Abstract:Accurate identification of protein-nucleotide binding sites is fundamental to deciphering molecular mechanisms and accelerating drug discovery. However, current computational methods often struggle with suboptimal performance due to inadequate feature representation and rigid fusion mechanisms, which hinder the effective exploitation of cross-task information synergy. To bridge this gap, we propose MTGA-MGE, a framework that integrates a Multi-Task Genetic Algorithm with Multi-Granularity Encoding to enhance binding site prediction. Specifically, we develop a Multi-Granularity Encoding (MGE) network that synergizes multi-scale convolutions and self-attention mechanisms to distill discriminative signals from high-dimensional, redundant biological data. To overcome the constraints of static fusion, a genetic algorithm is employed to adaptively evolve task-specific fusion strategies, thereby effectively improving model generalization. Furthermore, to catalyze collaborative learning, we introduce an External-Neighborhood Mechanism (ENM) that leverages biological similarities to facilitate targeted information exchange across tasks. Extensive evaluations on fifteen nucleotide datasets demonstrate that MTGA-MGE not only establishes a new state-of-the-art in data-abundant, high-resource scenarios but also maintains a robust competitive edge in rare, low-resource regimes, presenting a highly adaptive scheme for decoding complex protein-ligand interactions in the post-genomic era.
Abstract:Predicting protein secondary structure is essential for understanding protein function and advancing drug discovery. However, the intricate sequence-structure relationship poses significant challenges for accurate modeling. To address these, we propose MOGP-MMF, a multi-objective genetic programming framework that reformulates PSSP as an automated optimization task focused on feature selection and fusion. Specifically, MOGP-MMF introduces a multi-view multi-level representation strategy that integrates evolutionary, semantic, and newly introduced structural views to capture the comprehensive protein folding logic. Leveraging an enriched operator set, the framework evolves both linear and nonlinear fusion functions, effectively capturing high-order feature interactions while reducing fusion complexity. To resolve the accuracy-complexity trade-off, an improved multi-objective GP algorithm is developed, incorporating a knowledge transfer mechanism that utilizes prior evolutionary experience to guide the population toward global optima. Extensive experiments across seven benchmark datasets demonstrate that MOGP-MMF surpasses state-of-the-art methods, particularly in Q8 accuracy and structural integrity. Furthermore, MOGP-MMF generates a diverse set of non-dominated solutions, offering flexible model selection schemes for various practical application scenarios. The source code is available on GitHub: https://github.com/qian-ann/MOGP-MMF/tree/main.
Abstract:In this paper, channel estimation (CE) for uplink hybrid-field communications involving multiple Internet of Things (IoT) devices assisted by an active intelligent reflecting surface (IRS) is investigated. Firstly, to reduce the complexity of near-field (NF) channel modeling and estimation between IoT devices and active IRS, a sub-blocking strategy for active IRS is proposed. Specifically, the entire active IRS is divided into multiple smaller sub-blocks, so that IoT devices are located in the far-field (FF) region of each sub block, while also being located in the NF region of the entire active IRS. This strategy significantly simplifies the channel model and reduces the parameter estimation dimension by decoupling the high-dimensional NF channel parameter space into low dimensional FF sub channels. Subsequently, the relationship between channel approximation error and CE error with respect to the number of sub blocks is derived, and the optimal number of sub blocks is solved based on the criterion of minimizing the total error. In addition, considering that the amplification capability of active IRS requires power consumption, a closed-form expression for the optimal power allocation factor is derived. To further reduce the pilot overhead, a lightweight CE algorithm based on convolutional autoencoder (CAE) and multi-head attention mechanism, called CAEformer, is designed. The Cramer-Rao lower bound is derived to evaluate the proposed algorithm's performance. Finally, simulation results demonstrate the proposed CAEformer network significantly outperforms the conventional least square and minimum mean square error scheme in terms of estimation accuracy.


Abstract:Due to its intrinsic ability to combat the double fading effect, the active intelligent reflective surface (IRS) becomes popular. The main feature of active IRS must be supplied by power, and the problem of how to allocate the total power between base station (BS) and IRS to fully explore the rate gain achieved by power allocation (PA) to remove the rate gap between existing PA strategies and optimal exhaustive search (ES) arises naturally. First, the signal-to-noise ratio (SNR) expression is derived to be a function of PA factor beta [0, 1]. Then, to improve the rate performance of the conventional gradient ascent (GA), an equal-spacing-multiple-point-initialization GA (ESMPI-GA) method is proposed. Due to its slow linear convergence from iterative GA, the proposed ESMPI-GA is high-complexity. Eventually, to reduce this high complexity, a low-complexity closed-form PA method with third-order Taylor expansion (TTE) centered at point beta0 = 0.5 is proposed. Simulation results show that the proposed ESMPI-GA harvests about 0.5 bit gain over conventional GA and 1.2 and 0.8 bits gain over existing methods like equal PA and Taylor polynomial approximation (TPA) for small-scale IRS, and the proposed TTE performs much better than TPA and fixed PA strategies using an extremely low complexity.




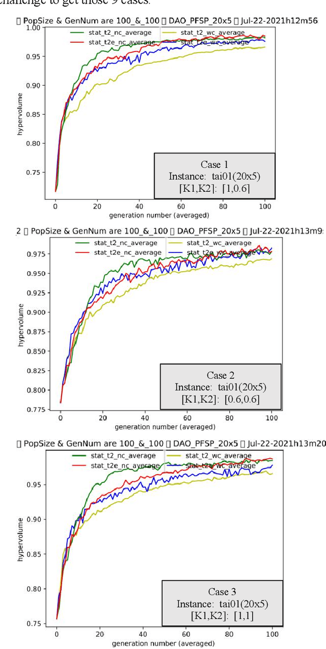
Abstract:Evolutionary transfer optimization(ETO) serves as "a new frontier in evolutionary computation research", which will avoid zero reuse of experience and knowledge from solved problems in traditional evolutionary computation. In scheduling applications via ETO, a highly competitive "meeting" framework between them could be constituted towards both intelligent scheduling and green scheduling, especially for carbon neutrality within the context of China. To the best of our knowledge, our study on scheduling here, is the 1st work of ETO for complex optimization when multiobjective problem "meets" single-objective problems in combinatorial case (not multitasking optimization). More specifically, key knowledge like positional building blocks clustered, could be learned and transferred for permutation flow shop scheduling problem (PFSP). Empirical studies on well-studied benchmarks validate relatively firm effectiveness and great potential of our proposed ETO-PFSP framework.




Abstract:As a green and secure wireless transmission method, secure spatial modulation (SM) is becoming a hot research area. Its basic idea is to exploit both the index of activated transmit antenna and amplitude phase modulation signal to carry messages, improve security, and save energy. In this paper, we review its crucial challenges: transmit antenna selection (TAS), artificial noise (AN) projection, power allocation (PA) and joint detection at the desired receiver. As the size of signal constellation tends to medium-scale or large-scale, the complexity of traditional maximum likelihood detector becomes prohibitive. To reduce this complexity, a low-complexity maximum likelihood (ML) detector is proposed. To further enhance the secrecy rate (SR) performance, a deep-neural-network (DNN) PA strategy is proposed. Simulation results show that the proposed low-complexity ML detector, with a lower-complexity, has the same bit error rate performance as the joint ML method while the proposed DNN method strikes a good balance between complexity and SR performance.