



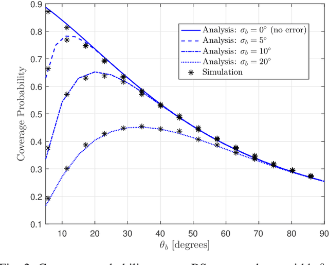
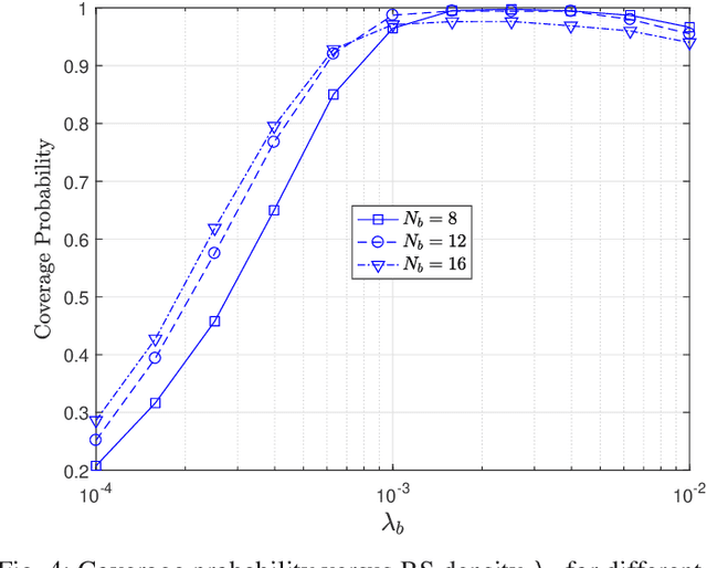
Abstract:Beam misalignment is one of the main challenges for the design of reliable wireless systems in terahertz (THz) bands. This paper investigates how to apply user-centric base station (BS) clustering as a valuable add-on in THz networks. In particular, to reduce the impact of beam misalignment, a user-centric BS clustering design that provides multi-connectivity via BS cooperation is investigated. The coverage probability is derived by leveraging an accurate approximation of the aggregate interference distribution that captures the effect of beam misalignment and THz fading. The numerical results reveal the impact of beam misalignment with respect to crucial link parameters, such as the transmitter's beam width and the serving cluster size, demonstrating that user-centric BS clustering is a promising enabler of THz networks.




Abstract:Age verification, which is a mandatory legal requirement for delivering certain age-appropriate services or products, has recently been emphasized around the globe to ensure online safety for children. The rapid advancement of artificial intelligence has facilitated the recent development of some cutting-edge age-verification technologies, particularly using biometrics. However, successful deployment and mass acceptance of these technologies are significantly dependent on the corresponding socio-economic and regulatory context. This paper reviews such key dynamics for improvising age-verification technologies in Canada. It is particularly essential for such technologies to be inclusive, transparent, adaptable, privacy-preserving, and secure. Effective collaboration between academia, government, and industry entities can help to meet the growing demands for age-verification services in Canada while maintaining a user-centric approach.




Abstract:Gesture recognition using low-resolution instantaneous HD-sEMG images opens up new avenues for the development of more fluid and natural muscle-computer interfaces. However, the data variability between inter-session and inter-subject scenarios presents a great challenge. The existing approaches employed very large and complex deep ConvNet or 2SRNN-based domain adaptation methods to approximate the distribution shift caused by these inter-session and inter-subject data variability. Hence, these methods also require learning over millions of training parameters and a large pre-trained and target domain dataset in both the pre-training and adaptation stages. As a result, it makes high-end resource-bounded and computationally very expensive for deployment in real-time applications. To overcome this problem, we propose a lightweight All-ConvNet+TL model that leverages lightweight All-ConvNet and transfer learning (TL) for the enhancement of inter-session and inter-subject gesture recognition performance. The All-ConvNet+TL model consists solely of convolutional layers, a simple yet efficient framework for learning invariant and discriminative representations to address the distribution shifts caused by inter-session and inter-subject data variability. Experiments on four datasets demonstrate that our proposed methods outperform the most complex existing approaches by a large margin and achieve state-of-the-art results on inter-session and inter-subject scenarios and perform on par or competitively on intra-session gesture recognition. These performance gaps increase even more when a tiny amount (e.g., a single trial) of data is available on the target domain for adaptation. These outstanding experimental results provide evidence that the current state-of-the-art models may be overparameterized for sEMG-based inter-session and inter-subject gesture recognition tasks.

Abstract:Statistical characterization of the signal-to-noise ratio (SNR) of reconfigurable intelligent surface (RIS)-assistedcommunications in the presence of phase noise is an important open issue. In this letter, we exploit the concept of copula modeling to capture the non-standard dependence features that appear due to the presence of discrete phase noise. In particular,we consider the outage probability of RIS systems in Rayleighfading channels and provide joint distributions to characterize the dependencies due to the use of finite resolution phase shifters at the RIS. Numerical assessments confirm the validity of closed-form expressions of the outage probability and motivate the use of bivariate copula for further RIS studies.


Abstract:In this paper, we investigate the impact of correlated fading on the performance of wireless multiple access channels (MAC) in the presence and absence of side information (SI) at transmitters, where the fading coefficients are modeled according to the Fisher-Snedecor F distribution. Specifically, we represent two scenarios: (i) clear MAC (i.e, without SI at transmitters), (ii) doubly dirty MAC (i.e., with the non-causally known SI at transmitters). For both system models, we derive the closed-form expressions for the outage probability in independent fading conditions. Besides, exploiting copula theory, we obtain exact analytical expressions for the outage probability under the positive dependence fading conditions in both considered models. Finally, the efficiency of the analytical results is illustrated numerically.



Abstract:This paper proposes a robust beamforming scheme to enhance the physical layer security (PLS) of multicast transmission in a cognitive satellite and aerial network (CSAN) operating in the millimeter wave frequency band. Based on imperfect channel state information (CSI) of both eavesdroppers (Eves) and primary users (PUs), we maximize the minimum achievable secrecy rate (ASR) of the secondary users (SUs) in the aerial network under the constraints of the interference to the PUs in the satellite network, the quality of service (QoS) requirements of the SUs and per-antenna power budget of the aerial platform. To tackle this mathematically intractable problem, we first introduce an auxiliary variable and outage constraints to simplify the complex objective function. We then convert the non-convex outage constraints into deterministic forms and adopt penalty function approach to obtain a semi-definite problem such that it can be solved in an iterative fashion. Finally, simulation results show that with the transmit power increase, the minimal ASR of SUs obtained from the proposed BF scheme well approximate the optimal value.


Abstract:This paper proposes a robust beamforming (BF) scheme to enhance physical layer security (PLS) of the downlink of a multibeam satellite system in the presence of either uncoordinated or coordinated eavesdroppers (Eves). Specifically, with knowing only the approximate locations of the Eves, we aim at maximizing the worst-case achievable secrecy rate (ASR) of the legitimate user (LU), subject to the constraints of per-antenna transmit power and quality of service (QoS) requirement of the LU. Since the optimization problem is non-convex, we first adopt the discretization method to deal with the unknown regions of the Eves and then exploit the log-sum-exp function to approximate the objective function. Afterwards, a BF method joint alternating direction method of multipliers (ADMM) with Dinkelbach iteration is presented to solve this non-convex problem. Finally, simulation results verify that our robust BF algorithm can effectively improve the security of multibeam satellite systems.




Abstract:In this paper, we propose a transformer-based architecture, called two-stage transformer neural network (TSTNN) for end-to-end speech denoising in the time domain. The proposed model is composed of an encoder, a two-stage transformer module (TSTM), a masking module and a decoder. The encoder maps input noisy speech into feature representation. The TSTM exploits four stacked two-stage transformer blocks to efficiently extract local and global information from the encoder output stage by stage. The masking module creates a mask which will be multiplied with the encoder output. Finally, the decoder uses the masked encoder feature to reconstruct the enhanced speech. Experimental results on the benchmark dataset show that the TSTNN outperforms most state-of-the-art models in time or frequency domain while having significantly lower model complexity.




Abstract:The advent of learning-based methods in speech enhancement has revived the need for robust and reliable training features that can compactly represent speech signals while preserving their vital information. Time-frequency domain features, such as the Short-Term Fourier Transform (STFT) and Mel-Frequency Cepstral Coefficients (MFCC), are preferred in many approaches. While the MFCC provide for a compact representation, they ignore the dynamics and distribution of energy in each mel-scale subband. In this work, a speech enhancement system based on Generative Adversarial Network (GAN) is implemented and tested with a combination of Audio FingerPrinting (AFP) features obtained from the MFCC and the Normalized Spectral Subband Centroids (NSSC). The NSSC capture the locations of speech formants and complement the MFCC in a crucial way. In experiments with diverse speakers and noise types, GAN-based speech enhancement with the proposed AFP feature combination achieves the best objective performance while reducing memory requirements and training time.