



Abstract:In this paper, we transform tag recommendation into a word-based text generation problem and introduce a sequence-to-sequence model. The model inherits the advantages of LSTM-based encoder for sequential modeling and attention-based decoder with local positional encodings for learning relations globally. Experimental results on Zhihu datasets illustrate the proposed model outperforms other state-of-the-art text classification based methods.




Abstract:Recently, Chinese word segmentation (CWS) methods using neural networks have made impressive progress. Most of them regard the CWS as a sequence labeling problem which construct models based on local features rather than considering global information of input sequence. In this paper, we cast the CWS as a sequence translation problem and propose a novel sequence-to-sequence CWS model with an attention-based encoder-decoder framework. The model captures the global information from the input and directly outputs the segmented sequence. It can also tackle other NLP tasks with CWS jointly in an end-to-end mode. Experiments on Weibo, PKU and MSRA benchmark datasets show that our approach has achieved competitive performances compared with state-of-the-art methods. Meanwhile, we successfully applied our proposed model to jointly learning CWS and Chinese spelling correction, which demonstrates its applicability of multi-task fusion.




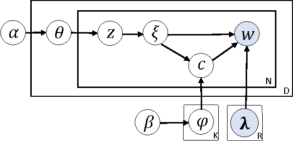
Abstract:Recently, topic modeling has been widely used to discover the abstract topics in text corpora. Most of the existing topic models are based on the assumption of three-layer hierarchical Bayesian structure, i.e. each document is modeled as a probability distribution over topics, and each topic is a probability distribution over words. However, the assumption is not optimal. Intuitively, it's more reasonable to assume that each topic is a probability distribution over concepts, and then each concept is a probability distribution over words, i.e. adding a latent concept layer between topic layer and word layer in traditional three-layer assumption. In this paper, we verify the proposed assumption by incorporating the new assumption in two representative topic models, and obtain two novel topic models. Extensive experiments were conducted among the proposed models and corresponding baselines, and the results show that the proposed models significantly outperform the baselines in terms of case study and perplexity, which means the new assumption is more reasonable than traditional one.