-driven performance modeling and estimation toolkit for large-scale LLM training, designed to accurately capture and predict the execution behaviors of modern LLMs. We evaluate Lumos on a production ML cluster with up to 512 NVIDIA H100 GPUs using various GPT-3 variants, demonstrating that it can replay execution time with an average error of just 3.3%, along with other runtime details, across different models and configurations. Additionally, we validate its ability to estimate performance for new setups from existing traces, facilitating efficient exploration of model and deployment configurations.




Abstract:Resource management for cloud-native microservices has attracted a lot of recent attention. Previous work has shown that machine learning (ML)-driven approaches outperform traditional techniques, such as autoscaling, in terms of both SLA maintenance and resource efficiency. However, ML-driven approaches also face challenges including lengthy data collection processes and limited scalability. We present Ursa, a lightweight resource management system for cloud-native microservices that addresses these challenges. Ursa uses an analytical model that decomposes the end-to-end SLA into per-service SLA, and maps per-service SLA to individual resource allocations per microservice tier. To speed up the exploration process and avoid prolonged SLA violations, Ursa explores each microservice individually, and swiftly stops exploration if latency exceeds its SLA. We evaluate Ursa on a set of representative and end-to-end microservice topologies, including a social network, media service and video processing pipeline, each consisting of multiple classes and priorities of requests with different SLAs, and compare it against two representative ML-driven systems, Sinan and Firm. Compared to these ML-driven approaches, Ursa provides significant advantages: It shortens the data collection process by more than 128x, and its control plane is 43x faster than ML-driven approaches. At the same time, Ursa does not sacrifice resource efficiency or SLAs. During online deployment, Ursa reduces the SLA violation rate by 9.0% up to 49.9%, and reduces CPU allocation by up to 86.2% compared to ML-driven approaches.




Abstract:Building and maintaining large AI fleets to efficiently support the fast-growing DL workloads is an active research topic for modern cloud infrastructure providers. Generating accurate benchmarks plays an essential role in the design and evaluation of rapidly evoloving software and hardware solutions in this area. Two fundamental challenges to make this process scalable are (i) workload representativeness and (ii) the ability to quickly incorporate changes to the fleet into the benchmarks. To overcome these issues, we propose Mystique, an accurate and scalable framework for production AI benchmark generation. It leverages the PyTorch execution graph (EG), a new feature that captures the runtime information of AI models at the granularity of operators, in a graph format, together with their metadata. By sourcing EG traces from the fleet, we can build AI benchmarks that are portable and representative. Mystique is scalable, with its lightweight data collection, in terms of runtime overhead and user instrumentation efforts. It is also adaptive, as the expressiveness and composability of EG format allows flexible user control over benchmark creation. We evaluate our methodology on several production AI workloads, and show that benchmarks generated with Mystique closely resemble original AI models, both in execution time and system-level metrics. We also showcase the portability of the generated benchmarks across platforms, and demonstrate several use cases enabled by the fine-grained composability of the execution graph.




Abstract:Cloud applications are increasingly shifting from large monolithic services, to large numbers of loosely-coupled, specialized microservices. Despite their advantages in terms of facilitating development, deployment, modularity, and isolation, microservices complicate resource management, as dependencies between them introduce backpressure effects and cascading QoS violations. We present Sinan, a data-driven cluster manager for interactive cloud microservices that is online and QoS-aware. Sinan leverages a set of scalable and validated machine learning models to determine the performance impact of dependencies between microservices, and allocate appropriate resources per tier in a way that preserves the end-to-end tail latency target. We evaluate Sinan both on dedicated local clusters and large-scale deployments on Google Compute Engine (GCE) across representative end-to-end applications built with microservices, such as social networks and hotel reservation sites. We show that Sinan always meets QoS, while also maintaining cluster utilization high, in contrast to prior work which leads to unpredictable performance or sacrifices resource efficiency. Furthermore, the techniques in Sinan are explainable, meaning that cloud operators can yield insights from the ML models on how to better deploy and design their applications to reduce unpredictable performance.




Abstract:Performance unpredictability is a major roadblock towards cloud adoption, and has performance, cost, and revenue ramifications. Predictable performance is even more critical as cloud services transition from monolithic designs to microservices. Detecting QoS violations after they occur in systems with microservices results in long recovery times, as hotspots propagate and amplify across dependent services. We present Seer, an online cloud performance debugging system that leverages deep learning and the massive amount of tracing data cloud systems collect to learn spatial and temporal patterns that translate to QoS violations. Seer combines lightweight distributed RPC-level tracing, with detailed low-level hardware monitoring to signal an upcoming QoS violation, and diagnose the source of unpredictable performance. Once an imminent QoS violation is detected, Seer notifies the cluster manager to take action to avoid performance degradation altogether. We evaluate Seer both in local clusters, and in large-scale deployments of end-to-end applications built with microservices with hundreds of users. We show that Seer correctly anticipates QoS violations 91% of the time, and avoids the QoS violation to begin with in 84% of cases. Finally, we show that Seer can identify application-level design bugs, and provide insights on how to better architect microservices to achieve predictable performance.