Abstract:Although real-world decision-making problems can often be encoded as causal multi-armed bandits (CMABs) at different levels of abstraction, a general methodology exploiting the information and computational advantages of each abstraction level is missing. In this paper, we propose AT-UCB, an algorithm which efficiently exploits shared information between CMAB problem instances defined at different levels of abstraction. More specifically, AT-UCB leverages causal abstraction (CA) theory to explore within a cheap-to-simulate and coarse-grained CMAB instance, before employing the traditional upper confidence bound (UCB) algorithm on a restricted set of potentially optimal actions in the CMAB of interest, leading to significant reductions in cumulative regret when compared to the classical UCB algorithm. We illustrate the advantages of AT-UCB theoretically, through a novel upper bound on the cumulative regret, and empirically, by applying AT-UCB to epidemiological simulators with varying resolution and computational cost.



Abstract:Causal abstractions allow us to relate causal models on different levels of granularity. To ensure that the models agree on cause and effect, frameworks for causal abstractions define notions of consistency. Two distinct methods for causal abstraction are common in the literature: (i) graphical abstractions, such as Cluster DAGs, which relate models on a structural level, and (ii) functional abstractions, like $\alpha$-abstractions, which relate models by maps between variables and their ranges. In this paper we will align the notions of graphical and functional consistency and show an equivalence between the class of Cluster DAGs, consistent $\alpha$-abstractions, and constructive $\tau$-abstractions. Furthermore, we extend this alignment and the expressivity of graphical abstractions by introducing Partial Cluster DAGs. Our results provide a rigorous bridge between the functional and graphical frameworks and allow for adoption and transfer of results between them.




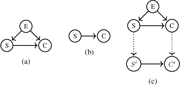
Abstract:Multi-armed bandits (MAB) and causal MABs (CMAB) are established frameworks for decision-making problems. The majority of prior work typically studies and solves individual MAB and CMAB in isolation for a given problem and associated data. However, decision-makers are often faced with multiple related problems and multi-scale observations where joint formulations are needed in order to efficiently exploit the problem structures and data dependencies. Transfer learning for CMABs addresses the situation where models are defined on identical variables, although causal connections may differ. In this work, we extend transfer learning to setups involving CMABs defined on potentially different variables, with varying degrees of granularity, and related via an abstraction map. Formally, we introduce the problem of causally abstracted MABs (CAMABs) by relying on the theory of causal abstraction in order to express a rigorous abstraction map. We propose algorithms to learn in a CAMAB, and study their regret. We illustrate the limitations and the strengths of our algorithms on a real-world scenario related to online advertising.




Abstract:Agent-based simulators provide granular representations of complex intelligent systems by directly modelling the interactions of the system's constituent agents. Their high-fidelity nature enables hyper-local policy evaluation and testing of what-if scenarios, but is associated with large computational costs that inhibits their widespread use. Surrogate models can address these computational limitations, but they must behave consistently with the agent-based model under policy interventions of interest. In this paper, we capitalise on recent developments on causal abstractions to develop a framework for learning interventionally consistent surrogate models for agent-based simulators. Our proposed approach facilitates rapid experimentation with policy interventions in complex systems, while inducing surrogates to behave consistently with high probability with respect to the agent-based simulator across interventions of interest. We demonstrate with empirical studies that observationally trained surrogates can misjudge the effect of interventions and misguide policymakers towards suboptimal policies, while surrogates trained for interventional consistency with our proposed method closely mimic the behaviour of an agent-based model under interventions of interest.




Abstract:Causal abstraction (CA) theory establishes formal criteria for relating multiple structural causal models (SCMs) at different levels of granularity by defining maps between them. These maps have significant relevance for real-world challenges such as synthesizing causal evidence from multiple experimental environments, learning causally consistent representations at different resolutions, and linking interventions across multiple SCMs. In this work, we propose COTA, the first method to learn abstraction maps from observational and interventional data without assuming complete knowledge of the underlying SCMs. In particular, we introduce a multi-marginal Optimal Transport (OT) formulation that enforces do-calculus causal constraints, together with a cost function that relies on interventional information. We extensively evaluate COTA on synthetic and real world problems, and showcase its advantages over non-causal, independent and aggregated COTA formulations. Finally, we demonstrate the efficiency of our method as a data augmentation tool by comparing it against the state-of-the-art CA learning framework, which assumes fully specified SCMs, on a real-world downstream task.




Abstract:Structural causal models provide a formalism to express causal relations between variables of interest. Models and variables can represent a system at different levels of abstraction, whereby relations may be coarsened and refined according to the need of a modeller. However, switching between different levels of abstraction requires evaluating a trade-off between the consistency and the information loss among different models. In this paper we introduce a family of interventional measures that an agent may use to evaluate such a trade-off. We consider four measures suited for different tasks, analyze their properties, and propose algorithms to evaluate and learn causal abstractions. Finally, we illustrate the flexibility of our setup by empirically showing how different measures and algorithmic choices may lead to different abstractions.
Abstract:An abstraction can be used to relate two structural causal models representing the same system at different levels of resolution. Learning abstractions which guarantee consistency with respect to interventional distributions would allow one to jointly reason about evidence across multiple levels of granularity while respecting the underlying cause-effect relationships. In this paper, we introduce a first framework for causal abstraction learning between SCMs based on the formalization of abstraction recently proposed by Rischel (2020). Based on that, we propose a differentiable programming solution that jointly solves a number of combinatorial sub-problems, and we study its performance and benefits against independent and sequential approaches on synthetic settings and on a challenging real-world problem related to electric vehicle battery manufacturing.



Abstract:Working with causal models at different levels of abstraction is an important feature of science. Existing work has already considered the problem of expressing formally the relation of abstraction between causal models. In this paper, we focus on the problem of learning abstractions. We start by defining the learning problem formally in terms of the optimization of a standard measure of consistency. We then point out the limitation of this approach, and we suggest extending the objective function with a term accounting for information loss. We suggest a concrete measure of information loss, and we illustrate its contribution to learning new abstractions.




Abstract:Structural causal models (SCMs) are a widespread formalism to deal with causal systems. A recent direction of research has considered the problem of relating formally SCMs at different levels of abstraction, by defining maps between SCMs and imposing a requirement of interventional consistency. This paper offers a review of the solutions proposed so far, focusing on the formal properties of a map between SCMs, and highlighting the different layers (structural, distributional) at which these properties may be enforced. This allows us to distinguish families of abstractions that may or may not be permitted by choosing to guarantee certain properties instead of others. Such an understanding not only allows to distinguish among proposal for causal abstraction with more awareness, but it also allows to tailor the definition of abstraction with respect to the forms of abstraction relevant to specific applications.


Abstract:In this paper, we propose a first formalization of the process of exploitation of SQL injection vulnerabilities. We consider a simplification of the dynamics of SQL injection attacks by casting this problem as a security capture-the-flag challenge. We model it as a Markov decision process, and we implement it as a reinforcement learning problem. We then deploy different reinforcement learning agents tasked with learning an effective policy to perform SQL injection; we design our training in such a way that the agent learns not just a specific strategy to solve an individual challenge but a more generic policy that may be applied to perform SQL injection attacks against any system instantiated randomly by our problem generator. We analyze the results in terms of the quality of the learned policy and in terms of convergence time as a function of the complexity of the challenge and the learning agent's complexity. Our work fits in the wider research on the development of intelligent agents for autonomous penetration testing and white-hat hacking, and our results aim to contribute to understanding the potential and the limits of reinforcement learning in a security environment.