Abstract:This paper investigates a fluid antenna system (FAS) where a single-antenna transmitter communicates with a receiver equipped with a fluid antenna (FA) over a Rician fading channel. Considering that multiple ports among the M available FA ports can be activated, the receiver selects the best K with the highest instantaneous signal-to-noise ratio (SNR) and combines the received signals at the selected ports using maximum ratio combining. The statistics of the post-combining SNR are derived using a Laplace transform-based approach, which allows to analyze the outage probability (OP) of the FAS. Additional closed-form expressions for a lower bound on the OP and the asymptotic OP at high SNR are presented. Numerical results validate the analytical framework and demonstrate the interplay of key system parameters on the performance of the considered MRC-based FAS.
Abstract:This paper considers a multiple-input multiple-output (MIMO) wireless system wherein two legitimate users attempt to exchange secret keys over free-space optical (FSO) channels. Novel frameworks for the use of the one- and two-way discrete-variable quantum key distribution (DV-QKD) protocols, employing weak coherent pulses and decoy states, are presented. Focusing on the case where a photon-number-splitting attack is adopted by the eavesdropper and the legitimate multi-antenna receiver using threshold detection for the key extraction, novel expressions for the secret key rate and quantum bit error rate for both one- and two-way protocols are derived. The performance gain with larger MIMO configurations and the tradeoff between the performances with the one- and the two-way protocols with respect to the transmission distance of the legitimate FSO link are numerically assessed.
Abstract:This paper considers a reconfigurable intelligent surface (RIS) aided wireless communication system where the transmitter employs one-sided amplitude-shift keying (ASK) for data modulation and the receiver employs an optimal noncoherent maximum-likelihood rule for symbol detection. A novel statistical analysis is presented to approximate the weighted sum of a central and a non-central chi-squared random variable, which is used to derive a novel closed-form expression for the symbol error probability (SEP) of the noncoherent system. Furthermore, an optimization problem to minimize the system's SEP under transmission energy constraint is proposed, and novel algorithms are presented to obtain the optimal ASK constellation minimizing the SEP. Numerical results indicate that the noncoherent system achieves superior error performance and higher diversity order with the optimal ASK constellation compared to the traditional equispaced ASK constellation. Further, the optimal ASK significantly differs from the traditional one, with the difference becoming significant with an increase in the average signal-to-noise ratio and at a lower number of RIS's reflecting elements.
Abstract:This paper analyzes the performance of a single-input multiple-output (SIMO) wireless communication system employing one- and two-sided amplitude shift keying (ASK) modulation schemes for data transmission and operating under correlated Rician fading channels. The receiver deploys an optimal noncoherent maximum likelihood detector, which exploits statistical knowledge of the channel state information for signal decoding. An optimal receiver structure is derived, from which series-form and closed-form expressions for the union bound on the symbol error probability (SEP) are obtained for general and massive SIMO systems, respectively. Furthermore, an optimization framework to derive the optimal one- and two-sided ASK modulation schemes is proposed, which focuses on minimizing SEP performance under an average transmit energy constraint. The conducted numerical investigations for various system parameters demonstrate that the proposed noncoherent SIMO system with the designed optimal ASK modulation schemes achieves superior error performance compared to traditional equispaced ASK modulation. It is also shown that, when the proposed system employs traditional two-sided ASK modulation, superior error performance from the case of using one-sided ASK is obtained.




Abstract:In this paper, a multiple-input multiple-output (MIMO) wireless system incorporating a reconfigurable intelligent surface (RIS) to efficiently operate at terahertz (THz) frequencies is considered. The transmitter, Alice, employs continuous-variable quantum key distribution (CV-QKD) to communicate secret keys to the receiver, Bob, which utilizes either homodyne or heterodyne detection. The latter node applies the least-squared approach to estimate the effective MIMO channel gain matrix prior to receiving the secret key, and this estimation is made available to Alice via an error-free feedback channel. An eavesdropper, Eve, is assumed to employ a collective Gaussian entanglement attack on the feedback channel to avail the estimated channel state information. We present a novel closed-form expression for the secret key rate (SKR) performance of the proposed RIS-assisted THz CV-QKD system. The effect of various system parameters, such as the number of RIS elements and their phase configurations, the channel estimation error, and the detector noise, on the SKR performance are studied via numerical evaluation of the derived formula. It is demonstrated that the RIS contributes to larger SKR for larger link distances, and that heterodyne detection is preferable over homodyne at lower pilot symbol powers.




Abstract:This paper investigates the performance of one- and two-sided amplitude shift keying (ASK) modulations in noncoherent single-input single-output (SISO) wireless communication systems assisted by a reconfigurable intelligent surface (RIS). Novel noncoherent receiver structures are proposed based on the energy of the received symbol and the choice of the modulation scheme for data transmission. The system's performance is assessed in terms of the symbol error rate (SER) and an optimization framework is proposed to determine the most effective one- and two-sided ASKs to minimize the SER, while adhering to average a transmit power constraint. Two scenarios based on the availability of the statistical characteristics of the wireless channel are explored: a) the transceiver pair has complete knowledge of the channel statistics, and b) both end nodes possess knowledge of the statistics of the channel gain up to its fourth moment, and novel algorithms are developed to obtain optimal ASKs for both of them. Extensive numerical evaluations are presented showcasing that there exists a threshold signal-to-noise ratio (SNR) above which the optimal ASKs outperform the traditional equispaced ASKs. The dependencies of the SER performance and the SNR threshold on various system parameters are assessed, providing design guidelines for RIS-assisted noncoherent wireless communication systems with multi-level ASK modulations.




Abstract:Reconfigurable intelligent surfaces (RIS) and index modulation (IM) represent key technologies for enabling reliable wireless communication with high energy efficiency. However, to fully take advantage of these technologies in practical deployments, comprehending the impact of the non-ideal nature of the underlying transceivers is paramount. In this context, this paper introduces two RIS-assisted IM communication models, in which the RIS is part of the transmitter and space-shift keying (SSK) is employed for IM, and assesses their performance in the presence of hardware impairments. In the first model, the RIS acts as a passive reflector only, reflecting the oncoming SSK modulated signal intelligently towards the desired receive diversity branch/antenna. The second model employs RIS as a transmitter, employing M-ary phase-shift keying for reflection phase modulation (RPM), and as a reflector for the incoming SSK modulated signal. Considering transmissions subjected to Nakagami-m fading, and a greedy detection rule at the receiver, the performance of both the system configurations is evaluated. Specifically, the pairwise probability of erroneous index detection and the probability of erroneous index detection are adopted as performance metrics, and their closed-form expressions are derived for the RIS-assisted SSK and RIS-assisted SSK-RPM system models. Monte-Carlo simulation studies are carried out to verify the analytical framework, and numerical results are presented to study the dependency of the error performance on the system parameters. The findings highlight the effect of hardware impairment on the performance of the communication system under study.




Abstract:In this paper, we analyze the performance of one- and two-sided amplitude shift keying (ASK) modulations in single-input single-output wireless communication aided by a reconfigurable intelligent surface (RIS). Two scenarios are considered for the channel conditions: a blocked direct channel between the transmitter and the receiver, and an unblocked one. For the receiver, a noncoherent maximum likelihood detector is proposed, which detects the transmitted data signal based on statistical knowledge of the channel. The system's performance is then evaluated by deriving the symbol error probability (SEP) for both scenarios using the proposed noncoherent receiver structures. We also present a novel optimization framework to obtain the optimal one- and two-sided ASK modulation schemes that minimize the SEP under constraints on the available average transmit power for both the blocked and unblocked direct channel scenarios. Our extensive numerical investigations showcase that the considered RIS-aided communication system achieves superior error performance with both derived SEP-optimal ASK modulation schemes as compared to respective traditional ASK modulation. It is also demonstrated that, between the two proposed modulation schemes, the two-sided one yields the best SEP. The error performance is further analyzed for different system parameters, providing a comprehensive performance investigation of RIS-assisted noncoherent wireless communication systems.




Abstract:A RIS-assisted wireless communication system in the presence of a direct communication path between the transceiver pair is considered in this paper. The transmitter-RIS and the RIS-receiver channels follow independent Nakagami-m distributions, and the direct channel between the transceiver pair follows a Rayleigh distribution. Considering this system model, the statistics of the composite channel for the RIS-assisted communication system are derived in terms of obtaining novel expressions for the probability density functions for the magnitude and the phase of the communication channel. The correctness of the analytical framework is verified via Monte Carlo simulations, and the effects of the shape parameters of the channels and the number of reflecting elements in the RIS on the randomness of the composite channel are studied via numerical results.




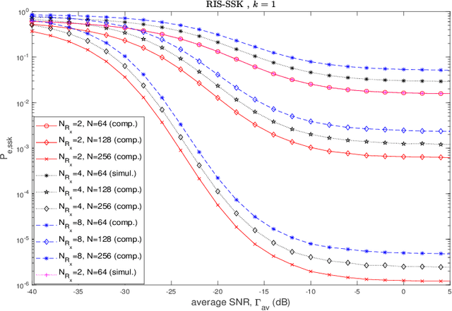
Abstract:Index modulation schemes for reconfigurable intelligent surfaces (RIS)-assisted systems are envisioned as promising technologies for fifth-generation-advanced and sixth-generation (6G) wireless communication systems to enhance various system capabilities such as coverage area and network capacity. In this paper, we consider a receive diversity RIS-assisted wireless communication system employing IM schemes, namely, space-shift keying (SSK) for binary modulation and spatial modulation (SM) for M-ary modulation for data transmission. The RIS lies in close proximity to the transmitter, and the transmitted data is subjected to a fading environment with a prominent line-of-sight component modeled by a Rician distribution. A receiver structure based on a greedy detection rule is employed to select the receive diversity branch with the highest received signal energy for demodulation. The performance of the considered system is evaluated by obtaining a series-form expression for the probability of erroneous index detection (PED) of the considered target antenna using a characteristic function approach. In addition, closed-form and asymptotic expressions at high and low signal-to-noise ratios (SNRs) for the bit error rate (BER) for the SSK-based system, and the SM-based system employing M-ary phase-shift keying and M-ary quadrature amplitude modulation schemes, are derived. The dependencies of the system performance on the various parameters are corroborated via numerical results. The asymptotic expressions and results of PED and BER at high and low SNR values lead to the observation of a performance saturation and the presence of an SNR value as a point of inflection, which is attributed to the greedy detector's structure.