Abstract:Misclassifications in spam and phishing detection are very harmful, as false negatives expose users to attacks while false positives degrade trust. Existing uncertainty-based detectors can flag potential errors, but possibly be deceived and offer limited interpretability. This paper presents X-MAP, an eXplainable Misclassification Analysis and Profilling framework that reveals topic-level semantic patterns behind model failures. X-MAP combines SHAP-based feature attributions with non-negative matrix factorization to build interpretable topic profiles for reliably classified spam/phishing and legitimate messages, and measures each message's deviation from these profiles using Jensen-Shannon divergence. Experiments on SMS and phishing datasets show that misclassified messages exhibit at least two times larger divergence than correctly classified ones. As a detector, X-MAP achieves up to 0.98 AUROC and lowers the false-rejection rate at 95% TRR to 0.089 on positive predictions. When used as a repair layer on base detectors, it recovers up to 97% of falsely rejected correct predictions with moderate leakage. These results demonstrate X-MAP's effectiveness and interpretability for improving spam and phishing detection.




Abstract:Deep neural networks (DNNs) have been shown to perform well on exclusive, multi-class classification tasks. However, when different classes have similar visual features, it becomes challenging for human annotators to differentiate them. This scenario necessitates the use of composite class labels. In this paper, we propose a novel framework called Hyper-Evidential Neural Network (HENN) that explicitly models predictive uncertainty due to composite class labels in training data in the context of the belief theory called Subjective Logic (SL). By placing a grouped Dirichlet distribution on the class probabilities, we treat predictions of a neural network as parameters of hyper-subjective opinions and learn the network that collects both single and composite evidence leading to these hyper-opinions by a deterministic DNN from data. We introduce a new uncertainty type called vagueness originally designed for hyper-opinions in SL to quantify composite classification uncertainty for DNNs. Our results demonstrate that HENN outperforms its state-of-the-art counterparts based on four image datasets. The code and datasets are available at: https://github.com/Hugo101/HyperEvidentialNN.
Abstract:Due to various and serious adverse impacts of spreading fake news, it is often known that only people with malicious intent would propagate fake news. However, it is not necessarily true based on social science studies. Distinguishing the types of fake news spreaders based on their intent is critical because it will effectively guide how to intervene to mitigate the spread of fake news with different approaches. To this end, we propose an intent classification framework that can best identify the correct intent of fake news. We will leverage deep reinforcement learning (DRL) that can optimize the structural representation of each tweet by removing noisy words from the input sequence when appending an actor to the long short-term memory (LSTM) intent classifier. Policy gradient DRL model (e.g., REINFORCE) can lead the actor to a higher delayed reward. We also devise a new uncertainty-aware immediate reward using a subjective opinion that can explicitly deal with multidimensional uncertainty for effective decision-making. Via 600K training episodes from a fake news tweets dataset with an annotated intent class, we evaluate the performance of uncertainty-aware reward in DRL. Evaluation results demonstrate that our proposed framework efficiently reduces the number of selected words to maintain a high 95\% multi-class accuracy.
Abstract:Proximal Policy Optimization (PPO) is a highly popular policy-based deep reinforcement learning (DRL) approach. However, we observe that the homogeneous exploration process in PPO could cause an unexpected stability issue in the training phase. To address this issue, we propose PPO-UE, a PPO variant equipped with self-adaptive uncertainty-aware explorations (UEs) based on a ratio uncertainty level. The proposed PPO-UE is designed to improve convergence speed and performance with an optimized ratio uncertainty level. Through extensive sensitivity analysis by varying the ratio uncertainty level, our proposed PPO-UE considerably outperforms the baseline PPO in Roboschool continuous control tasks.




Abstract:An in-depth understanding of uncertainty is the first step to making effective decisions under uncertainty. Deep/machine learning (ML/DL) has been hugely leveraged to solve complex problems involved with processing high-dimensional data. However, reasoning and quantifying different types of uncertainties to achieve effective decision-making have been much less explored in ML/DL than in other Artificial Intelligence (AI) domains. In particular, belief/evidence theories have been studied in KRR since the 1960s to reason and measure uncertainties to enhance decision-making effectiveness. We found that only a few studies have leveraged the mature uncertainty research in belief/evidence theories in ML/DL to tackle complex problems under different types of uncertainty. In this survey paper, we discuss several popular belief theories and their core ideas dealing with uncertainty causes and types and quantifying them, along with the discussions of their applicability in ML/DL. In addition, we discuss three main approaches that leverage belief theories in Deep Neural Networks (DNNs), including Evidential DNNs, Fuzzy DNNs, and Rough DNNs, in terms of their uncertainty causes, types, and quantification methods along with their applicability in diverse problem domains. Based on our in-depth survey, we discuss insights, lessons learned, limitations of the current state-of-the-art bridging belief theories and ML/DL, and finally, future research directions.




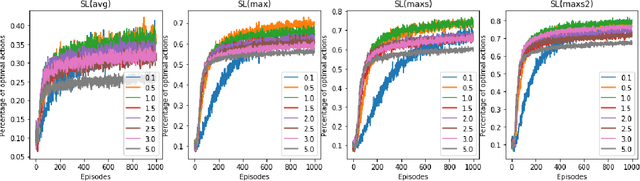
Abstract:The multi-armed bandit problem is a classical decision-making problem where an agent has to learn an optimal action balancing exploration and exploitation. Properly managing this trade-off requires a correct assessment of uncertainty; in multi-armed bandits, as in other machine learning applications, it is important to distinguish between stochasticity that is inherent to the system (aleatoric uncertainty) and stochasticity that derives from the limited knowledge of the agent (epistemic uncertainty). In this paper we consider the formalism of subjective logic, a concise and expressive framework to express Dirichlet-multinomial models as subjective opinions, and we apply it to the problem of multi-armed bandits. We propose new algorithms grounded in subjective logic to tackle the multi-armed bandit problem, we compare them against classical algorithms from the literature, and we analyze the insights they provide in evaluating the dynamics of uncertainty. Our preliminary results suggest that subjective logic quantities enable useful assessment of uncertainty that may be exploited by more refined agents.




Abstract:This publication presents a relation computation or calculus for international relations using a mathematical modeling. It examined trust for international relations and its calculus, which related to Bayesian inference, Dempster-Shafer theory and subjective logic. Based on an observation in the literature, we found no literature discussing the calculus method for the international relations. To bridge this research gap, we propose a relation algebra method for international relations computation. The proposed method will allow a relation computation which is previously subjective and incomputable. We also present three international relations as case studies to demonstrate the proposed method is a real-world scenario. The method will deliver the relation computation for the international relations that to support decision makers in a government such as foreign ministry, defense ministry, presidential or prime minister office. The Department of Defense (DoD) may use our method to determine a nation that can be identified as a friendly, neutral or hostile nation.