



Abstract:Time-series anomaly detection (TSAD) has played a vital role in a variety of fields, including healthcare, finance, and industrial monitoring. Prior methods, which mainly focus on training domain-specific models on numerical data, lack the visual-temporal reasoning capacity that human experts have to identify contextual anomalies. To fill this gap, we explore a solution based on vision language models (VLMs). Recent studies have shown the ability of VLMs for visual reasoning tasks, yet their direct application to time series has fallen short on both accuracy and efficiency. To harness the power of VLMs for TSAD, we propose a two-stage solution, with (1) ViT4TS, a vision-screening stage built on a relatively lightweight pretrained vision encoder, which leverages 2-D time-series representations to accurately localize candidate anomalies; (2) VLM4TS, a VLM-based stage that integrates global temporal context and VLM reasoning capacity to refine the detection upon the candidates provided by ViT4TS. We show that without any time-series training, VLM4TS outperforms time-series pretrained and from-scratch baselines in most cases, yielding a 24.6 percent improvement in F1-max score over the best baseline. Moreover, VLM4TS also consistently outperforms existing language-model-based TSAD methods and is on average 36 times more efficient in token usage.





Abstract:With the widespread availability of sensor data across industrial and operational systems, we frequently encounter heterogeneous time series from multiple systems. Anomaly detection is crucial for such systems to facilitate predictive maintenance. However, most existing anomaly detection methods are designed for either univariate or single-system multivariate data, making them insufficient for these complex scenarios. To address this, we introduce M$^2$AD, a framework for unsupervised anomaly detection in multivariate time series data from multiple systems. M$^2$AD employs deep models to capture expected behavior under normal conditions, using the residuals as indicators of potential anomalies. These residuals are then aggregated into a global anomaly score through a Gaussian Mixture Model and Gamma calibration. We theoretically demonstrate that this framework can effectively address heterogeneity and dependencies across sensors and systems. Empirically, M$^2$AD outperforms existing methods in extensive evaluations by 21% on average, and its effectiveness is demonstrated on a large-scale real-world case study on 130 assets in Amazon Fulfillment Centers. Our code and results are available at https://github.com/sarahmish/M2AD.





Abstract:Explanations of machine learning (ML) model predictions generated by Explainable AI (XAI) techniques such as SHAP are essential for people using ML outputs for decision-making. We explore the potential of Large Language Models (LLMs) to transform these explanations into human-readable, narrative formats that align with natural communication. We address two key research questions: (1) Can LLMs reliably transform traditional explanations into high-quality narratives? and (2) How can we effectively evaluate the quality of narrative explanations? To answer these questions, we introduce Explingo, which consists of two LLM-based subsystems, a Narrator and Grader. The Narrator takes in ML explanations and transforms them into natural-language descriptions. The Grader scores these narratives on a set of metrics including accuracy, completeness, fluency, and conciseness. Our experiments demonstrate that LLMs can generate high-quality narratives that achieve high scores across all metrics, particularly when guided by a small number of human-labeled and bootstrapped examples. We also identified areas that remain challenging, in particular for effectively scoring narratives in complex domains. The findings from this work have been integrated into an open-source tool that makes narrative explanations available for further applications.





Abstract:Recent studies have shown the ability of large language models to perform a variety of tasks, including time series forecasting. The flexible nature of these models allows them to be used for many applications. In this paper, we present a novel study of large language models used for the challenging task of time series anomaly detection. This problem entails two aspects novel for LLMs: the need for the model to identify part of the input sequence (or multiple parts) as anomalous; and the need for it to work with time series data rather than the traditional text input. We introduce sigllm, a framework for time series anomaly detection using large language models. Our framework includes a time-series-to-text conversion module, as well as end-to-end pipelines that prompt language models to perform time series anomaly detection. We investigate two paradigms for testing the abilities of large language models to perform the detection task. First, we present a prompt-based detection method that directly asks a language model to indicate which elements of the input are anomalies. Second, we leverage the forecasting capability of a large language model to guide the anomaly detection process. We evaluated our framework on 11 datasets spanning various sources and 10 pipelines. We show that the forecasting method significantly outperformed the prompting method in all 11 datasets with respect to the F1 score. Moreover, while large language models are capable of finding anomalies, state-of-the-art deep learning models are still superior in performance, achieving results 30% better than large language models.

Abstract:In text classification, creating an adversarial example means subtly perturbing a few words in a sentence without changing its meaning, causing it to be misclassified by a classifier. A concerning observation is that a significant portion of adversarial examples generated by existing methods change only one word. This single-word perturbation vulnerability represents a significant weakness in classifiers, which malicious users can exploit to efficiently create a multitude of adversarial examples. This paper studies this problem and makes the following key contributions: (1) We introduce a novel metric \r{ho} to quantitatively assess a classifier's robustness against single-word perturbation. (2) We present the SP-Attack, designed to exploit the single-word perturbation vulnerability, achieving a higher attack success rate, better preserving sentence meaning, while reducing computation costs compared to state-of-the-art adversarial methods. (3) We propose SP-Defense, which aims to improve \r{ho} by applying data augmentation in learning. Experimental results on 4 datasets and BERT and distilBERT classifiers show that SP-Defense improves \r{ho} by 14.6% and 13.9% and decreases the attack success rate of SP-Attack by 30.4% and 21.2% on two classifiers respectively, and decreases the attack success rate of existing attack methods that involve multiple-word perturbations.

Abstract:Time series anomaly detection is a prevalent problem in many application domains such as patient monitoring in healthcare, forecasting in finance, or predictive maintenance in energy. This has led to the emergence of a plethora of anomaly detection methods, including more recently, deep learning based methods. Although several benchmarks have been proposed to compare newly developed models, they usually rely on one-time execution over a limited set of datasets and the comparison is restricted to a few models. We propose OrionBench -- a user centric continuously maintained benchmark for unsupervised time series anomaly detection. The framework provides universal abstractions to represent models, extensibility to add new pipelines and datasets, hyperparameter standardization, pipeline verification, and frequent releases with published benchmarks. We demonstrate the usage of OrionBench, and the progression of pipelines across 15 releases published over the course of three years. Moreover, we walk through two real scenarios we experienced with OrionBench that highlight the importance of continuous benchmarks in unsupervised time series anomaly detection.





Abstract:Anomaly detection on time series data is increasingly common across various industrial domains that monitor metrics in order to prevent potential accidents and economic losses. However, a scarcity of labeled data and ambiguous definitions of anomalies can complicate these efforts. Recent unsupervised machine learning methods have made remarkable progress in tackling this problem using either single-timestamp predictions or time series reconstructions. While traditionally considered separately, these methods are not mutually exclusive and can offer complementary perspectives on anomaly detection. This paper first highlights the successes and limitations of prediction-based and reconstruction-based methods with visualized time series signals and anomaly scores. We then propose AER (Auto-encoder with Regression), a joint model that combines a vanilla auto-encoder and an LSTM regressor to incorporate the successes and address the limitations of each method. Our model can produce bi-directional predictions while simultaneously reconstructing the original time series by optimizing a joint objective function. Furthermore, we propose several ways of combining the prediction and reconstruction errors through a series of ablation studies. Finally, we compare the performance of the AER architecture against two prediction-based methods and three reconstruction-based methods on 12 well-known univariate time series datasets from NASA, Yahoo, Numenta, and UCR. The results show that AER has the highest averaged F1 score across all datasets (a 23.5% improvement compared to ARIMA) while retaining a runtime similar to its vanilla auto-encoder and regressor components. Our model is available in Orion, an open-source benchmarking tool for time series anomaly detection.





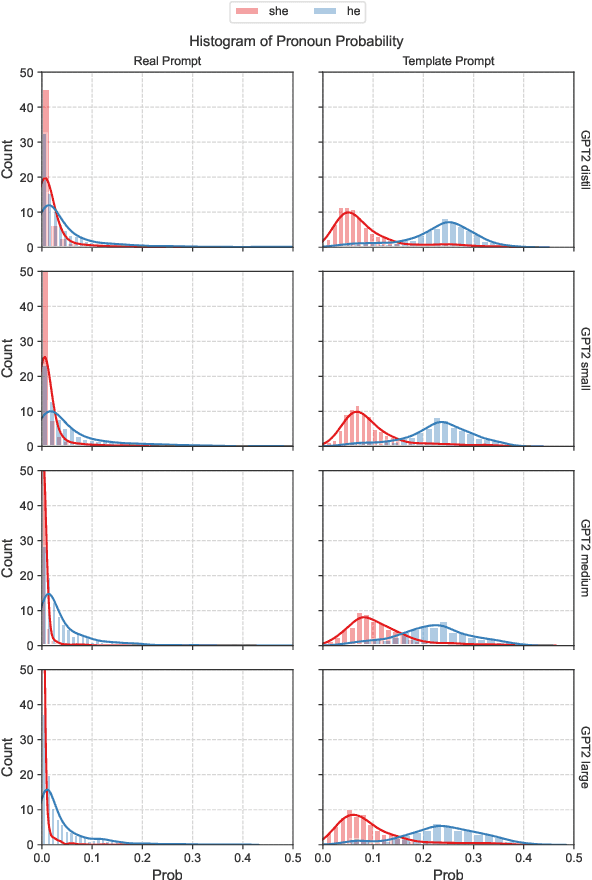
Abstract:Evaluation of biases in language models is often limited to synthetically generated datasets. This dependence traces back to the need for a prompt-style dataset to trigger specific behaviors of language models. In this paper, we address this gap by creating a prompt dataset with respect to occupations collected from real-world natural sentences present in Wikipedia. We aim to understand the differences between using template-based prompts and natural sentence prompts when studying gender-occupation biases in language models. We find bias evaluations are very sensitive to the design choices of template prompts, and we propose using natural sentence prompts for systematic evaluations to step away from design choices that could introduce bias in the observations.





Abstract:The detection of anomalies in time series data is a critical task with many monitoring applications. Existing systems often fail to encompass an end-to-end detection process, to facilitate comparative analysis of various anomaly detection methods, or to incorporate human knowledge to refine output. This precludes current methods from being used in real-world settings by practitioners who are not ML experts. In this paper, we introduce Sintel, a machine learning framework for end-to-end time series tasks such as anomaly detection. The framework uses state-of-the-art approaches to support all steps of the anomaly detection process. Sintel logs the entire anomaly detection journey, providing detailed documentation of anomalies over time. It enables users to analyze signals, compare methods, and investigate anomalies through an interactive visualization tool, where they can annotate, modify, create, and remove events. Using these annotations, the framework leverages human knowledge to improve the anomaly detection pipeline. We demonstrate the usability, efficiency, and effectiveness of Sintel through a series of experiments on three public time series datasets, as well as one real-world use case involving spacecraft experts tasked with anomaly analysis tasks. Sintel's framework, code, and datasets are open-sourced at https://github.com/sintel-dev/.




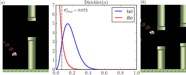
Abstract:Recent findings suggest that humans deploy cognitive mechanism of physics simulation engines to simulate the physics of objects. We propose a framework for bots to deploy probabilistic programming tools for interacting with intuitive physics environments. The framework employs a physics simulation in a probabilistic way to infer about moves performed by an agent in a setting governed by Newtonian laws of motion. However, methods of probabilistic programs can be slow in such setting due to their need to generate many samples. We complement the model with a model-free approach to aid the sampling procedures in becoming more efficient through learning from experience during game playing. We present an approach where combining model-free approaches (a convolutional neural network in our model) and model-based approaches (probabilistic physics simulation) is able to achieve what neither could alone. This way the model outperforms an all model-free or all model-based approach. We discuss a case study showing empirical results of the performance of the model on the game of Flappy Bird.
