Abstract:Developing high-fidelity, interactive digital twins is crucial for enabling closed-loop motion planning and reliable real-world robot execution, which are essential to advancing sim-to-real transfer. However, existing approaches often suffer from slow reconstruction, limited visual fidelity, and difficulties in converting photorealistic models into planning-ready collision geometry. We present a practical framework that constructs high-quality digital twins within minutes from sparse RGB inputs. Our system employs 3D Gaussian Splatting (3DGS) for fast, photorealistic reconstruction as a unified scene representation. We enhance 3DGS with visibility-aware semantic fusion for accurate 3D labelling and introduce an efficient, filter-based geometry conversion method to produce collision-ready models seamlessly integrated with a Unity-ROS2-MoveIt physics engine. In experiments with a Franka Emika Panda robot performing pick-and-place tasks, we demonstrate that this enhanced geometric accuracy effectively supports robust manipulation in real-world trials. These results demonstrate that 3DGS-based digital twins, enriched with semantic and geometric consistency, offer a fast, reliable, and scalable path from perception to manipulation in unstructured environments.




Abstract:Vision-language models (VLMs) show promise in automating reward design in humanoid locomotion, which could eliminate the need for tedious manual engineering. However, current VLM-based methods are essentially "blind", as they lack the environmental perception required to navigate complex terrain. We present E-SDS (Environment-aware See it, Do it, Sorted), a framework that closes this perception gap. E-SDS integrates VLMs with real-time terrain sensor analysis to automatically generate reward functions that facilitate training of robust perceptive locomotion policies, grounded by example videos. Evaluated on a Unitree G1 humanoid across four distinct terrains (simple, gaps, obstacles, stairs), E-SDS uniquely enabled successful stair descent, while policies trained with manually-designed rewards or a non-perceptive automated baseline were unable to complete the task. In all terrains, E-SDS also reduced velocity tracking error by 51.9-82.6%. Our framework reduces the human effort of reward design from days to less than two hours while simultaneously producing more robust and capable locomotion policies.




Abstract:Control policies in deep reinforcement learning are often implemented with fixed-capacity multilayer perceptrons trained by backpropagation, which lack structural plasticity and depend on global error signals. This paper introduces the Self-Motivated Growing Neural Network (SMGrNN), a controller whose topology evolves online through a local Structural Plasticity Module (SPM). The SPM monitors neuron activations and edge-wise weight update statistics over short temporal windows and uses these signals to trigger neuron insertion and pruning, while synaptic weights are updated by a standard gradient-based optimizer. This allows network capacity to be regulated during learning without manual architectural tuning. SMGrNN is evaluated on control benchmarks via policy distillation. Compared with multilayer perceptron baselines, it achieves similar or higher returns, lower variance, and task-appropriate network sizes. Ablation studies with growth disabled and growth-only variants isolate the role of structural plasticity, showing that adaptive topology improves reward stability. The local and modular design of SPM enables future integration of a Hebbian plasticity module and spike-timing-dependent plasticity, so that SMGrNN can support both artificial and spiking neural implementations driven by local rules.




Abstract:Deep reinforcement learning (DRL) has revolutionised quadruped robot locomotion, but existing control frameworks struggle to generalise beyond their training-induced observational scope, resulting in limited adaptability. In contrast, animals achieve exceptional adaptability through gait transition strategies, diverse gait utilisation, and seamless adjustment to immediate environmental demands. Inspired by these capabilities, we present a novel DRL framework that incorporates key attributes of animal locomotion: gait transition strategies, pseudo gait procedural memory, and adaptive motion adjustments. This approach enables our framework to achieve unparalleled adaptability, demonstrated through blind zero-shot deployment on complex terrains and recovery from critically unstable states. Our findings offer valuable insights into the biomechanics of animal locomotion, paving the way for robust, adaptable robotic systems.




Abstract:Previous studies have successfully demonstrated agile and robust locomotion in challenging terrains for quadrupedal robots. However, the bipedal locomotion mode for quadruped robots remains unverified. This paper explores the adaptation of a learning framework originally designed for quadrupedal robots to operate blind locomotion in biped mode. We leverage a framework that incorporates Adversarial Motion Priors with a teacher-student policy to enable imitation of a reference trajectory and navigation on tough terrain. Our work involves transferring and evaluating a similar learning framework on a quadruped robot in biped mode, aiming to achieve stable walking on both flat and complicated terrains. Our simulation results demonstrate that the trained policy enables the quadruped robot to navigate both flat and challenging terrains, including stairs and uneven surfaces.




Abstract:Bipedal robots are garnering increasing global attention due to their potential applications and advancements in artificial intelligence, particularly in Deep Reinforcement Learning (DRL). While DRL has driven significant progress in bipedal locomotion, developing a comprehensive and unified framework capable of adeptly performing a wide range of tasks remains a challenge. This survey systematically categorizes, compares, and summarizes existing DRL frameworks for bipedal locomotion, organizing them into end-to-end and hierarchical control schemes. End-to-end frameworks are assessed based on their learning approaches, whereas hierarchical frameworks are dissected into layers that utilize either learning-based methods or traditional model-based approaches. This survey provides a detailed analysis of the composition, capabilities, strengths, and limitations of each framework type. Furthermore, we identify critical research gaps and propose future directions aimed at achieving a more integrated and efficient framework for bipedal locomotion, with potential broad applications in everyday life.




Abstract:Recent years have witnessed a broader range of applications of image processing technologies in multiple industrial processes, such as smoke detection, security monitoring, and workpiece inspection. Different kinds of distortion types and levels must be introduced into an image during the processes of acquisition, compression, transmission, storage, and display, which might heavily degrade the image quality and thus strongly reduce the final display effect and clarity. To verify the reliability of existing image quality assessment methods, we establish a new industrial process image database (IPID), which contains 3000 distorted images generated by applying different levels of distortion types to each of the 50 source images. We conduct the subjective test on the aforementioned 3000 images to collect their subjective quality ratings in a well-suited laboratory environment. Finally, we perform comparison experiments on IPID database to investigate the performance of some objective image quality assessment algorithms. The experimental results show that the state-of-the-art image quality assessment methods have difficulty in predicting the quality of images that contain multiple distortion types.
Abstract:In most cases, upgrading from a single-robot system to a multi-robot system comes with increases in system payload and task performance. On the other hand, many multi-robot systems in open environments still rely on teleoperation. Therefore, human performance can be the bottleneck in a teleoperated multi-robot system. Based on this idea, the multi-robot system's shared autonomy and control methods are emerging research areas in open environment robot operations. However, the question remains: how much does the bottleneck of the human agent impact the system performance in a multi-robot system? This research tries to explore the question through the performance comparison of teleoperating a single-robot system and a dual-robot system in a box-pushing task. This robot teleoperation experiment on human agents employs a web-based environment to simulate the robots' two-dimensional movement. The result provides evidence of the hardship for a single human when teleoperating with more than one robot, which indicates the necessity of shared autonomy in multi-robot systems.




Abstract:Human life is invaluable. When dangerous or life-threatening tasks need to be completed, robotic platforms could be ideal in replacing human operators. Such a task that we focus on in this work is the Explosive Ordnance Disposal. Robot telepresence has the potential to provide safety solutions, given that mobile robots have shown robust capabilities when operating in several environments. However, autonomy may be challenging and risky at this stage, compared to human operation. Teleoperation could be a compromise between full robot autonomy and human presence. In this paper, we present a relatively cheap solution for telepresence and robot teleoperation, to assist with Explosive Ordnance Disposal, using a legged manipulator (i.e., a legged quadruped robot, embedded with a manipulator and RGB-D sensing). We propose a novel system integration for the non-trivial problem of quadruped manipulator whole-body control. Our system is based on a wearable IMU-based motion capture system that is used for teleoperation and a VR headset for visual telepresence. We experimentally validate our method in real-world, for loco-manipulation tasks that require whole-body robot control and visual telepresence.




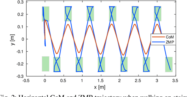
Abstract:Human beings can make use of various reactive strategies, e.g. foot location adjustment and upper-body inclination, to keep balance while walking under dynamic disturbances. In this work, we propose a novel Nonlinear Model Predictive Control (NMPC) framework for versatile bipedal gait pattern generation, with the capabilities of footstep adjustment, Center of Mass (CoM) height variation and angular momentum adaptation. These features are realized by constraining the Zero Moment Point motion with considering the variable CoM height and angular momentum change of the Inverted Pendulum plus Flywheel Model. In addition, the NMPC framework also takes into account the constraints of footstep location, CoM vertical motion, upper-body inclination and joint torques, and is finally formulated as a quadratically constrained quadratic program. Therefore, it can be solved efficiently by Sequential Quadratic Programming. Using this unified framework, versatile walking pattern with exploiting time-varying CoM height trajectory and angular momentum changes can be generated based only on the terrain information input. Furthermore, the improved capability for balance recovery under external pushes has been demonstrated through simulation studies.