



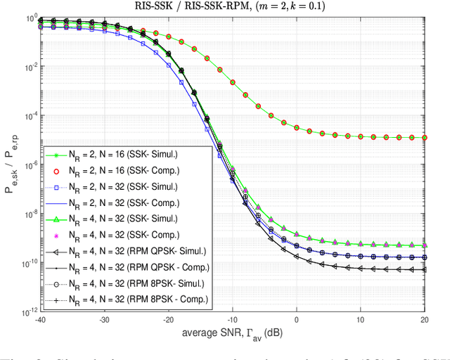
Abstract:Reconfigurable intelligent surfaces (RIS) and index modulation (IM) represent key technologies for enabling reliable wireless communication with high energy efficiency. However, to fully take advantage of these technologies in practical deployments, comprehending the impact of the non-ideal nature of the underlying transceivers is paramount. In this context, this paper introduces two RIS-assisted IM communication models, in which the RIS is part of the transmitter and space-shift keying (SSK) is employed for IM, and assesses their performance in the presence of hardware impairments. In the first model, the RIS acts as a passive reflector only, reflecting the oncoming SSK modulated signal intelligently towards the desired receive diversity branch/antenna. The second model employs RIS as a transmitter, employing M-ary phase-shift keying for reflection phase modulation (RPM), and as a reflector for the incoming SSK modulated signal. Considering transmissions subjected to Nakagami-m fading, and a greedy detection rule at the receiver, the performance of both the system configurations is evaluated. Specifically, the pairwise probability of erroneous index detection and the probability of erroneous index detection are adopted as performance metrics, and their closed-form expressions are derived for the RIS-assisted SSK and RIS-assisted SSK-RPM system models. Monte-Carlo simulation studies are carried out to verify the analytical framework, and numerical results are presented to study the dependency of the error performance on the system parameters. The findings highlight the effect of hardware impairment on the performance of the communication system under study.




Abstract:In this paper, we analyze the performance of one- and two-sided amplitude shift keying (ASK) modulations in single-input single-output wireless communication aided by a reconfigurable intelligent surface (RIS). Two scenarios are considered for the channel conditions: a blocked direct channel between the transmitter and the receiver, and an unblocked one. For the receiver, a noncoherent maximum likelihood detector is proposed, which detects the transmitted data signal based on statistical knowledge of the channel. The system's performance is then evaluated by deriving the symbol error probability (SEP) for both scenarios using the proposed noncoherent receiver structures. We also present a novel optimization framework to obtain the optimal one- and two-sided ASK modulation schemes that minimize the SEP under constraints on the available average transmit power for both the blocked and unblocked direct channel scenarios. Our extensive numerical investigations showcase that the considered RIS-aided communication system achieves superior error performance with both derived SEP-optimal ASK modulation schemes as compared to respective traditional ASK modulation. It is also demonstrated that, between the two proposed modulation schemes, the two-sided one yields the best SEP. The error performance is further analyzed for different system parameters, providing a comprehensive performance investigation of RIS-assisted noncoherent wireless communication systems.




Abstract:In this paper, we design a deep learning based resource allocation framework, in the form of an auction, for simultaneous information and power transfer from a hybrid access point (AP) to information devices and energy harvesting devices, respectively. Using Myerson's lemma and the concept of virtual welfare maximization, we develop an optimal dominant-strategy incentive-compatible mechanism for the AP to maximize its expected revenue, based on the devices' bid profiles, valuation distributions, demand profiles, and channel state information. In so doing, we formulate the revenue maximization problem, which is a mixed-integer non-linear program, and propose an efficient Branch-and-Bound (BnB) algorithm to solve the problem using semidefinite relaxation technique in each branch. Since the problem has exponential time complexity, using BnB algorithms can be impractical for real-time applications. To circumvent this, a deep neural network (DNN) is proposed, and trained to predict the optimal mechanism for beamforming the data and the energy towards the information and energy devices, respectively. We use the BnB algorithm to solve the problem offline and populate the training dataset. The proposed DNN architecture is indeed a multi-layer perceptron, which is trained well to map the heterogeneous input to the desired output with high accuracy. Furthermore, we propose a heuristic iterative solution whose accuracy performance is comparable to that of the DNN-based solution. The heuristic solution has polynomial time complexity whereas the DNN-based solution has linear time complexity.